Three Millennia of Vegetation, Land-Use, and Climate Change in SE Sicily
Abstract
1. Introduction
2. Study Area

3. Materials and Methods
3.1. Cores and Sampling
3.2. Dating
| Core | Lab. Code | Matrix | Depth (cm) | AMS14C Age (year BP) | AMS14C Error ± (years) | |
|---|---|---|---|---|---|---|
| SW104-ND2 | Fi3219 | Turritella spp. | 42 | 515 | 55 | [29] |
| SW104-ND2 | Fi3210 | shell valve | 75 | 670 | 90 | [29] |
| SW104-ND2 | Fi3211 | Corbula spp. | 106 | 700 | 50 | [29] |
| ND2_2013 | GifA17420 | Globigerinoides ruber | 143 | 1170 | 55 | This study |
| ND2_2013 | GifA17572 | Globigerinoides ruber | 241 | 1740 | 60 | This study |
| ND2_2013 | GifA17571 | Globigerinoides ruber | 333 | 2410 | 70 | This study |
| ND2_2013 | GifA17417 | Globigerinoides ruber | 464 | 3380 | 65 | This study |

3.3. Pollen Analysis



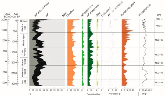
4. Results
- Zone ND2-1 (1150 to 200 BC)
- Zone ND2-2 (200 BC to 1400 AD)
- Zone ND2-3 (1400 to 1950 AD)
- Zone ND2-4 (1950 AD to present)
5. Discussion
5.1. The Iron Age and the 2.8 kyr Event (1150–750 BC)
5.2. The Greek and Roman Periods (750 BC–200 AD)
5.3. Late Antiquity and Dark Ages (200–700 AD)
5.4. The Middle Ages and the Medieval Climate Anomaly (700–1350 AD)
5.5. The Little Ice Age and the Modern Period (1350 AD–Today)
6. Conclusions
Supplementary Materials
Author Contributions
Funding
Institutional Review Board Statement
Informed Consent Statement
Data Availability Statement
Conflicts of Interest
References
- Lionello, P.; Malanotte-Rizzoli, P.; Boscolo, R. Mediterranean Climate Variability; Elsevier: Amsterdam, The Netherlands, 2006; Volume 4, ISBN 978-0-08-046079-6. [Google Scholar]
- Norwich, J.J. Sicily: An Island at the Crossroads of History; Random House Incorporated: New York, NY, USA, 2015; ISBN 978-0-8129-9517-6. [Google Scholar]
- Smol, J.P.; Birks, H.; Last, W.M. Terrestrial, Algal, and Siliceous Indicators. In Tracking Environmental Change Using Lake Sediments; Springer Science & Business Media: Berlin/Heidelberg, Germany, 2002; Volume 3, ISBN 1-4020-0681-0. [Google Scholar]
- Birks, H.H.; Birks, H.J.B. Multi-Proxy Studies in Palaeolimnology. Veg. Hist. Archaeobot. 2006, 15, 235–251. [Google Scholar] [CrossRef]
- Douglas, M.S.V. Paleolimnology Overview of Paleolimnology. In Encyclopedia of Quaternary Science; Elsevier: Amsterdam, The Netherlands, 2013; pp. 259–270. ISBN 978-0-444-53642-6. [Google Scholar]
- Prentice, C. Records of Vegetation in Time and Space: The Principles of Pollen Analysis. In Vegetation History; Huntley, B., Webb, T., Eds.; Springer: Dordrecht, The Netherlands, 1988; pp. 17–42. ISBN 978-94-010-7884-9. [Google Scholar]
- Sugita, S. Theory of Quantitative Reconstruction of Vegetation II: All You Need Is LOVE. Holocene 2007, 17, 243–257. [Google Scholar] [CrossRef]
- Sánchez Goñi, M.F.; Desprat, S.; Fletcher, W.J.; Morales-Molino, C.; Naughton, F.; Oliveira, D.; Urrego, D.H.; Zorzi, C. Pollen from the Deep-Sea: A Breakthrough in the Mystery of the Ice Ages. Front. Plant Sci. 2018, 9, 38. [Google Scholar] [CrossRef] [PubMed]
- Di Rita, F.; Lirer, F.; Bonomo, S.; Cascella, A.; Ferraro, L.; Florindo, F.; Insinga, D.D.; Lurcock, P.C.; Margaritelli, G.; Petrosino, P.; et al. Late Holocene Forest Dynamics in the Gulf of Gaeta (Central Mediterranean) in Relation to NAO Variability and Human Impact. Quat. Sci. Rev. 2018, 179, 137–152. [Google Scholar] [CrossRef]
- Di Rita, F.; Lirer, F.; Margaritelli, G.; Michelangeli, F.; Magri, D. Climate and Human Influence on the Vegetation of Tyrrhenian Italy during the Last 2000 Years: New Insights from Microcharcoal and Non-Pollen Palynomorphs. Geogr. Fis. E Din. Quat. 2019, 42, 203–214. [Google Scholar] [CrossRef]
- Noti, R.; van Leeuwen, J.F.N.; Colombaroli, D.; Vescovi, E.; Pasta, S.; La Mantia, T.; Tinner, W. Mid- and Late-Holocene Vegetation and Fire History at Biviere Di Gela, a Coastal Lake in Southern Sicily, Italy. Veg. Hist. Archaeobot. 2009, 18, 371–387. [Google Scholar] [CrossRef]
- Tinner, W.; van Leeuwen, J.F.N.; Colombaroli, D.; Vescovi, E.; van der Knaap, W.O.; Henne, P.D.; Pasta, S.; D’Angelo, S.; La Mantia, T. Holocene Environmental and Climatic Changes at Gorgo Basso, a Coastal Lake in Southern Sicily, Italy. Quat. Sci. Rev. 2009, 28, 1498–1510. [Google Scholar] [CrossRef]
- Tinner, W.; Vescovi, E.; van Leeuwen, J.F.N.; Colombaroli, D.; Henne, P.D.; Kaltenrieder, P.; Morales-Molino, C.; Beffa, G.; Gnaegi, B.; van der Knaap, W.O.; et al. Holocene Vegetation and Fire History of the Mountains of Northern Sicily (Italy). Veg. Hist. Archaeobot. 2016, 25, 499–519. [Google Scholar] [CrossRef]
- Bisculm, M.; Colombaroli, D.; Vescovi, E.; van Leeuwen, J.F.N.; Henne, P.D.; Rothen, J.; Procacci, G.; Pasta, S.; La Mantia, T.; Tinner, W. Holocene Vegetation and Fire Dynamics in the Supra-Mediterranean Belt of the Nebrodi Mountains (Sicily, Italy). J. Quat. Sci. 2012, 27, 687–698. [Google Scholar] [CrossRef]
- Calò, C.; Henne, P.D.; Curry, B.; Magny, M.; Vescovi, E.; La Mantia, T.; Pasta, S.; Vannière, B.; Tinner, W. Spatio-Temporal Patterns of Holocene Environmental Change in Southern Sicily. Palaeogeogr. Palaeoclimatol. Palaeoecol. 2012, 323–325, 110–122. [Google Scholar] [CrossRef]
- Sadori, L.; Ortu, E.; Peyron, O.; Zanchetta, G.; Vannière, B.; Desmet, M.; Magny, M. The Last 7 Millennia of Vegetation and Climate Changes at Lago di Pergusa (Central Sicily, Italy). Clim. Past 2013, 9, 1969–1984. [Google Scholar] [CrossRef]
- Mercuri, A.M.; Cannavò, V.; Clò, E.; Di Renzoni, A.; Florenzano, A.; Rattighieri, E.; Yoon, D.; Levi, S.T. Palynology of San Vincenzo-Stromboli: Interdisciplinary Perspective for the Diachronic Palaeoenvironmental Reconstruction of an Island of Sicily. J. Archaeol. Sci. 2020, 30, 102235. [Google Scholar] [CrossRef]
- Siracusa, G.; La Rosa, A.; Termini, M.; Trovato, M.; Patania, F. Protection of Vulnerable Wetlands Located in the South-East Part of Sicily; a Plan to Restore the Original Habitat. WIT Trans. Ecol. Environ. 2001, 50, 169–177. [Google Scholar]
- Grassa, F.; Favara, R.; Valenza, M. Moisture Source in the Hyblean Mountains Region (South-Eastern Sicily, Italy): Evidence from Stable Isotopes Signature. Appl. Geochem. 2006, 21, 2082–2095. [Google Scholar] [CrossRef]
- World Metereological Organization. Available online: https://climexp.knmi.nl/gettempall.cgi?WMO=16480 (accessed on 1 September 2021).
- Bazan, G.; Marino, P.; Guarino, R.; Domina, G.; Schicchi, R. Bioclimatology and Vegetation Series in Sicily: A Geostatistical Approach. Ann. Bot. Fenn. 2015, 52, 1–18. [Google Scholar] [CrossRef]
- Pavone, P.; Spampinato, G.; Costa, R.; Minissale, P.; Ronsisvalle, F.; Sciandrello, S.; Tomaselli, V. La Vegetazione Forestale dei Monti Iblei (Sicilia Sud-Orientale): I Querceti. Atti del Terzo Congresso Nazionale di Selvicoltura; Accademia Italiana di Scienze Forestali: Firenze, Italy, 2009; pp. 234–239. [Google Scholar]
- Brullo, C.; Minissale, P.; Sciandrello, S.; Spampinato, G. Phytogeographic Survey on the Endemic Vascular Flora of the Hyblaean Territory (SE Sicily, Italy). Acta Bot. Gall. 2011, 158, 617–631. [Google Scholar] [CrossRef][Green Version]
- Di Pasquale, G.; Garfi, G.; Quézel, P. Sur La Présence d’un Zelkova Nouveau En Sicile Sud-Orientale (Ulmaceae). Biocosme Mésogéen 1992, 8, 401–409. [Google Scholar]
- Garfì, G.; Carimi, F.; Pasta, S.; Rühl, J.; Trigila, S. Additional Insights on the Ecology of the Relic Tree Zelkova sicula Di Pasquale, Garfì et Quézel (Ulmaceae) after the Finding of a New Population. Flora-Morphol. Distrib. Funct. Ecol. Plants 2011, 206, 407–417. [Google Scholar] [CrossRef]
- Brullo, S.; Gianguzzi, L.; Mantia, A.L.; Siracusa, G. La classe Quercetea ilicis in Sicilia. Boll. Dell’accad. Gioenia Di Sci. Nat. 2008, 41, 1–124. [Google Scholar]
- Gianguzzi, L.; Ilardi, V.; Caldarella, O.; Cusimano, D.; Cuttonaro, P.; Romano, S. Phytosociological Characterization of the Juniperus phoenicea L. Subsp. turbinata (Guss.) Nyman Formations in the Italo-Tyrrhenian Province (Mediterranean Region). Plant Sociol. 2012, 3–28. [Google Scholar] [CrossRef]
- Dentici, M.P. Climate Oscillations in the Mediterranean over the Last Millennia Using Planktonic Foraminifera; Università degli Studi di Napoli Parthenope: Napoli, Italy, 2018. [Google Scholar]
- Michelangeli, F.; Di Rita, F.; Lirer, F.; Lubritto, C.; Bellucci, L.G.; Cascella, A.; Bonomo, S.; Margaritelli, G.; Magri, D. Vegetation History of SE Sicily from Feudal Land Management to Post-War Agricultural Industrialization. Rev. Palaeobot. Palynol. 2022, 296, 104547. [Google Scholar] [CrossRef]
- Sanchez-Cabeza, J.A.; Ruiz-Fernández, A.C. 210Pb Sediment Radiochronology: An Integrated Formulation and Classification of Dating Models. Geochim. Et Cosmochim. Acta 2012, 82, 183–200. [Google Scholar] [CrossRef]
- Heaton, T.J.; Köhler, P.; Butzin, M.; Bard, E.; Reimer, R.W.; Austin, W.E.N.; Ramsey, C.B.; Grootes, P.M.; Hughen, K.A.; Kromer, B.; et al. Marine20—The Marine Radiocarbon Age Calibration Curve (0–55,000 Cal BP). Radiocarbon 2020, 62, 779–820. [Google Scholar] [CrossRef]
- Blaauw, M.; Christen, J.A. Flexible Paleoclimate Age-Depth Models Using an Autoregressive Gamma Process. Bayesian Anal. 2011, 6, 457–474. [Google Scholar] [CrossRef]
- Magri, D.; Di Rita, F. Archaeopalynological Preparation Techniques. In Plant Microtechniques and Protocols; Yeung, E.C.T., Stasolla, C., Sumner, M.J., Huang, B.Q., Eds.; Springer International Publishing: Cham, Switzerland, 2015; pp. 495–506. ISBN 978-3-319-19943-6. [Google Scholar]
- Reille, M. Pollen et Spores d’Europe et d’Afrique du Nord; Université d’Aix-Marseille: Marseille, France, 1992. [Google Scholar]
- Beug, H. Leitfaden Der Pollenbestimmung Für Mitteleuropa Und Angrenzende Gebiete; Verlag Dr. Friederich Pfeil: München, Germany, 2004; ISBN 978-3-89937-043-0. [Google Scholar]
- Non-Pollen Palynomoprh Image Database. Available online: https://nonpollenpalynomorphs.tsu.ru (accessed on 13 July 2021).
- The Global Pollen Project. Available online: https://globalpollenproject.org (accessed on 17 June 2021).
- PalDat-Palynological Database. Available online: https://www.paldat.org (accessed on 15 June 2021).
- Bennett, K. Psimpoll’ and ‘Pscomb’: C Programs for Analysing Pollen Data and Plotting Pollen Diagrams (Version 4.27); The 14Chrono Centre, Archaeology and Palaeoecology, Queen’s University of Belfast: Belfast, UK, 2009. [Google Scholar]
- Grimm, E.C. Coniss: A Fortran 77 Program for Stratigraphically Constrained Cluster Analysis by the Method of Incremental Sum of Squares. Comput. Geosci. 1987, 13, 13–35. [Google Scholar] [CrossRef]
- Bennett, K.D. Determination of the Number of Zones in a Biostratigraphical Sequence. New Phytol. 1996, 132, 155–170. [Google Scholar] [CrossRef]
- Birks, H.J.B., Lotter; Juggins, S.; Smol, J.P. (Eds.) Tracking Environmental Change Using Lake Sediments Volume 5: Data Handling and Numerical Techniques; Springer: Dordrecht, The Netherlands, 2012; ISBN 978-94-007-2744-1. [Google Scholar]
- Bernabò Brea, L. La Sicilia Prima dei Greci; Il saggiatore: Milano, Italy, 2016; ISBN 88-6576-518-6. [Google Scholar]
- Leighton, R. Later Prehistoric Settlement Patterns in Sicily: Old Paradigms and New Surveys. Eur. J. Archaeol. 2005, 8, 261–287. [Google Scholar] [CrossRef]
- Leighton, R. Pantalica (Sicily) from the Late Bronze Age to the Middle Ages: A New Survey and Interpretation of the Rock-Cut Monuments. Am. J. Archaeol. 2011, 115, 447–464. [Google Scholar] [CrossRef][Green Version]
- Leighton, R. Cassibile Revisited: Rock-Cut Monuments and the Configuration of Late Bronze Age and Iron Age Sites in Southeast Sicily. Praehist. Z. 2016, 91, 124–148. [Google Scholar] [CrossRef][Green Version]
- Tanasi, D. La Necropoli Protostorica di Montagna di Caltagirone; Polimetrica: Monza, Italy, 2008. [Google Scholar]
- Leighton, R. Rock-Cut Tombs and Funerary Landscapes of the Late Bronze and Iron Ages in Sicily: New Fieldwork at Pantalica. J. Field Archaeol. 2015, 40, 190–203. [Google Scholar] [CrossRef]
- Palmisano, A.; Bevan, A.; Kabelindde, A.; Roberts, N.; Shennan, S. Long-Term Demographic Trends in Prehistoric Italy: Climate Impacts and Regionalised Socio-Ecological Trajectories. J. World Prehistory 2021, 34, 381–432. [Google Scholar] [CrossRef]
- Di Rita, F.; Fletcher, W.J.; Aranbarri, J.; Margaritelli, G.; Lirer, F.; Magri, D. Holocene Forest Dynamics in Central and Western Mediterranean: Periodicity, Spatio-Temporal Patterns and Climate Influence. Sci. Rep. 2018, 8, 8929. [Google Scholar] [CrossRef] [PubMed]
- Costantini, L. Semi e Carboni del Mesolitico e Neolitico della Grotta Dell’Uzzo, Trapani. (Seeds and Charcoal from the Mesolithic and Neolithic Sequence of Uzzo Cave, Trapani). Quat. Roma 1981, 23, 233–247. [Google Scholar]
- Stika, H.-P.; Heiss, A.G.; Zach, B. Plant Remains from the Early Iron Age in Western Sicily: Differences in Subsistence Strategies of Greek and Elymian Sites. Veg. Hist. Archaeobot. 2008, 17, 139–148. [Google Scholar] [CrossRef]
- Langgut, D.; Cheddadi, R.; Carrión, J.S.; Cavanagh, M.; Colombaroli, D.; Eastwood, W.J.; Greenberg, R.; Litt, T.; Mercuri, A.M.; Miebach, A.; et al. The Origin and Spread of Olive Cultivation in the Mediterranean Basin: The Fossil Pollen Evidence. Holocene 2019, 29, 902–922. [Google Scholar] [CrossRef]
- Cerda, A.; Schnabel, S.; Ceballos, A.; Gomez-Amelia, D. Soil Hydrological Response under Simulated Rainfall in the Dehesa Land System (Extremadura, SW Spain) under Drought Conditions. Earth Surf. Process. Landf. 1998, 23, 195–209. [Google Scholar] [CrossRef]
- Goebel, M.-O.; Bachmann, J.; Reichstein, M.; Janssens, I.A.; Guggenberger, G. Soil Water Repellency and Its Implications for Organic Matter Decomposition—Is There a Link to Extreme Climatic Events? Glob. Chang. Biol. 2011, 17, 2640–2656. [Google Scholar] [CrossRef]
- Margaritelli, G.; Vallefuoco, M.; Di Rita, F.; Capotondi, L.; Bellucci, L.G.; Insinga, D.D.; Petrosino, P.; Bonomo, S.; Cacho, I.; Cascella, A.; et al. Marine Response to Climate Changes during the Last Five Millennia in the Central Mediterranean Sea. Glob. Planet. Chang. 2016, 142, 53–72. [Google Scholar] [CrossRef]
- Speranza, A.; van Geel, B.; van der Plicht, J. Evidence for Solar Forcing of Climate Change at ca. 850 Cal BC from a Czech Peat Sequence. Glob. Planet. Chang. 2002, 35, 51–65. [Google Scholar] [CrossRef]
- Chambers, F.M.; Mauquoy, D.; Brain, S.A.; Blaauw, M.; Daniell, J.R.G. Globally Synchronous Climate Change 2800 Years Ago: Proxy Data from Peat in South America. Earth Planet. Sci. Lett. 2007, 253, 439–444. [Google Scholar] [CrossRef]
- Swindles, G.T.; Plunkett, G.; Roe, H.M. A Delayed Climatic Response to Solar Forcing at 2800 Cal. BP: Multiproxy Evidence from Three Irish Peatlands. Holocene 2007, 17, 177–182. [Google Scholar] [CrossRef]
- Plunkett, G.; Swindles, G.T. Determining the Sun’s Influence on Lateglacial and Holocene Climates: A Focus on Climate Response to Centennial-Scale Solar Forcing at 2800 cal.BP. Quat. Sci. Rev. 2008, 27, 175–184. [Google Scholar] [CrossRef]
- van Geel, B.; Heijnis, H.; Charman, D.J.; Thompson, G.; Engels, S. Bog Burst in the Eastern Netherlands Triggered by the 2.8 Kyr BP Climate Event. Holocene 2014, 24, 1465–1477. [Google Scholar] [CrossRef]
- Wanner, H.; Mercolli, L.; Grosjean, M.; Ritz, S.P. Holocene Climate Variability and Change; a Data-Based Review. J. Geol. Soc. 2015, 172, 254–263. [Google Scholar] [CrossRef]
- Sinha, A.; Kathayat, G.; Weiss, H.; Li, H.; Cheng, H.; Reuter, J.; Schneider, A.W.; Berkelhammer, M.; Adalı, S.F.; Stott, L.D.; et al. Role of Climate in the Rise and Fall of the Neo-Assyrian Empire. Sci. Adv. 2019, 5, eaax6656. [Google Scholar] [CrossRef]
- Park, J.; Park, J.; Yi, S.; Kim, J.C.; Lee, E.; Choi, J. Abrupt Holocene Climate Shifts in Coastal East Asia, Including the 8.2 Ka, 4.2 Ka, and 2.8 Ka BP Events, and Societal Responses on the Korean Peninsula. Sci. Rep. 2019, 9, 10806. [Google Scholar] [CrossRef]
- Gearey, B.; Becker, K.; Everett, R.; Griffiths, S. On the Brink of Armageddon? Climate Change, the Archaeological Record and Human Activity across the Bronze Age–Iron Age Transition in Ireland. Proc. R. Ir. Acad. Archaeol. Cult. Hist. Lit. 2020, 120, 105–128. [Google Scholar] [CrossRef]
- van Geel, B.; Buurman, J.; Waterbolk, H.T. Archaeological and Palaeoecological Indications of an Abrupt Climate Change in The Netherlands, and Evidence for Climatological Teleconnections around 2650 BP. J. Quat. Sci. 1996, 11, 451–460. [Google Scholar] [CrossRef]
- Blundell, A.; Barber, K. A 2800-Year Palaeoclimatic Record from Tore Hill Moss, Strathspey, Scotland: The Need for a Multi-Proxy Approach to Peat-Based Climate Reconstructions. Quat. Sci. Rev. 2005, 24, 1261–1277. [Google Scholar] [CrossRef]
- Charman, D.J.; Blundell, A.; Chiverrell, R.C.; Hendon, D.; Langdon, P.G. Compilation of Non-Annually Resolved Holocene Proxy Climate Records: Stacked Holocene Peatland Palaeo-Water Table Reconstructions from Northern Britain. Quat. Sci. Rev. 2006, 25, 336–350. [Google Scholar] [CrossRef]
- Swierczynski, T.; Lauterbach, S.; Dulski, P.; Delgado, J.; Merz, B.; Brauer, A. Mid- to Late Holocene Flood Frequency Changes in the Northeastern Alps as Recorded in Varved Sediments of Lake Mondsee (Upper Austria). Quat. Sci. Rev. 2013, 80, 78–90. [Google Scholar] [CrossRef]
- Mellström, A.; Van Der Putten, N.; Muscheler, R.; De Jong, R.; BjöRck, S. A Shift towards Wetter and Windier Conditions in Southern Sweden around the Prominent Solar Minimum 2750 Cal a BP. J. Quat. Sci. 2015, 30, 235–244. [Google Scholar] [CrossRef]
- Engels, S.; Bakker, M.; Bohncke, S.; Cerli, C.; Hoek, W.; Jansen, B.; Peters, T.; Renssen, H.; Sachse, D.; van Aken, J.; et al. Centennial-Scale Lake-Level Lowstand at Lake Uddelermeer (The Netherlands) Indicates Changes in Moisture Source Region Prior to the 2.8-Kyr Event. Holocene 2016, 26, 1075–1091. [Google Scholar] [CrossRef]
- Holzhauser, H.; Magny, M.; Zumbuühl, H.J. Glacier and Lake-Level Variations in West-Central Europe over the Last 3500 Years. Holocene 2005, 15, 789–801. [Google Scholar] [CrossRef]
- Le Roy, M.; Nicolussi, K.; Deline, P.; Astrade, L.; Edouard, J.-L.; Miramont, C.; Arnaud, F. Calendar-Dated Glacier Variations in the Western European Alps during the Neoglacial: The Mer de Glace Record, Mont Blanc Massif. Quat. Sci. Rev. 2015, 108, 1–22. [Google Scholar] [CrossRef]
- Bond, G.; Kromer, B.; Beer, J.; Muscheler, R.; Evans, M.N.; Showers, W.; Hoffmann, S.; Lotti-Bond, R.; Hajdas, I.; Bonani, G. Persistent Solar Influence on North Atlantic Climate during the Holocene. Science 2001, 294, 2130–2136. [Google Scholar] [CrossRef]
- van Geel, B.; Raspopov, O.M.; Renssen, H.; van der Plicht, J.; Dergachev, V.A.; Meijer, H.A.J. The Role of Solar Forcing upon Climate Change. Quat. Sci. Rev. 1999, 18, 331–338. [Google Scholar] [CrossRef]
- Steinhilber, F.; Abreu, J.A.; Beer, J.; Brunner, I.; Christl, M.; Fischer, H.; Heikkilä, U.; Kubik, P.W.; Mann, M.; McCracken, K.G.; et al. 9400 Years of Cosmic Radiation and Solar Activity from Ice Cores and Tree Rings. Proc. Natl. Acad. Sci. USA 2012, 109, 5967–5971. [Google Scholar] [CrossRef]
- Martin-Puertas, C.; Matthes, K.; Brauer, A.; Muscheler, R.; Hansen, F.; Petrick, C.; Aldahan, A.; Possnert, G.; van Geel, B. Regional Atmospheric Circulation Shifts Induced by a Grand Solar Minimum. Nat. Geosci. 2012, 5, 397–401. [Google Scholar] [CrossRef]
- Domínguez, A.J. Greeks in Sicily. In Greek Colonisation; Brill: Leiden, The Netherlands, 2006; pp. 253–358. ISBN 978-90-04-12204-8. [Google Scholar]
- De Angelis, F. Estimating the Agricultural Base of Greek Sicily. Pap. Br. Sch. Rome 2000, 68, 111–148. [Google Scholar] [CrossRef]
- Reitsema, L.J.; Kyle, B.; Vassallo, S. Food Traditions and Colonial Interactions in the Ancient Mediterranean Stable Isotope Evidence from the Greek Sicilian Colony Himera. J. Anthropol. Archaeol. 2020, 57, 101144. [Google Scholar] [CrossRef]
- Rempe, M. Nachhaltigkeit Und Nutzung von Ressourcen Im Antiken Kamarina. Erkenntnisse (Umwelt-) Archäologischer Rekonstruktionen. In Ressourcen in Historischer Perspektive; Universitätsverlag Göttingen: Göttingen, Germany, 2020; pp. 19–44. [Google Scholar]
- Di Vita, A.; Costantini, L. Camarina 1958. Documenti e Note. Boll. D’arte 1983, 68, 31–44. [Google Scholar]
- Mercuri, A.; Mazzanti, M.; Florenzano, A.; Montecchi, M.; Rattighieri, E. Olea, Juglans and Castanea: The OJC Group as Pollen Evidence of the Development of Human-Induced Environments in the Italian Peninsula. Quat. Int. 2013, 303, 24–42. [Google Scholar] [CrossRef]
- Montecchi, M.C.; Mercuri, A.M. When Palynology Meets Classical Archaeology: The Roman and Medieval Landscapes at the Villa del Casale di Piazza Armerina, UNESCO Site in Sicily. Archaeol. Anthr. Sci. 2018, 10, 743–757. [Google Scholar] [CrossRef]
- Mercuri, A.M.; Montecchi, M.C.; Florenzano, A.; Rattighieri, E.; Torri, P.; Dallai, D.; Vaccaro, E. The Late Antique Plant Landscape in Sicily: Pollen from the Agro-Pastoral Villa del Casale—Philosophiana System. Quat. Int. 2019, 499, 24–34. [Google Scholar] [CrossRef]
- Di Rita, F.; Magri, D. Holocene Drought, Deforestation and Evergreen Vegetation Development in the Central Mediterranean: A 5500 Year Record from Lago Alimini Piccolo, Apulia, Southeast Italy. Holocene 2009, 19, 295–306. [Google Scholar] [CrossRef]
- Ermolli, E.R.; Ruello, M.R.; Cicala, L.; Di Lorenzo, H.; Molisso, F.; Pacciarelli, M. An 8300-Yr Record of Environmental and Cultural Changes in the Sant’Eufemia Plain (Calabria, Italy). Quat. Int. 2018, 483, 39–56. [Google Scholar] [CrossRef]
- Schneider, K.; van der Werf, W.; Cendoya, M.; Mourits, M.; Navas-Cortés, J.A.; Vicent, A.; Lansink, A.O. Impact of Xylella fastidiosa Subspecies Pauca in European Olives. Proc. Natl. Acad. Sci. USA 2020, 117, 9250–9259. [Google Scholar] [CrossRef]
- Büntgen, U.; Myglan, V.S.; Ljungqvist, F.C.; McCormick, M.; Di Cosmo, N.; Sigl, M.; Jungclaus, J.; Wagner, S.; Krusic, P.J.; Esper, J.; et al. Cooling and Societal Change during the Late Antique Little Ice Age from 536 to around 660 AD. Nat. Geosci. 2016, 9, 231–236. [Google Scholar] [CrossRef]
- Helama, S.; Jones, P.D.; Briffa, K.R. Dark Ages Cold Period: A Literature Review and Directions for Future Research. Holocene 2017, 27, 1600–1606. [Google Scholar] [CrossRef]
- Peregrine, P.N. Climate and Social Change at the Start of the Late Antique Little Ice Age. Holocene 2020, 30, 1643–1648. [Google Scholar] [CrossRef]
- Margaritelli, G.; Cacho, I.; Català, A.; Barra, M.; Bellucci, L.G.; Lubritto, C.; Rettori, R.; Lirer, F. Persistent Warm Mediterranean Surface Waters during the Roman Period. Sci. Rep. 2020, 10, 10431. [Google Scholar] [CrossRef]
- Di Pasquale, G.; Allevato, E.; Ermolli, E.R.; Coubray, S.; Lubritto, C.; Marzaioli, F.; Yoneda, M.; Takeuchi, K.; Kano, Y.; Matsuyama, S.; et al. Reworking the Idea of Chestnut (Castanea Sativa Mill.) Cultivation in Roman Times: New Data from Ancient Campania. Plant Biosyst.-Int. J. Deal. All Asp. Plant Biol. 2010, 144, 865–873. [Google Scholar] [CrossRef]
- Squatriti, P. Landscape and Change in Early Medieval Italy: Chestnuts, Economy, and Culture; Cambridge University Press: New York, NY, USA, 2013; ISBN 1-107-03448-5. [Google Scholar]
- Arcifa, L. Byzantine Sicily. In A Companion to Byzantine Italy; Brill: Leiden, The Netherlands, 2021; Volume 8, pp. 472–495. ISBN 90-04-30770-2. [Google Scholar]
- Vaccaro, E. Sicily in the Eighth and Ninth Centuries AD: A Case of Persisting Economic Complexity? Al-Masāq 2013, 25, 34–69. [Google Scholar] [CrossRef]
- Mann, M.E.; Zhang, Z.; Rutherford, S.; Bradley, R.S.; Hughes, M.K.; Shindell, D.; Ammann, C.; Faluvegi, G.; Ni, F. Global Signatures and Dynamical Origins of the Little Ice Age and Medieval Climate Anomaly. Science 2009, 326, 1256–1260. [Google Scholar] [CrossRef]
- Lüning, S.; Schulte, L.; Garcés-Pastor, S.; Danladi, I.B.; Gałka, M. The Medieval Climate Anomaly in the Mediterranean Region. Paleoceanogr. Paleoclimatol. 2019, 1625–1649. [Google Scholar] [CrossRef]
- Lüning, S.; Gałka, M.; Bamonte, F.P.; Rodríguez, F.G.; Vahrenholt, F. The Medieval Climate Anomaly in South America. Quat. Int. 2019, 508, 70–87. [Google Scholar] [CrossRef]
- Lamb, H.H. The Early Medieval Warm Epoch and Its Sequel. Palaeogeogr. Palaeoclimatol. Palaeoecol. 1965, 1, 13–37. [Google Scholar] [CrossRef]
- Moreno, A.; Pérez, A.; Frigola, J.; Nieto-Moreno, V.; Gámiz, M.R.; Martrat, B.; González-Sampériz, P.; Morellon, M.; Martin-Puertas, C.; Corella, J.P.; et al. The Medieval Climate Anomaly in the Iberian Peninsula Reconstructed from Marine and Lake Records. Quat. Sci. Rev. 2012, 43, 16–32. [Google Scholar] [CrossRef]
- Usoskin, I.G.; Solanki, S.K.; Kovaltsov, G.A. Grand Minima and Maxima of Solar Activity: New Observational Constraints. Astron. Astrophys. 2007, 471, 301–309. [Google Scholar] [CrossRef]
- Theotokis, G. The Norman Invasion of Sicily, 1061-1072: Numbers and Military Tactics. War Hist. 2010, 17, 381–402. [Google Scholar] [CrossRef]
- Brown, G.S. The Norman Conquest of Southern Italy and Sicily; McFarland: Jefferson, NC, USA, 2002; ISBN 0-7864-5127-0. [Google Scholar]
- Falkenhausen, V. La Foresta Nella Sicilia normanna. In La Cultura Materiale in Sicilia; Circolo Semiologico Siciliano: Palermo, Italy, 1980; pp. 12–13. [Google Scholar]
- Bresc, H.; Pescarmona, P. Disfari et Perdiri Li Fructi et Li Aglandi: Economie e Risorse Boschive nella Sicilia Medievale (XIII-XV Secolo). Quad. Stor. 1983, 18, 941–969. [Google Scholar]
- Epstein, S.R. An Island for Itself: Economic Development and Social Change in Late Medieval Sicily; Cambridge University Press: Cambridge, UK; New York, NY, USA, 1992; ISBN 978-0-521-38518-3. [Google Scholar]
- Barberi, G.L.; Silvestri, G. I Capibrevi, di Giovanni Luca Barberi; Società Siciliana per la Storia Patria: Palermo, Italy, 1879; Volume I. [Google Scholar]
- Mann, M.E.; Zhang, Z.; Hughes, M.K.; Bradley, R.S.; Miller, S.K.; Rutherford, S.; Ni, F. Proxy-Based Reconstructions of Hemispheric and Global Surface Temperature Variations over the Past Two Millennia. Proc. Natl. Acad. Sci. USA 2008, 105, 13252–13257. [Google Scholar] [CrossRef]
- Ljungqvist, F.C. A New Reconstruction of Temperature Variability in the Extra-Tropical Northern Hemisphere during the Last Two Millennia. Geogr. Ann. 2010, 92, 339–351. [Google Scholar] [CrossRef]
- Ahmed, M.; Anchukaitis, K.J.; Asrat, A.; Borgaonkar, H.P.; Braida, M.; Buckley, B.M.; Buentgen, U.; Chase, B.M.; Christie, D.A.; Cook, E.R.; et al. Consortium Continental-Scale Temperature Variability during the Past Two Millennia. Nat. Geosci. 2013, 6, 339–346. [Google Scholar] [CrossRef]
- Ogurtsov, M.G. The Spörer Minimum Was Deep. Adv. Space Res. 2019, 64, 1112–1116. [Google Scholar] [CrossRef]
- Baker, A.C.; Hellstrom, J.C.; Kelly, B.F.J.; Mariethoz, G.; Trouet, V. A Composite Annual-Resolution Stalagmite Record of North Atlantic Climate over the Last Three Millennia. Sci. Rep. 2015, 5, 10307. [Google Scholar] [CrossRef] [PubMed]
- Faust, J.C.; Fabian, K.; Milzer, G.; Giraudeau, J.; Knies, J. Norwegian Fjord Sediments Reveal NAO Related Winter Temperature and Precipitation Changes of the Past 2800 Years. Earth Planet. Sci. Lett. 2016, 435, 84–93. [Google Scholar] [CrossRef]
- Trasselli, C. La Siccità in Sicilia nel XVI Secolo. Riv. Di Stor. Dell’agric. 1970, 1, 21–47. [Google Scholar]
- Piervitali, E.; Colacino, M. Evidence of Drought in Western Sicily during the Period 1565–1915 from Liturgical Offices. Clim. Chang. 2001, 49, 225–238. [Google Scholar] [CrossRef]
- Di Blasi, G.E. Storia Cronologica dei Viceré, Luogotenenti e Presidenti del Regno di Sicilia; Stamperia Oretea: Palermo, Italy, 1842. [Google Scholar]
- Di Marzo, G. Diari della Città di Palermo dal Secolo XVI al XIX: Pubblicati sui Manoscritti Della Biblioteca Comunale; LP Lauriel: Palermo, Italy, 1873; Volume 1. [Google Scholar]
- Benigno, F. Reflections on the Seventeenth-Century Crisis: The Sicilian Experience. Seventeenth Century 1989, 4, 77–87. [Google Scholar] [CrossRef]
- Alfani, G. Plague in Seventeenth-Century Europe and the Decline of Italy: An Epidemiological Hypothesis. Eur. Rev. Econ. Hist. 2013, 17, 408–430. [Google Scholar] [CrossRef]
- Azzaro, R.; Cascone, M.; Amantia, A. Earthquakes and Ghost Towns in Sicily: From the Valle del Belìce in 1968 to the Val di Noto in 1693. The First Stage of the Virtual Seismic Itinerary through Italy. Ann. Geophys. 2020, 63, SE106. [Google Scholar] [CrossRef]
- Di Pasquale, G.D.; Garfì, G.; Migliozzi, A. Landscape Dynamics in South-Eastern Sicily in the Last 150 Years: The Case of the Iblei Mountains. In Recent Dynamics of the Mediterranean Vegetation and Landscape; Mazzoleni, S., Di Pasquale, G., Mulligan, M., Martino, P.D., Rego, F., Eds.; John Wiley & Sons, Ltd.: Chichester, UK, 2005; pp. 73–80. ISBN 978-0-470-09371-9. [Google Scholar]
- Garfì, G.; Carimi, F.; Fazan, L.; Gristina, A.S.; Kozlowski, G.; Console, S.L.; Motisi, A.; Pasta, S. From Glacial Refugia to Hydrological Microrefugia: Factors and Processes Driving the Persistence of the Climate Relict Tree Zelkova Sicula. Ecol. Evol. 2021, 11, 2919–2936. [Google Scholar] [CrossRef]
- Rühl, J.; Caruso, T.; Giucastro, M.; La Mantia, T. Olive Agroforestry Systems in Sicily: Cultivated Typologies and Secondary Succession Processes after Abandonment. Plant Biosyst.- Int. J. Deal. All Asp. Plant Biol. 2011, 145, 120–130. [Google Scholar] [CrossRef]
- Barbera, G.; Cullotta, S. An Inventory Approach to the Assessment of Main Traditional Landscapes in Sicily (Central Mediterranean Basin). Landsc. Res. 2012, 37, 539–569. [Google Scholar] [CrossRef]
- Massa, B.; La Mantia, T. Forestry, Pasture, Agriculture and Fauna Correlated to Recent Changes in Sicily. For. @-J. Silvic. For. Ecol. 2007, 4, 418–438. [Google Scholar] [CrossRef]
- Xibilia, L. Indagini Sulla Vegetazione Di Rimboschimenti a Pinus sp.P. Degli Iblei (Sicilia Sud-Orientale) AI Fini Della Gestione E Conversione in Boschi Naturali. Ph.D. Thesis, Università degli Studi di Catania, Catania, Italy, 2011. [Google Scholar]
- La Mantia, T. Storia dell’eucalitticoltura in Sicilia. Nat. Sicil. 2013, 37, 587–628. [Google Scholar]
- Badalamenti, E.; Cusimano, D.; La Mantia, T.; Pasta, S.; Romano, S.; Troia, A.; Ilardi, V. The Ongoing Naturalisation of Eucalyptus Spp. in the Mediterranean Basin: New Threats to Native Species and Habitats. Aust. For. 2018, 81, 239–249. [Google Scholar] [CrossRef]
Publisher’s Note: MDPI stays neutral with regard to jurisdictional claims in published maps and institutional affiliations. |
© 2022 by the authors. Licensee MDPI, Basel, Switzerland. This article is an open access article distributed under the terms and conditions of the Creative Commons Attribution (CC BY) license (https://creativecommons.org/licenses/by/4.0/).
Share and Cite
Michelangeli, F.; Di Rita, F.; Celant, A.; Tisnérat-Laborde, N.; Lirer, F.; Magri, D. Three Millennia of Vegetation, Land-Use, and Climate Change in SE Sicily. Forests 2022, 13, 102. https://doi.org/10.3390/f13010102
Michelangeli F, Di Rita F, Celant A, Tisnérat-Laborde N, Lirer F, Magri D. Three Millennia of Vegetation, Land-Use, and Climate Change in SE Sicily. Forests. 2022; 13(1):102. https://doi.org/10.3390/f13010102
Chicago/Turabian StyleMichelangeli, Fabrizio, Federico Di Rita, Alessandra Celant, Nadine Tisnérat-Laborde, Fabrizio Lirer, and Donatella Magri. 2022. "Three Millennia of Vegetation, Land-Use, and Climate Change in SE Sicily" Forests 13, no. 1: 102. https://doi.org/10.3390/f13010102
APA StyleMichelangeli, F., Di Rita, F., Celant, A., Tisnérat-Laborde, N., Lirer, F., & Magri, D. (2022). Three Millennia of Vegetation, Land-Use, and Climate Change in SE Sicily. Forests, 13(1), 102. https://doi.org/10.3390/f13010102

