Recovery of Logged Tropical Montane Rainforests as Potential Habitats for Hainan Gibbon
Abstract
1. Introduction
2. Materials and Methods
2.1. Study Site
2.2. Data Collection
2.3. Calculation Formula
2.4. Statistical Analysis
3. Results
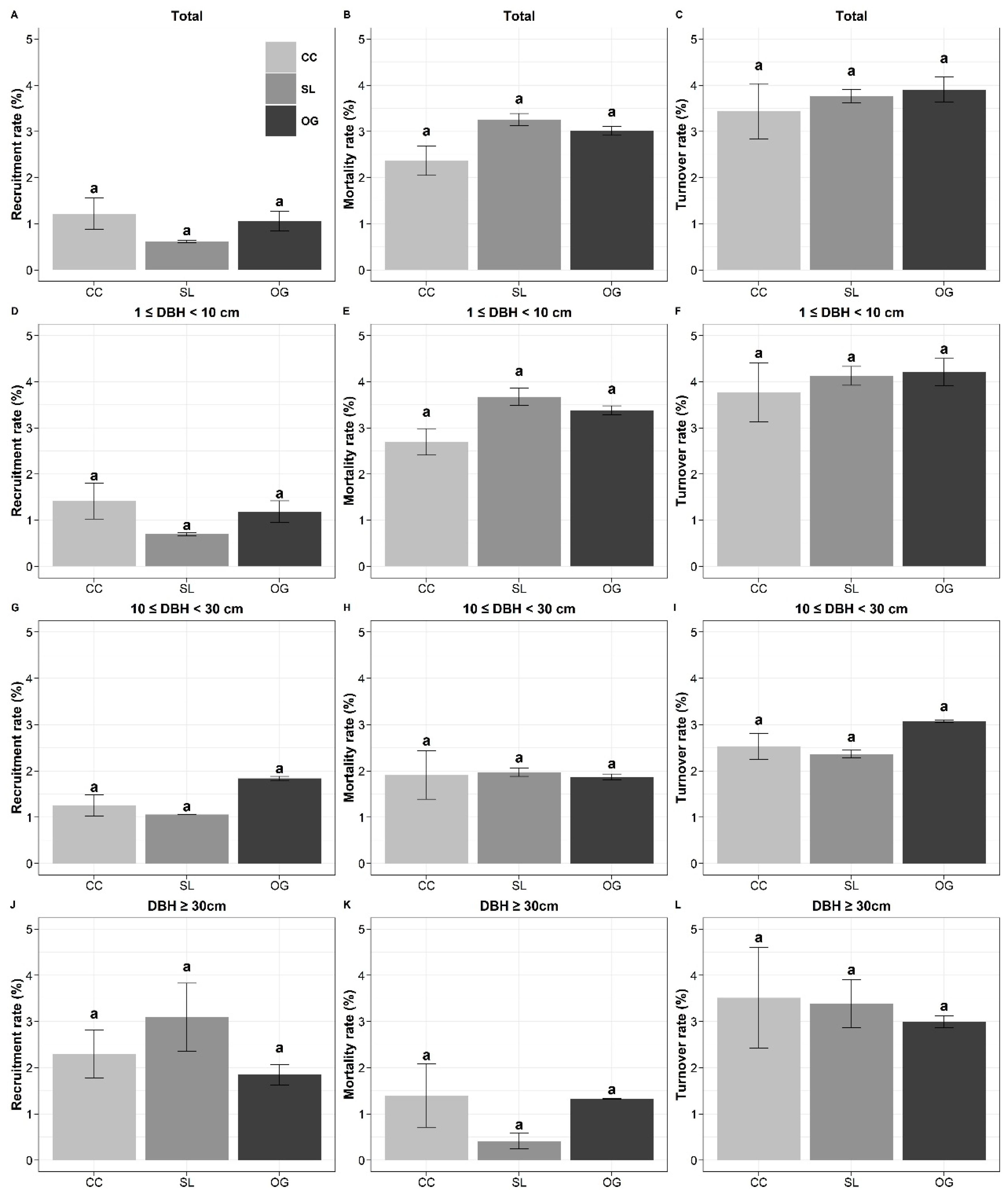
3.1. Recovery of Community of Secondary Tropical Montane Rainforests after Different Disturbances
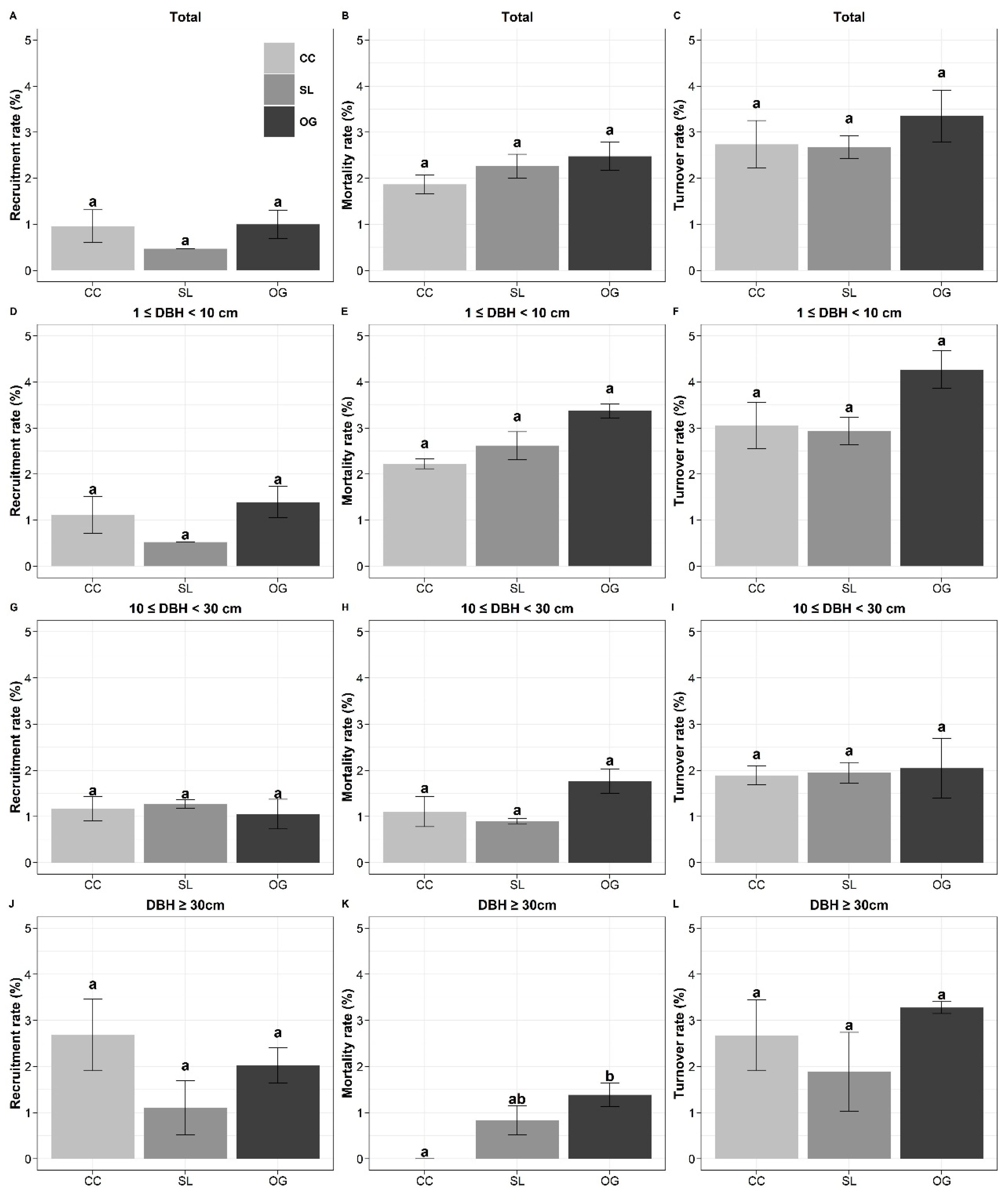
3.2. Recovery of Food Plants of Secondary Tropical Montane Rainforests after Different Disturbances
4. Discussion
4.1. The Recovery of Community Structure in Secondary Forests
4.2. The Recovery of Food Plants in Secondary Forests
4.3. The Recovery of Secondary Forests with Different Disturbance Intensities
5. Conclusions
Supplementary Materials
Author Contributions
Funding
Conflicts of Interest
References
- Stone, R. Last-Ditch Effort to Save Embattled Ape. Science 2011, 331, 390. [Google Scholar] [CrossRef] [PubMed]
- Bryant, J.; Turvey, S.; Wong, M.; Traylor-Holzer, K. Conserving the world’s rarest ape: Action planning for the Hainan gibbon. Oryx 2015, 49, 391–392. [Google Scholar] [CrossRef]
- Fan, P. The past, present, and future of gibbons in China. Biol. Conserv. 2017, 210, 29–39. [Google Scholar] [CrossRef]
- Deng, H.; Zhang, M.; Zhou, J. Recovery of the Critically Endangered Hainan gibbon Nomascus hainanus. Oryx 2017, 51, 161–165. [Google Scholar] [CrossRef]
- Geissmann, T.; Bleisch, W. Nomascus hainanus. IUCN Red List of Threatened Species, Version 2011.1. Available online: https://www.iucnredlist.org/ (accessed on 23 November 2019).
- Mootnick, A.R.; Chan, B.P.L.; Moisson, P.; Madler, T. The status of the Hainan gibbon Nomascus hainanus and the Eastern black gibbon Nomascus nasutus. Int. Zoo Yearb. 2012, 46, 259–264. [Google Scholar] [CrossRef]
- Zhang, M.; Fellowes, J.; Jiang, X.-L.; Wang, W.; Chan, B.; Ren, G.-P.; Zhu, J. Degradation of tropical forest in Hainan, China, 1991–2008: Conservation implications for Hainan Gibbon (Nomascus hainanus). Biol. Conserv. 2010, 143, 1397–1404. [Google Scholar] [CrossRef]
- Guo, Y.; Peng, D.; Han, L.; Liu, T.; Li, G.; Garber, P.A.; Zhou, J. Mitochondrial DNA control region sequencing of the critically endangered Hainan gibbon (Nomascus hainanus) reveals two female origins and extremely low genetic diversity. Mitochondrial DNA Part B 2021, 6, 1355–1359. [Google Scholar] [CrossRef]
- Liu, H.; Ma, H.; Cheyne, S.M.; Turvey, S.T. Recovery hopes for the world’s rarest primate. Science 2020, 368, 1074. [Google Scholar]
- Zhang, Z.; Zang, R. Diversity and distribution of food plants: Implications for conservation of the critically endangered Hainan gibbon. Nat. Conserv. 2018, 31, 17–33. [Google Scholar] [CrossRef]
- Zang, R.; Ding, Y.; Zhang, Z.; Deng, F.; Mao, P. Ecological Foundation of Conservation and Restoration for the Major Functional Groups in Tropical Natural Forests on Hainan Island; Science Press: Beijing, China, 2010; pp. 17–38. [Google Scholar]
- Turvey, S.T. International Conservation Planning Workshop for the Hainan Gibbon: Final Report; Journal of Wildlife Rehabilitation: London, UK, 2015. [Google Scholar]
- Hansen, M.C.; Potapov, P.; Moore, R.; Hancher, M.; Turubanova, S.; Tyukavina, A.; Thau, D.; Stehman, S.; Goetz, S.; Loveland, T.; et al. High-Resolution Global Maps of 21st-Century Forest Cover Change. Science (N. Y.) 2013, 342, 850–853. [Google Scholar] [CrossRef]
- Berry, N.; Phillips, O.; Lewis, S.; Hill, J.; Edwards, D.; Tawatao, N.; Ahmad, N.; Magintan, D.; Khen, C.; Mohamed, M.; et al. The high value of logged tropical forests: Lessons from northern Borneo. Biodivers. Conserv. 2010, 19, 985–997. [Google Scholar] [CrossRef]
- Arroyo-Rodríguez, V.; Melo, F.; Martinez-Ramos, M.; Bongers, F.; Chazdon, R.; Meave, J.; Norden, N.; Santos, B.; Leal, I.; Tabarelli, M. Multiple successional pathways in human-modified tropical landscapes: New insights from forest succession, forest fragmentation and landscape ecology research. Biol. Rev. 2017, 92, 326–340. [Google Scholar] [CrossRef] [PubMed]
- Bryson-Morrison, N.; Matsuzawa, T.; Humle, T. Chimpanzees in an anthropogenic landscape: Examining food resources across habitat types at Bossou, Guinea, West Africa. Am. J. Primatol. 2016, 78, 1237–1249. [Google Scholar] [CrossRef]
- Rozendaal, D.; Bongers, F.; Aide, T.M.; Alvarez Davila, E.; Ascarrunz, N.; Balvanera, P.; Becknell, J.; Bentos, T.; Brancalion, P.; Cabral, G.; et al. Biodiversity recovery of Neotropical secondary forests. Sci. Adv. 2019, 5, eaau3114. [Google Scholar] [CrossRef]
- Chazdon, R.L.; Peres, C.A.; Dent, D.; Sheil, D.; Lugo, A.E.; Lamb, D.; Stork, N.E.; Miller, S.E. The potential for species conservation in tropical secondary forests. Conserv. Biol. 2009, 23, 1406–1417. [Google Scholar] [CrossRef] [PubMed]
- Chan, B.; Lo, P.; Mo, Y. New hope for the Hainan gibbon: Formation of a new group outside its known range—ERRATUM. Oryx 2020, 54, 296. [Google Scholar] [CrossRef]
- Mammides, C.; Cords, M.; Peters, M. Effects of habitat disturbance and food supply on population densities of three primate species in the Kakamega Forest, Kenya. Afr. J. Ecol. 2009, 47, 87–96. [Google Scholar] [CrossRef]
- Phillips, O.L.; Gentry, A.H. Increasing turnover through time in tropical forests. Science 1994, 263, 954–958. [Google Scholar] [CrossRef]
- Lewis, S.L.; Phillips, O.L.; Sheil, D.; Vinceti, B.; Baker, T.R.; Brown, S.A.; Graham, A.W.; Higuchi, N.; Hilbert, D.W.; Laurance, W.F. Tropical forest tree mortality, recruitment and turnover rates: Calculation, interpretation and comparison when census intervals vary. J. Ecol. 2004, 92, 929–944. [Google Scholar] [CrossRef]
- Phillips, O.L.; Baker, T.R.; Arroyo, L.; Higuchi, N.; Killeen, T.J.; Laurance, W.F.; Lewis, S.L.; Lloyd, J.R.; Malhi, Y.; Monteagudo, A. Pattern and process in Amazon tree turnover, 1976-2001. Philos. Trans. R. Soc. B 2004, 359, 381–407. [Google Scholar] [CrossRef]
- Wang, J.; Lu, H.; Lin, Y.; Campbell, D.E.; Hongyue, C.; Ren, H. Dynamics of community structure and bio-thermodynamic health of soil organisms following subtropical forest succession. J. Environ. Manag. 2020, 280, 111647. [Google Scholar] [CrossRef]
- Norden, N.; Letcher, S.; Boukili, V.; Swenson, N.; Chazdon, R. Demographic drivers of successional change in phylogenetic structure across life-history stages in plant communities. Ecology 2012, 93, S70–S82. [Google Scholar] [CrossRef]
- Meiners, S.J.; Cadotte, M.W.; Fridley, J.D.; Pickett, S.T.A.; Walker, L.R. Is successional research nearing its climax? New approaches for understanding dynamic communities. Funct. Ecol. 2015, 29, 154–164. [Google Scholar] [CrossRef]
- Ding, Y.; Zang, R.; Lu, X.; Huang, J. The impacts of selective logging and clear-cutting on woody plant diversity after 40 years of natural recovery in a tropical montane rain forest, south China. Sci. Total Environ. 2017, 579, 1683–1691. [Google Scholar] [CrossRef] [PubMed]
- Edwards, D.P.; Tobias, J.A.; Sheil, D.; Meijaard, E.; Laurance, W.F. Maintaining ecosystem function and services in logged tropical forests. Trends Ecol. Evol. 2014, 29, 511–520. [Google Scholar] [CrossRef] [PubMed]
- Putz, F.E.; Zuidema, P.A.; Synnott, T.; Pea-Claros, M.; Pinard, M.A.; Sheil, D.; Vanclay, J.K.; Sist, P.; Gourlet-Fleury, S.; Griscom, B. Sustaining conservation values in selectively logged tropical forests: The attained and the attainable. Conserv. Lett. 2012, 5, 296–303. [Google Scholar] [CrossRef]
- Xu, H.; Li, Y.; Liu, S.; Zang, R.; He, F.; Spence, J. Partial recovery of a tropical rainforest a half century after clear-cut and selective logging. J. Appl. Ecol. 2015, 52, 1044–1052. [Google Scholar] [CrossRef]
- Villela, D.M.; Nascimento, M.T.; Aragao, L.E.O.C.; Gama, D.M.D. Effect of selective logging on forest structure and nutrient cycling in a seasonally dry Brazilian Atlantic forest. J. Biogeogr. 2006, 33, 506–516. [Google Scholar] [CrossRef]
- Osazuwapeters, O.L.; Jimenez, I.; Oberle, B.; Chapman, C.A.; Zanne, A.E. Selective logging: Do rates of forest turnover in stems, species composition and functional traits decrease with time since disturbance?—A 45 year perspective. For. Ecol. Manag. 2015, 357, 10–21. [Google Scholar] [CrossRef]
- Brown, K.; Gurevitch, J. Long-term impacts of logging on forest diversity in Madagascar. Proc. Natl. Acad. Sci. USA 2004, 101, 6045–6049. [Google Scholar] [CrossRef]
- Zhou, J. The Ecology and Behavior Traits of Hainan black-crested Gibbon (Nomascus hainanus). Ph.D. Thesis, Northeast Normal University, Changchun, China, 2008. [Google Scholar]
- Deng, H.; Jiang, Z. Thirteen years observation on diet composition of hainan gibbons (Nomascus hainanus). North West. J. Zool. 2018, 14, e171703. [Google Scholar]
- Condit, R.; Ashton, P.S.; Manokaran, N.; Lafrankie, J.V.; Hubbell, S.P.; Foster, R.B. Dynamics of the forest communities at Pasoh and Barro Colorado: Comparing two 50-ha plots. Philos. Trans. R. Soc. B 1999, 354, 1739–1748. [Google Scholar] [CrossRef]
- Harrison, R.; Tan, S.; Plotkin, J.; Slik, F.; Detto, M.; Brenes, T.; Itoh, A.; Davies, S. Consequences of defaunation for a tropical tree community. Ecol. Lett. 2013, 16, 687–694. [Google Scholar] [CrossRef]
- Harrison, R.D. Emptying the Forest: Hunting and the Extirpation of Wildlife from Tropical Nature Reserves. BioScience 2011. [Google Scholar] [CrossRef]
- Stevenson, P.R. The Abundance of Large Ateline Monkeys is Positively Associated with the Diversity of Plants Regenerating in Neotropical Forests. Biotropica 2011, 43, 512–519. [Google Scholar] [CrossRef]
- Vanthomme, H.; Bellé, B.; Forget, P.M. Bushmeat Hunting Alters Recruitment of Large-seeded Plant Species in Central Africa. Biotropica 2010, 42, 672–679. [Google Scholar] [CrossRef]
- Mcconkey, K.R. Influence of faeces on seed removal from gibbon droppings in a dipterocarp forest in Central Borneo. J. Trop. Ecol. 2005, 21, 117–120. [Google Scholar] [CrossRef]
- Furuichi, T.; Hashimoto, C. Botanical and Topographical Factors Influencing Nesting-Site Selection by Chimpanzees in Kalinzu Forest, Uganda. Int. J. Primatol. 2004, 25, 755–765. [Google Scholar] [CrossRef]
- Cannon, C.H.; Peart, D.R.; Leighton, M. Tree species diversity in commercially logged Bornean rainforest. Science 1998, 281, 1366–1368. [Google Scholar] [CrossRef] [PubMed]
- Slik, J.; Verburg, R.W.; Keler, P.J.A. Effects of fire and selective logging on the tree species composition of lowland dipterocarp forest in East Kalimantan, Indonesia. Biodivers. Conserv. Lett. 2002, 11, 85–98. [Google Scholar] [CrossRef]
- Claros, M.P. Changes in forest structure and species composition during secondary forest succession in the Bolivian Amazon. Biotropica 2003, 35, 450–461. [Google Scholar] [CrossRef]
- Aide, T.M.; Zimmerman, J.K.; Pascarella, J.B.; Rivera, L.; Marcano-Vega, H. Forest Regeneration in a Chronosequence of Tropical Abandoned Pastures: Implications for Restoration Ecology. Restor. Ecol. 2000, 8, 328–338. [Google Scholar] [CrossRef]
- Carreo-Rocabado, G.; Pea-Claros, M.; Bongers, F.; Alarcón, A.; Poorter, L. Effects of disturbance intensity on species and functional diversity in a tropical forest. J. Ecol. 2012, 100, 1453–1463. [Google Scholar] [CrossRef]
- Martin, P.A.; Newton, A.C.; Pfeifer, M.; Khoo, M.S.; Bullock, J.M. Impacts of tropical selective logging on carbon storage and tree species richness: A meta-analysis. For. Ecol. Manag. 2015, 356, 224–233. [Google Scholar] [CrossRef]
- Oberleitnera, F.; Eggerb, C.; Oberdorferc, S.; Dullingerd, S.; Waneke, W.; Hietz, P. Recovery of aboveground biomass, species richness and composition in tropical secondary forests in SW Costa Rica. For. Ecol. Manag. 2021, 479, 118580. [Google Scholar] [CrossRef]
- Bhatta, S.P.; Devkota, A. Community structure and regeneration status of Sal (Shorea robusta Gaertn.) forests of Dadeldhura district, Western Nepal. Community Ecol. 2020, 21, 191–201. [Google Scholar] [CrossRef]
- Rode, K.D.; Chapman, C.A.; Mcdowell, L.R.; Stickler, C. Nutritional Correlates of Population Density Across Habitats and Logging Intensities in Redtail Monkeys (Cercopithecus ascanius)1. Biotropica 2010, 38, 625–634. [Google Scholar] [CrossRef]
- Worman, C.O.; Chapman, C.A. Densities of Two Frugivorous Primates with Respect to Forest and Fragment Tree Species Composition and Fruit Availability. Int. J. Primatol. 2006, 27, 203–225. [Google Scholar] [CrossRef]
- Du, Y.; Li, D.; Yang, X.; Peng, D.; Tang, X.; Liu, H.; Li, D.; Hong, X.; Song, X. Reproductive phenology and its drivers in a tropical rainforest national park in China: Implications for Hainan gibbon (Nomascus hainanus) conservation. Glob. Ecol. Conserv. 2020, 24, e01317. [Google Scholar] [CrossRef]
- Chazdon, R.L.; Letcher, S.G.; van Breugel, M.; Martinez-Ramos, M.; Bongers, F.; Finegan, B. Rates of change in tree communities of secondary Neotropical forests following major disturbances. Philos. Trans. R. Soc. B Biol. Sci. 2007, 362, 273–289. [Google Scholar] [CrossRef] [PubMed]





Publisher’s Note: MDPI stays neutral with regard to jurisdictional claims in published maps and institutional affiliations. |
© 2021 by the authors. Licensee MDPI, Basel, Switzerland. This article is an open access article distributed under the terms and conditions of the Creative Commons Attribution (CC BY) license (https://creativecommons.org/licenses/by/4.0/).
Share and Cite
Fan, K.; Xu, Y.; Liu, P.; Zang, R. Recovery of Logged Tropical Montane Rainforests as Potential Habitats for Hainan Gibbon. Forests 2021, 12, 711. https://doi.org/10.3390/f12060711
Fan K, Xu Y, Liu P, Zang R. Recovery of Logged Tropical Montane Rainforests as Potential Habitats for Hainan Gibbon. Forests. 2021; 12(6):711. https://doi.org/10.3390/f12060711
Chicago/Turabian StyleFan, Kexin, Yue Xu, Pengcheng Liu, and Runguo Zang. 2021. "Recovery of Logged Tropical Montane Rainforests as Potential Habitats for Hainan Gibbon" Forests 12, no. 6: 711. https://doi.org/10.3390/f12060711
APA StyleFan, K., Xu, Y., Liu, P., & Zang, R. (2021). Recovery of Logged Tropical Montane Rainforests as Potential Habitats for Hainan Gibbon. Forests, 12(6), 711. https://doi.org/10.3390/f12060711

