Differences in Soil Physicochemical Properties in Different-Aged Pinus massoniana Plantations in Southwest China
Abstract
:1. Introduction
2. Research Area and Research Method
2.1. Study Area
2.2. Experimental Design
2.3. Sample Analysis
2.4. Data Processing
3. Results
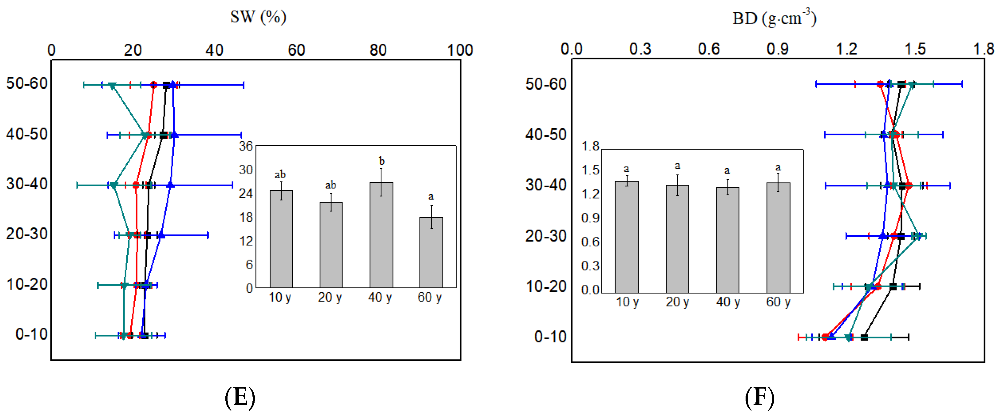
3.1. Soil Physical Properties
3.2. Soil Chemical Properties
3.3. Soil Stoichiometric Characteristics
3.4. Correlational Analyses of Soil Chemometrics
4. Discussion
4.1. Effect of Forest Age on Soil Physical Properties
4.2. Effect of Forest Age on Soil Chemical Properties
4.3. Effect of Forest Age on Soil Chemometrics
5. Conclusions
Author Contributions
Funding
Conflicts of Interest
References
- Pötzelsberger, E.; Hasenauer, H. Soil change after 50years of converting Norway spruce dominated age class forests into single tree selection forests. For. Ecol. Manag. 2015, 338, 176–182. [Google Scholar] [CrossRef]
- Jobbágy, E.G.; Jackson, R.B. The uplift of soil nutrients by plants: Biogeochemical consequences across scales. Ecology 2004, 85, 2380–2389. [Google Scholar] [CrossRef]
- Céspedes-Payret, C.; Piñeiro, G.; Gutiérrez, O.; Panario, D. Land use change in a temperate grassland soil: Afforestation effects on chemical properties and their ecological and mineralogical implications. Sci. Total Environ. 2012, 438, 549–557. [Google Scholar] [CrossRef] [PubMed]
- Temesgen, D.; Gonzálo, J.; Turrión, M.B. Effects of short-rotation Eucalyptus plantations on soil quality attributes in highly acidic soils of the central highlands of Ethiopia. Soil Use Manag. 2016, 32, 210–219. [Google Scholar] [CrossRef]
- López, D.M.S.; Arturi, M.F.; Goya, J.F.; Pérez, C.; Frangi, J.L. Eucalyptus grandis plantations: Effects of management on soil carbon, nutrient contents and yields. J. For. Res. 2018, 31, 601–611. [Google Scholar] [CrossRef]
- Gonc¸alves, J.L.M.; Stape, J.L.; Laclau, J.P.; Smethurst, P.; Gava, J.L. Silvicultural effects on the productivity and wood quality of eucalypt plantations. For. Ecol. Manag. 2004, 193, 45–61. [Google Scholar] [CrossRef]
- Graham, M.H.; Haynes, R.J. Organic matter accumulation and fertilizer-induced acidification interact to affect soil microbial and enzyme activity on a long-term sugarcane management experiment. Biol. Fertil. Soils 2005, 41, 249–256. [Google Scholar] [CrossRef]
- Lucas-Borja, M.E.; de Santiago, J.H.; Yang, Y.; Shen, Y.; Candel-Pérez, D. Nutrient, metal contents and microbiological properties of litter and soil along a tree age gradient in Mediterranean forest ecosystems. Sci. Total Environ. 2019, 650, 749–758. [Google Scholar] [CrossRef]
- Thomaes, A.; De Keersmaeker, L.; Van Calster, H.; De Schrijver, A.; Vandekerkhove, K.; Verstraeten, G.; Verheyen, K. Diverging effects of two contrasting tree species on soil and herb layer development in a chronosequence of post-agricultural forest. For. Ecol. Manag. 2012, 278, 90–100. [Google Scholar] [CrossRef]
- Zechmeister-Boltenstern, S.; Keiblinger, K.M.; Mooshammer, M.; Penuelas, J.; Richter, A.; Sardans, J.; Wanek, W. The application of ecological stoichiometry to plant–microbial–soil organic matter transformations. Ecol. Monogr. 2015, 85, 133–155. [Google Scholar] [CrossRef] [Green Version]
- Yang, Y.; Liu, B. Effects of planting Caragana shrubs on soil nutrients and stoichiometries in desert steppe of Northwest China. Catena 2019, 183, 104213. [Google Scholar] [CrossRef]
- Zhu, T.; Zeng, S.; Qin, H.; Zhou, K.; Yang, H.; Lan, F.; Huang, F.; Cao, J.; Müller, C. Low nitrate retention capacity in calcareous soil under woodland in the karst region of southwestern China. Soil Biol. Biochem. 2016, 97, 99–101. [Google Scholar] [CrossRef]
- Yang, Y.S.; Guo, J.F.; Chen, G.S.; Xie, J.S.; Gao, R.; Li, Z.; Jin, Z. Litter production, seasonal pattern and nutrient return in seven natural forests compared with a plantation in southern China. Forestry 2005, 78, 403–415. [Google Scholar] [CrossRef] [Green Version]
- Delgado-Baquerizo, M.; Reich, P.; Khachane, A.N.; Campbell, C.D.; Thomas, N.; Freitag, T.E.; Abu Al-Soud, W.; Sørensen, S.; Bardgett, R.D.; Singh, B.K. It is elemental: Soil nutrient stoichiometry drives bacterial diversity. Environ. Microbiol. 2017, 19, 1176–1188. [Google Scholar] [CrossRef] [PubMed]
- Yang, Y.; Liu, B.-R.; An, S.-S. Ecological stoichiometry in leaves, roots, litters and soil among different plant communities in a desertified region of Northern China. Catena 2018, 166, 328–338. [Google Scholar] [CrossRef]
- Lucas-Borja, M.; Hedo, J.; Cerdá, A.; Candel-Pérez, D.; Viñegla, B. Unravelling the importance of forest age stand and forest structure driving microbiological soil properties, enzymatic activities and soil nutrients content in Mediterranean Spanish black pine(Pinus nigra Ar. ssp. salzmannii) Forest. Sci. Total Environ. 2016, 562, 145–154. [Google Scholar] [CrossRef]
- Jonard, M.; Nicolas, M.; Coomes, D.A.; Caignet, I.; Saenger, A.; Ponette, Q. Forest soils in France are sequestering substantial amounts of carbon. Sci. Total Environ. 2017, 574, 616–628. [Google Scholar] [CrossRef] [Green Version]
- Leuschner, C.; Wulf, M.; Bäuchler, P.; Hertel, D. Forest Continuity as a Key Determinant of Soil Carbon and Nutrient Storage in Beech Forests on Sandy Soils in Northern Germany. Ecosystems 2014, 17, 497–511. [Google Scholar] [CrossRef]
- Bautista-Cruz, A.; del Castillo, R.F.; Etchevers, J.D.; Gutiérrez-Castorena, M.D.C.; Baez, A. Selection and interpretation of soil quality indicators for forest recovery after clearing of a tropical montane cloud forest in Mexico. For. Ecol. Manag. 2012, 277, 74–80. [Google Scholar] [CrossRef]
- Pommerening, A.; Murphy, S.T. A review of the history, definitions and methods of continuous cover forestry with special attention to afforestation and restocking. Forestry 2004, 77, 27–44. [Google Scholar] [CrossRef] [Green Version]
- Spiecker, H.; Hansen, J.; Klimo, E.; Skovsgaard, J.P.; Sterba, H.; von Teuffel, K. (Eds.) Norway Spruce Conversion-Options and Consequences; European Forest Institute Research Report; Brill Academic Pub.: Boston, MA, USA; Köln, Germany, 2004. [Google Scholar]
- Corwin, D.; Kaffka, S.; Hopmans, J.; Mori, Y.; Van Groenigen, J.W.; van Kessel, C.; Lesch, S.; Oster, J. Assessment and field-scale mapping of soil quality properties of a saline-sodic soil. Geoderma 2003, 114, 231–259. [Google Scholar] [CrossRef]
- Li, H.; Crabbe, M.J.C.; Xu, F.; Wang, W.; Niu, R.; Gao, X.; Zhang, P.; Chen, H. Seasonal Variations in Carbon, Nitrogen and Phosphorus Concentrations and C:N:P Stoichiometry in the Leaves of Differently Aged Larix principis-rupprechtii Mayr. Plantations. Forests 2017, 8, 373. [Google Scholar] [CrossRef] [Green Version]
- Justine, M.F.; Yang, W.; Wu, F.; Tan, B.; Khan, M.N.; Li, Z. Dissolved organic matter in soils varies across a chronosequence of Pinus massoniana plantations. Ecosphere 2017, 8, e01764. [Google Scholar] [CrossRef]
- Huang, Z.X. Effect of thinning on growth of Masson pine middle aged forest. For. Investig. Des. 2019, 39, 49–53. [Google Scholar]
- Zederer, D.P.; Talkner, U.; Spohn, M.; Joergensen, R.G. Microbial biomass phosphorus and C/N/P stoichiometry in forest floor and A horizons as affected by tree species. Soil Biol. Biochem. 2017, 111, 166–175. [Google Scholar] [CrossRef]
- Bao, Y.; Ni, W.; Wang, D.; Yue, C.; He, H.; Verbeeck, H. Effects of Tree Trunks on Estimation of Clumping Index and LAI from HemiView and Terrestrial LiDAR. Forests 2018, 9, 144. [Google Scholar] [CrossRef] [Green Version]
- Makarenkov, V.; Legendre, P. Nonlinear redundancy analysis and canonical correspondence analysis based on polynomial regression. Ecology 2002, 83, 1146. [Google Scholar] [CrossRef]
- Gairola, S.U.; Soni, P. Role of soil physical properties in ecological succession of restored mine land-A case study. Int. J. Environ. Sci. 2010, 1, 475–480. [Google Scholar]
- Yesilonis, I.; Szlavecz, K.; Pouyat, R.; Whigham, D.; Xia, L. Historical land use and stand age effects on forest soil properties in the Mid-Atlantic US. For. Ecol. Manag. 2016, 370, 83–92. [Google Scholar] [CrossRef] [Green Version]
- Sutinen, R.; Pänttäjä, M.; Teirilä, A.; Sutinen, M.-L. Effect of mechanical site preparation on soil quality in former Norway spruce sites. Geoderma 2006, 136, 411–422. [Google Scholar] [CrossRef]
- Skubel, R.; Arain, M.A.; Peichl, M.; Brodeur, J.; Khomik, M.; Thorne, R.; Trant, J.; Kula, M. Age effects on the water-use efficiency and water-use dynamics of temperate pine plantation forests. Hydrol. Process. 2015, 29, 4100–4113. [Google Scholar] [CrossRef]
- Sperry, J.S.; Hacke, U.G.; Oren, R.; Comstock, J.P. Water deficits and hydraulic limits to leaf water supply. Plant Cell Environ. 2002, 25, 251–263. [Google Scholar] [CrossRef]
- Chaves, M.M.; Maroco, J.P.; Pereira, J.S. Understanding plant responses to drought-from genes to the whole plant. Funct. Plant Biol. 2003, 30, 239–264. [Google Scholar] [CrossRef]
- Bréda, N.; Huc, R.; Granier, A.; Dreyer, E. Temperate forest trees and stands under severe drought: A review of ecophysiological responses, adaptation processes and long-term consequences. Ann. For. Sci. 2006, 63, 625–644. [Google Scholar] [CrossRef] [Green Version]
- Dixon-Coppage, T.L.; Davis, G.L.; Couch, T.; Brevik, E.C.; Barineau, C.I.; Vincent, P.C. A forty-year record of carbon sequestration in an abandoned borrow-pit, Lowndes County, GA. Soil Crop. Sci. Soc. Fla. Proc. 2005, 64, 8–15. [Google Scholar]
- Bastida, F.; Zsolnay, A.; Hernandez, T.; García, C. Past, present and future of soil quality indices: A biological perspective. Geoderma 2008, 147, 159–171. [Google Scholar] [CrossRef]
- Nan, W.; Ta, F.; Meng, X.; Dong, Z.; Xiao, N. Effects of age and density of Pinus sylvestris var. mongolica on soil moisture in the semiarid Mu Us Dunefield, northern China. For. Ecol. Manag. 2020, 473, 118313. [Google Scholar] [CrossRef]
- Tian, A.; Wang, Y.; Webb, A.A.; Liu, Z.; Ma, J.; Yu, P.; Wang, X. Water yield variation with elevation, tree age and density of larch plantation in the Liupan Mountains of the Loess Plateau and its forest management implications. Sci. Total Environ. 2021, 752, 141752. [Google Scholar] [CrossRef]
- Zhang, Z.M.; Zhou, Y.C.; Huang, X.F. Factors Influencing the Evolution of Human-driven Rocky Desertification in Karst Areas. Land Degrad. Dev. 2020, 31, 2506–2513. [Google Scholar] [CrossRef]
- Lozano-García, B.; Parras-Alcántara, L.; Brevik, E.C. Impact of topographic aspect and vegetation (native and reforested areas) on soil organic carbon and nitrogen budgets in Mediterranean natural areas. Sci. Total Environ. 2016, 544, 963–970. [Google Scholar] [CrossRef]
- Chen, W.; Li, Z.; Jiao, L.; Wang, C.; Gao, G.; Fu, B. Response of Soil Moisture to Rainfall Event in Black Locust Plantations at Different Stages of Restoration in Hilly-gully Area of the Loess Plateau, China. Chin. Geogr. Sci. 2020, 30, 427–445. [Google Scholar] [CrossRef]
- Zema, D.A.; Plaza-Alvarez, P.A.; Xu, X.; Carra, B.G.; Lucas-Borja, M.E. Influence of forest stand age on soil water repellency and hydraulic conductivity in the Mediterranean environment. Sci. Total Environ. 2021, 753, 142006. [Google Scholar] [CrossRef]
- Daping, W.; Jian, Z.; Danju, Z.; Chuanbei, L.; Yanbo, Z.; Jie, Z. Leaf carbon, nitrogen, and phosphorus resorption and the stoichiometry in Pinus massoniana plantations with various canopy densities. Chin. J. Appl. Environ. Biol. 2017, 23, 560–569. [Google Scholar]
- Pan, P.; Zhao, F.; Ning, J.; Zhang, L.; Ouyang, X.; Zang, H. Impact of understory vegetation on soil carbon and nitrogen dynamic in aerially seeded Pinus massoniana plantations. PLoS ONE 2018, 13, e0191952. [Google Scholar] [CrossRef]
- Luyssaert, S.; Schulze, E.D.; Börner, A.; Knohl, A.; Hessenmöller, D.; Law, B.; Ciais, P.; Grace, J. Old-growth forests as global carbon sinks. Nature 2008, 455, 213–215. [Google Scholar] [CrossRef]
- Montfort, F.; Nourtier, M.; Grinand, C.; Maneau, S.; Mercier, C.; Roelens, J.-B.; Blanc, L. Regeneration capacities of woody species biodiversity and soil properties in Miombo woodland after slash-and-burn agriculture in Mozambique. For. Ecol. Manag. 2021, 488, 119039. [Google Scholar] [CrossRef]
- Zhang, Z.; Huang, X.; Zhou, Y. Spatial heterogeneity of soil organic carbon in a karst region under different land use patterns. Ecosphere 2020, 11. [Google Scholar] [CrossRef] [Green Version]
- Malchair, S.; Carnol, M. Microbial biomass and C and N transformation in forest floors under European beech, sessile oak, Norway spruce and Douglas-fir at four temperate forest sites. Soil Biol. Biochem. 2009, 41, 831–839. [Google Scholar] [CrossRef]
- Hinsinger, P.; Jaillard, B. Root-induced release of interlayer potassium and vermiculitization of phlogopite as related to potassium depletion in the rhizosphere of ryegrass. Eur. J. Soil Sci. 1993, 44, 525–534. [Google Scholar] [CrossRef]
- Wong, V.N.L.; Dalal, R.; Greene, R.S.B. Salinity and sodicity effects on respiration and microbial biomass of soil. Biol. Fertil. Soils 2008, 44, 943–953. [Google Scholar] [CrossRef]
- Lin, Y.I.; Banjie, L.; Qiqing, Z. Correlation Between pH Value and Nutrients in Soil of the Tobacco-growing Areas of Sanming City in Fujian Province. Tob. Sci. Technol. 2017, 50, 24–30. [Google Scholar]
- Faisal, N.K.; Martin, L.; Gordon, T.; Douglas, L.G. Elevated atmospheric CO2 changes phosphorus fractions in soils under a short rotation poplar plantation (EuroFACE). Soil Biol. Biochem. 2008, 40, 1716–1723. [Google Scholar]
- Jones, D.L.; Darrah, P.R. Role of root derived organic acids in the mobilization of nutrients from the rhizosphere. Plant Soil 1994, 166, 247–257. [Google Scholar] [CrossRef]
- Fan, H.; Wu, J.; Liu, W.; Yuan, Y.; Hu, L.; Cai, Q. Linkages of plant and soil C:N:P stoichiometry and their relationships to forest growth in subtropical plantations. Plant Soil 2015, 392, 127–138. [Google Scholar] [CrossRef]
- Deng, H.; Chen, A.; Yan, S.; Lin, Y.; Hong, W. Nutrient resorption efficiency and C:N:P stoichiometry in different ages of Leucaena leucocephala. Chin. J. Appl. Environ. Biol. 2015, 21, 522–527. [Google Scholar]
- Yang, H.-X.; Wang, S.-L.; Fan, B.; Zhang, W.-D.; Wei, C.-E. Dynamics of nutrients in an age sequence of Pinus massoniana plantation. Chin. J. Appl. Ecol. 2010, 21, 1907–1914. [Google Scholar]
- Tian, L.; Shi, W. Short-term effects of plant litter on the dynamics, amount, and stoichiometry of soil enzyme activity in agroecosystems. Eur. J. Soil Biol. 2014, 65, 23–29. [Google Scholar] [CrossRef]
- Bengtsson, G.; Bengtson, P.; Månsson, K.F. Gross nitrogen mineralization-, immobilization-, and nitrification rates as a function of soil C/N ratio and microbial activity. Soil Biol. Biochem. 2003, 35, 143–154. [Google Scholar] [CrossRef]
- Ren, S.-J.; Yu, G.-R.; Jiang, C.-M.; Fang, H.-J.; Sun, X.-M. Stoichiometric characteristics of leaf carbon, nitrogen, and phosphorus of 102 dominant species in forest ecosystems along the North-South Transect of East China. Chin. J. Appl. Ecol. 2012, 23, 581. [Google Scholar]
- Tian, H.Q.; Chen, G.S.; Zhang, C.; Melillo, J.M.; Hall, C.A.S. Pattern and variation of C:N:P rations in China’s soils: A synthesis of observational data. Biogeochemistry 2010, 98, 139–151. [Google Scholar] [CrossRef]
- Walker, T.; Syers, J. The fate of phosphorus during pedogenesis. Geoderma 1976, 15, 1–19. [Google Scholar] [CrossRef]
- Turner, B.L.; Condron, L.M. Pedogenesis, nutrient dynamics, and ecosystem development: The legacy of T.W. Walker and J.K. Syers. Plant Soil 2013, 367, 1–10. [Google Scholar] [CrossRef]
- Aiba, S.-I.; Kitayama, K. Light and nutrient limitations for tree growth on young versus old soils in a Bornean tropical montane forest. J. Plant Res. 2020, 133, 665–679. [Google Scholar] [CrossRef]
- Cody, M.L. Resources and Communities Resource Competition and Community Structure David Tilman. BioScience 1983, 33, 723–724. [Google Scholar] [CrossRef]






| Forest Age (Years) | Longitude | Latitude | Elevation (m) | Diameter at Breast Height (cm) | Mean Tree Height (m) | Leaf Area Index |
|---|---|---|---|---|---|---|
| 10 | 106.74 | 26.52 | 1216.40 ± 4.9 | 18.79 | 8.20 | 1.57 |
| 20 | 106.74 | 26.54 | 1174.44 ± 4.9 | 25.22 | 13.53 | 1.44 |
| 40 | 106.74 | 26.51 | 1174.65 ± 4.9 | 36.06 | 21.89 | 1.45 |
| 60 | 106.74 | 26.52 | 1183.08 ± 4.9 | 36.65 | 23.63 | 1.46 |
| Forest Age (Years) | C:N | C:P | N:P |
|---|---|---|---|
| 10 | 160.02 | 91.52 | 0.54 |
| 20 | 201.57 | 88.44 | 0.47 |
| 40 | 181.99 | 114.91 | 0.65 |
| 60 | 322.18 | 171.99 | 0.60 |
| Soil Layer | Forest Age | C:N | C:P | N:P |
|---|---|---|---|---|
| (cm) | (Years) | |||
| 0–10 | 10 | 169.24 ± 86.903 | 111.08 ± 0.080 | 0.66 ± 0.201 |
| 20 | 155.94 ± 57.542 | 57.91 ± 0.399 | 0.37 ± 0.243 | |
| 40 | 162.53 ± 87.696 | 167.96 ± 0.049 | 1.03 ± 0.435 | |
| 60 | 209.72 ± 129.576 | 166.45 ± 0.025 | 0.79 ± 0.034 | |
| 10–20 | 10 | 157.06 ± 60.893 | 94.25 ± 0.066 | 0.60 ± 0.130 |
| 20 | 144.63 ± 57.758 | 61.25 ± 0.183 | 0.42 ± 0.137 | |
| 40 | 126.29 ± 25.188 | 82.44 ± 0.042 | 0.65 ± 0.071 | |
| 60 | 322.45 ± 133.624 | 189.79 ± 0.021 | 0.59 ± 0.097 | |
| 20–30 | 10 | 76.12 ± 54.783 | 40.68 ± 0.072 | 0.53 ± 0.039 |
| 20 | 219.71 ± 156.971 | 142.19 ± 0.082 | 0.44 ± 0.106 | |
| 40 | 178.20 ± 80.785 | 91.21 ± 0.039 | 0.51 ± 0.149 | |
| 60 | 258.52 ± 119.293 | 149.28 ± 0.052 | 0.58 ± 0.096 | |
| 30–40 | 10 | 172.07 ± 242.893 | 94.11 ± 0.094 | 0.55 ± 0.057 |
| 20 | 223.99 ± 168.894 | 24.19 ± 1.555 | 0.11 ± 0.315 | |
| 40 | 195.94 ± 167.877 | 122.63 ± 0.067 | 0.63 ± 0.149 | |
| 60 | 418.28 ± 203.629 | 233.99 ± 0.017 | 0.56 ± 0.076 | |
| 40–50 | 10 | 184.73 ± 179.696 | 59.17 ± 0.123 | 0.32 ± 0.092 |
| 20 | 83.96 ±55.654 | 45.27 ± 0.080 | 0.54 ± 0.095 | |
| 40 | 180.43 ± 134.109 | 73.81 ± 0.021 | 0.41 ± 0.117 | |
| 60 | 387.85 ± 259.649 | 169.04 ± 0.007 | 0.44 ± 0.177 | |
| 50–60 | 10 | 167.33 ± 73.636 | 42.32 ± 0.138 | 0.25 ± 0.186 |
| 20 | 107.50 ± 212.540 | 112.29 ± 0.026 | 1.04 ± 1.012 | |
| 40 | 234.10 ± 33.513 | 133.03 ± 0.053 | 0.57 ± 0.277 | |
| 60 | 320.54 ± 104.394 | 180.44 ± 0.037 | 0.56 ± 0.150 |
| Index | TN | TP | TK | AN | AP | AK | SW | BD | pH | SOC |
|---|---|---|---|---|---|---|---|---|---|---|
| TN | 1.000 | |||||||||
| TP | 0.011 | 1.000 | ||||||||
| TK | −0.016 | −0.004 | 1.000 | |||||||
| AN | 0.626 ** | 0.123 | −0.023 | 1.000 | ||||||
| AP | −0.325 ** | −0.088 | −0.258 * | −0.294 * | 1.000 | |||||
| AK | 0.460 ** | 0.097 | 0.250 * | 0.484 ** | −0.239 * | 1.000 | ||||
| SW | 0.054 | 0.022 | 0.435 ** | 0.026 | −0.347 ** | −0.122 | 1.000 | |||
| BD | −0.367 ** | −0.038 | 0.086 | −0.448 ** | 0.280 * | −0.149 | −0.403 ** | 1.000 | ||
| pH | 0.047 | 0.221 | −0.156 | −0.092 | −0.148 | 0.199 | −0.058 | −0.023 | 1.000 | |
| SOC | 0.297 * | 0.004 | −0.183 | 0.173 | −0.019 | 0.196 | −0.104 | −0.164 | 0.091 | 1.000 |
Publisher’s Note: MDPI stays neutral with regard to jurisdictional claims in published maps and institutional affiliations. |
© 2021 by the authors. Licensee MDPI, Basel, Switzerland. This article is an open access article distributed under the terms and conditions of the Creative Commons Attribution (CC BY) license (https://creativecommons.org/licenses/by/4.0/).
Share and Cite
Yin, X.; Zhao, L.; Fang, Q.; Ding, G. Differences in Soil Physicochemical Properties in Different-Aged Pinus massoniana Plantations in Southwest China. Forests 2021, 12, 987. https://doi.org/10.3390/f12080987
Yin X, Zhao L, Fang Q, Ding G. Differences in Soil Physicochemical Properties in Different-Aged Pinus massoniana Plantations in Southwest China. Forests. 2021; 12(8):987. https://doi.org/10.3390/f12080987
Chicago/Turabian StyleYin, Xiaoai, Longshan Zhao, Qian Fang, and Guijie Ding. 2021. "Differences in Soil Physicochemical Properties in Different-Aged Pinus massoniana Plantations in Southwest China" Forests 12, no. 8: 987. https://doi.org/10.3390/f12080987
APA StyleYin, X., Zhao, L., Fang, Q., & Ding, G. (2021). Differences in Soil Physicochemical Properties in Different-Aged Pinus massoniana Plantations in Southwest China. Forests, 12(8), 987. https://doi.org/10.3390/f12080987

