Diagnostic Assessment and Restoration Plan for Damaged Forest around the Seokpo Zinc Smelter, Central Eastern Korea
Abstract
1. Introduction
2. Materials and Methods
2.1. Study Site
2.2. Methods
3. Results
3.1. Vegetation Damage
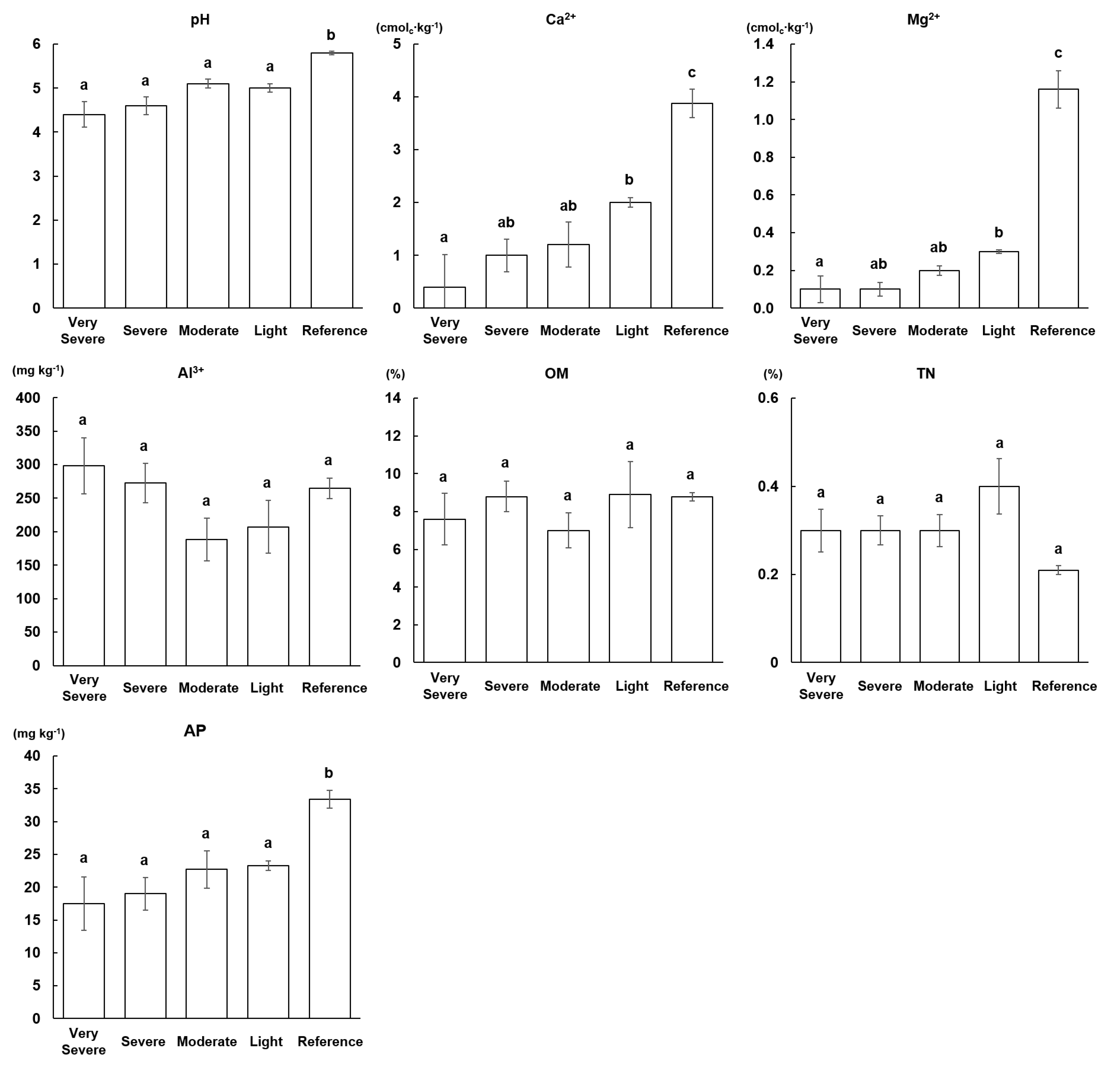
3.2. Soil Degradation
3.3. Species Composition
3.4. Species Diversity
3.5. Selection of Plant Species for Vegetation Restoration
3.6. Zonning and Design for Restorative Treatment
4. Discussion
4.1. The Effects of Air Pollution on Forest Ecosystems
4.2. Damage Status to Forest Ecosystem around Seokpo Smelter
4.3. Necessity and Recommendation of Ecological Restoration
4.4. Soil Amelioration for Restoration
4.5. Selection of Plant Species for Restoration
5. Conclusions
Author Contributions
Funding
Conflicts of Interest
Appendix A
| Environmental Factors | Content |
|---|---|
| Water content (%) | 48.34 |
| Organic matter (%) | 33.76 |
| Total Nitrogen (%) | 1.24 |
| Available Phosphorus (%) | 1.04 |
| Exchangeable Potassium (%) | 0.26 |
| C.E.C (cmol+/kg) | 35.0 |
| Sodium (%) | 0.57 |
References
- Bull, K.; Fench, G. International activities to reduce pollution impacts at the regional scale. In IUFRO Research Series 1, Forest Dynamics in Heavily Polluted Regions; Innes, J.L., Oleksyn, J., Eds.; CABI Publishing: Wallingford, UK, 2000. [Google Scholar]
- Grennfelt, P.; Engleryd, A.; Forsius, M.; Hov, Ø.; Rodhe, H.; Cowling, E. Acid rain and air pollution: 50 years of progress in environmental science and policy. Ambio 2020, 49, 849–864. [Google Scholar] [CrossRef] [PubMed]
- NIER (National Institute of Environmental Research). National Air Pollutants Emission; National Institute of Environmental Research: Gimpo, Korea, 2018. [Google Scholar]
- Lee, H.; Lim, B.S.; Kim, D.U.; Kim, A.R.; Seol, J.W.; Lim, C.H.; Kil, J.H.; Moon, J.S.; Lee, C.S. Decline and passive restoration of forest vegetation around the Yeocheon industrial complex of Southern Korea. Forests 2020, 11, 674. [Google Scholar] [CrossRef]
- Luttermann, A.; Freedman, B. Risks to Forests in Heavily Polluted Regions. Forest Dynamics in Heavily Polluted Regions; Report No. 1; IUFRO Task Force on Environmental Change; IUFRO: Vienna, Austria, 2000; pp. 9–26. [Google Scholar]
- Winterhalder, K. Landscape degradation by smelter emissions near Sudbury, Canada, and subsequent amelioration and restoration. In IUFRO Research Series 1. Forest Dynamics in Heavily Polluted Regions; Innes, J.L., Oleksyn, J., Eds.; CABI Publishing: Wallingford, UK, 2000; pp. 87–119. [Google Scholar]
- Lee, C.S.; Lee, K.S.; Hwangbo, J.K.; You, Y.H.; Kim, J.H. Selection of tolerant plants and their arrangement to restore a forest ecosystem damaged by air pollution. Water Air Soil Pollut. 2004, 156, 251–273. [Google Scholar] [CrossRef]
- Lee, C.S.; Moon, J.S.; Cho, Y.C. Effects of soil amelioration and tree planting on restoration of an air-pollution damaged forest in South Korea. Water Air Soil Pollut. 2006, 179, 239–254. [Google Scholar] [CrossRef]
- United Nations Environment Programme (UNEP). Annual Report 2009: Seizing the Hreen Opportunity; United Nations Environment Programme: Nairobi, Kenya, 2009. [Google Scholar]
- Sicard, P.; Augustaitis, A.; Belyazid, S.; Calfapietra, C.; De Marco, A.; Fenn, M.E.; Bytnerowicz, A.; Grulke, N.E.; He, S.; Matyssek, R.; et al. Global topics and novel approaches in the study of air pollution, climate change and forest ecosystems. Environ. Pollut. 2016, 213, 977–987. [Google Scholar] [CrossRef]
- Manisalidis, I.; Stavropoulou, E.; Stavropoulos, A.; Bezirtzoglou, E. Environmental and health impacts of air pollution: A review. Front. Public Health 2020, 8, 14. [Google Scholar] [CrossRef]
- Lee, C.S.; Cho, Y.C.; Shin, H.C.; Lee, S.M.; Lee, C.H.; Eom, A.H. An evaluation of the effects of rehabilitation practiced in the coal mining spoils in Korea 2. An evaluation based on physic-chemical properties of soil. J. Ecol. Field Biol. 2008, 31, 25–30. [Google Scholar] [CrossRef]
- Lee, C.S.; Cho, Y.C. Selection of pollution-tolerant trees for restoration of degraded forests and evaluation of the experimental restoration practices at the Ulsan Industrial Complex, Korea. In Ecology, Planning, and Management of Urban Forests: International Perspectives; Springer: New York, NY, USA, 2008; pp. 369–392. [Google Scholar]
- Lee, C.S. Regeneration of Pinus densiflora Community around the Yeocheon Industrial Complex Disturbed by Air Pollution. Korean J. Ecol. 1993, 16, 305–316. [Google Scholar]
- Ministry of Environment. Selection and Breeding of Tolerant Species and Bio-Indicator to Air Pollution and Acid Rain; Ministry of Environment: Seoul, Korea, 1996; p. 353.
- Gunn, J.M. Restoration and Recovery of an Industrial Region: Progress in Restoring the Smelter-Damaged Landscape Near Sudbury, Canada; Springer: Berlin/Heidelberg, Germany, 1995. [Google Scholar]
- Aronson, J.; Floret, C.; Le floc’h, E.; Ovalle, C.; Pontainer, P. Restoration and rehabilitation of degraded ecosystems in arid and semi-arid lands. A review from the South. Restor. Ecol. 1993, 1, 8–17. [Google Scholar] [CrossRef]
- Berger, J.J. Ecological restoration and non indigenous plant species: A review. Restor. Ecol. 1993, 1, 74–82. [Google Scholar] [CrossRef]
- SERI (Society Ecological Restoration International Science & Policy Working Group). The SER International Primer on Ecological Restoration; Society for Ecological Restoration International: Tucson, AZ, USA, 2004. [Google Scholar]
- McDonald, T.; Gann, G.; Jonson, J.; Dixon, K. International Standards for the Practice of Ecological Restoration—Including Principles and Key Concepts; Society for Ecological Restoration: Washington, DC, USA, 2016. [Google Scholar]
- Bradshaw, A. Ecological principles and land reclamation practice. Landsc. Plan. 1984, 11, 35–48. [Google Scholar] [CrossRef]
- Bradshaw, A.D. The reclamation of derelict land and the ecology of ecosystems. In Restoration Ecology: A Synthetic Approach to Ecological Research; Jordan, W.R., Gilpin, M.E., Aber, A.D., Eds.; Cambridge University Press: Cambridge, UK, 1987; pp. 53–74. [Google Scholar]
- Cairns, J. Is restoration ecology practical? Restor. Ecol. 1993, 1, 3–7. [Google Scholar] [CrossRef]
- Cairns, J.; Heckman, J.R. Restoration ecology: The state of an emerging field. Annu. Rev. Energy Environ. 1996, 21, 167–189. [Google Scholar] [CrossRef]
- Hobbs, R.; Norton, D.A. Towards a conceptual framework for restoration ecology. Restor. Ecol. 1996, 4, 93–110. [Google Scholar] [CrossRef]
- Jordan, W.R.; Ii, R.L.P.; Allen, E.B. Ecological restoration as a strategy for conserving biological diversity. Environ. Manag. 1988, 12, 55–72. [Google Scholar] [CrossRef]
- Naveh, Z. From biodiversity to ecodiversity: A landscape-ecology approach to conservation and restoration. Restor. Ecol. 1994, 2, 180–189. [Google Scholar] [CrossRef]
- Turner, F. The invented landscape. In Beyond Preservation: Restoring and Inventing Landscapes; Baldwin, A.D.J., De Luce, J., Pletsch, C., Eds.; University of Minnesota Press: Minneapolis, MN, USA, 1994; pp. 35–66. [Google Scholar]
- Bradshaw, A.D. The biology of land restoration. In Applied Population Biology; Jain, S.K., Botsford, J.W., Eds.; Kluwer: Dordrecht, The Netherlands, 1992; pp. 25–44. [Google Scholar]
- Temperton, V.M.; Zirr, K. Order of arrival and availability of safe sites: An example of their importance for plant community assembly in stressed ecosystems. In Assembly Rules and Restoration Ecology-Bridging the Gap between Theory and Practice; Temperton, V.M., Hobbs, R., Nuttle, T., Halle, S., Eds.; Island Press: Washington, DC, USA, 2004; pp. 285–303. [Google Scholar]
- Hough, M. City Form and Natural Process; Croom Helm: London, UK, 1984; p. 279. [Google Scholar]
- Aber, J.D. Restored forests and the identification of critical factors in species-site interactions. In Restoration Ecology: A Synthetic Approach to Ecological Research; Jordan, W.R., Gilpin, M.E., Aber, J.D., Eds.; Cambridge University Press: Cambridge, UK, 1987; pp. 241–250. [Google Scholar]
- MacMahon, J.A. Disturbed lands and ecological theory: An essay about a mutualistic association. In Restoration Ecology; Jordan, W.R., Gilpin, M.E., Aber, J.D., Eds.; Cambridge University Press: Cambridge, UK, 1987; pp. 221–240. [Google Scholar]
- Gunn, J.M. Restoring the smelter-damaged landscape near Sudbury, Canada. Ecol. Restor. 1996, 14, 129–136. [Google Scholar] [CrossRef]
- Dobson, A.P.; Bradshaw, A.D.; Baker, A.J.M. Hopes for the future: Restoration ecology and conservation biology. Science 1997, 277, 515–522. [Google Scholar] [CrossRef]
- Kim, G.S.; Pee, J.H.; An, J.H.; Lim, C.H.; Lee, C.S. Selection of air pollution tolerant plants through the 20-years-long transplanting experiment in the Yeocheon industrial area, southern Korea. Anim. Cells Syst. 2015, 19, 208–215. [Google Scholar] [CrossRef]
- Kercher, J.; Axelrod, M.; Bingham, G. Forecasting effects of S02 pollution on growth and succession in a Western conifer forest. In Proceedings of the Symposium on Effects of Air Pollutants on Mediterranean and Temperate Forest Ecosystems, Riverside, CA, USA, 22–27 June 1980; p. 200. [Google Scholar]
- Kozlowski, T.T. Impacts of air pollution on forest ecosystems. BioScience 1980, 30, 88–93. [Google Scholar] [CrossRef]
- Healey, M.; Raine, A.; Parsons, L.; Cook, N. River Condition Index in New South Wales: Method Development and Application; NSW Office of Water: Sydney, Australia, 2012. [Google Scholar]
- Munné, A.; Solà, C.; Rieradevall, M.; Prat, N. Índex QBR. Mètode per a l’avaluació de la qualitat dels ecosistemes de ribera. Estud. Qual. Ecol. 1998, 4, 28. (In Catalan) [Google Scholar]
- Webb, B.W.; Petts, G.E.; Möller, H.; Roux, A.L. Historical change of large alluvial rivers: Western Europe. Geogr. J. 1990, 156, 91. [Google Scholar] [CrossRef]
- Mant, J.; Janes, M. Restoration of rivers and floodplains. In Restoration Ecology; Blackwell Publishing: Malden, MA, USA, 2005; pp. 141–157. [Google Scholar]
- Kuemmerlen, M.; Reichert, P.; Siber, R.; Schuwirth, N. Ecological assessment of river networks: From reach to catchment scale. Sci. Total Environ. 2019, 650, 1613–1627. [Google Scholar] [CrossRef] [PubMed]
- Kim, A.R.; Kim, D.U.; Lim, B.S.; Seol, J.W.; Lee, C.S. An evaluation on restoration effect in the restored Yangjae stream and the improvement plan based on the result. Korean J. Ecol. Environ. 2020, 53, 390–407. [Google Scholar] [CrossRef]
- Lee, C.S.; Cho, Y.C.; Shin, H.C.; Moon, J.S.; Lee, B.C.; Bae, Y.S.; Byun, H.G.; Yi, H. Ecological response of streams in Korea under different management regimes. Water Eng. Res. 2005, 6, 131–147. [Google Scholar]
- An, J.H.; Lim, C.H.; Lim, Y.K.; Nam, K.B.; Lee, C.S. A review of restoration project evaluation and post management for ecological restoration of the river. J. Restor. Ecol. 2014, 4, 15–34. [Google Scholar]
- Jung, S.H.; Kim, A.R.; Seol, J.W.; Lim, B.S.; Lee, C.S. Characteristics and reference information of riparian vegetation for realizing ecological restoration classified by reach of the river in Korea. J. Korean Soc. Water Environ. 2018, 34, 447–461. [Google Scholar]
- Lee, C.S.; Jeong, Y.M.; Kang, H.S. Concept, direction, and task of ecological restoration. J. Restor. Ecol. 2011, 2, 59–71. [Google Scholar]
- Reif, D.M.; Martin, M.T.; Tan, S.W.; Houck, K.A.; Judson, R.S.; Richard, A.M.; Knudsen, T.B.; Dix, D.J.; Kavlock, R.J. Endocrine profiling and prioritization of environmental chemicals using ToxCast data. Env. Health Perspect. 2010, 118, 1714–1720. [Google Scholar]
- Lee, C.S. Role and task of restoration ecology in changing environment. Proc. Natl. Acad. Sci. USA 2015, 2015, 481–527. [Google Scholar]
- Korea Forest Service. Study on the Cause of Forest Damage and Restoration Plan in Seokpo; Korea Forest Service: Daejeon, Korea, 2019; p. 357.
- Jury, M.R. Meteorology of air pollution in Los Angeles. Atmos. Pollut. Res. 2020, 11, 1226–1237. [Google Scholar] [CrossRef]
- Bonan, G. Ecological Climatology: Concepts and Applications, 1st ed.; Cambridge University Press: Cambridge, UK, 2002; p. 678. [Google Scholar]
- Korea Metrological Administration. Climatological Normals 1981–2010. Available online: https://www.weather.go.kr/weather/climate/average_30years.jsp?yy_st=2011&stn=271&norm=Y&x=9&y=18&obs=TA (accessed on 10 April 2021).
- Korea Forest Service. Forest Soil Map. Available online: https://www.forest.go.kr/newkfsweb/html/HtmlPage.do?pg=/fgis/UI_KFS_5002_020200.html&mn=KFS_02_04_03_04_02&orgId=fgis (accessed on 10 April 2021).
- National Institute of Ecology. National Ecosystem Survey. Available online: https://www.nie-ecobank.kr/spceinfo/main.do (accessed on 14 February 2019).
- Küchler, A.W.; Zonneveld, I.S. Vegetation Mapping; Kluwer Academic Publishers: Boston, MA, USA, 1988. [Google Scholar]
- ESRI. Arcview GIS; Environmental System Research Institute: Redlands, CA, USA, 2005. [Google Scholar]
- ESRI. Image Classification Using the ArcGIS Spatial Analyst Extension, 10.3; ESRI: Redlands, CA, USA, 2014. [Google Scholar]
- Richards, J.A. Remote Sensing Digital Image Analysis; Springer: Berlin, Germany, 1999; Volume 3, pp. 10–38. [Google Scholar]
- Haque, M.I.; Basak, R. Land cover change detection using GIS and remote sensing techniques: A spatio-temporal study on Tanguar Haor, Sunamganj, Bangladesh. Egypt. J. Remote Sens. Space Sci. 2017, 20, 251–263. [Google Scholar] [CrossRef]
- Gordon, A.G.; Gorham, E. Ecological aspects of air pollution from an iron-sintering plant at Wawa, Ontario. Can. J. Bot. 1963, 41, 1063–1078. [Google Scholar] [CrossRef]
- Ellenberg, D.; Mueller-Dombois, D. Aims and Methods of Vegetation Ecology; Wiley: New York, NY, USA, 1974. [Google Scholar]
- Jackson, M.L. Soil Chemical Analysis; Prentice-Hall: New Delhi, India, 1967; p. 498. [Google Scholar]
- Allen, S.E.; Grimshaw, H.M.; Rowland, A.P. Chemical analysis. In Methods in Plant Ecology; Moore, P.D., Chapman, S.B., Eds.; Blackwell: Oxford, UK, 1986. [Google Scholar]
- SAS Institute. PROC User’s Manual, 6th ed.; SAS Institute: Cary, NA, USA, 2001; p. 956. [Google Scholar]
- Jeong, J.H.; Koo, K.S.; Lee, C.H.; Kim, C.S. Physic-chemical properties of Korean forest soils by regions. J. Korean Soc. 2002, 91, 694–700. (In Korean) [Google Scholar]
- Rietkerk, M.; van den Bosch, F.; van de Koppel, J. Site-specific properties and irreversible vegetation changes in semi-arid grazing systems. Oikos 1997, 80, 241–252. [Google Scholar] [CrossRef]
- National Institute of Ecology. Ecology and Nature Map. Available online: https://www.nie-ecobank.kr/ (accessed on 10 April 2021).
- Kim, H.Y.; Cho, H.J. Vegetation composition and structure of Sogwang-ri forest genetic resources reserve in Uljin-gun, Korea. Korean J. Environ. Ecol. 2017, 31, 188–201. [Google Scholar] [CrossRef]
- Lorenz, M.; Clarke, N.; Paoletti, E.; Bytnerowicz, A.; Grulke, N.; Lukina, N.; Sase, H.; Staelens, J. Air Pollution Impacts on Forests in a Changing Climate; Forest and Society—Responding to Global Drivers of Change, IUFRO World Series; International Union of Forest Research Organizations: Vienna, Austria, 2010; Volume 25, pp. 55–74. [Google Scholar]
- Smith, W.H. Air Pollution and Forests: Interactions between Air Contaminants and Forest Ecosystems; Springer Science & Business Media: Berlin, Germany, 1990. [Google Scholar]
- Freedman, B. Environmental Ecology: The Ecological Effects of Pollution, Disturbance, and Other Stresses, 2nd ed.; Academic Press: San Diego, CA, USA, 1995. [Google Scholar]
- Longhurst, J.W.S.; Owen, P.S.; Conlan, D.E.; Watson, A.F.R.; Raper, D.W. Atmospheric pollution: Components, mechanisms, control and remediation. In Clean Technology and the Environment; Kirkwood, R.C., Longley, A.J., Eds.; Springer: Dordrecht, The Netherlands, 1995. [Google Scholar]
- Zawar-Reza, P.; Spronken-Smith, R. Air pollution climatology. In Encyclopedia of World Climatology. Encyclopedia of Earth Sciences Series; Oliver, J.E., Ed.; Springer: Dordrecht, The Netherlands, 2005. [Google Scholar]
- Akimoto, H.; Luangjame, J.; Hara, H.; Gromov, S.; Khummongkol, P.; Carandang, W. The second periodic report on the state of acid deposition in East Asia. In Part I. Regional Assessment; Acid Deposition Monitoring Network in East Asia: Bangkok, Thailand, 2011; p. 270. [Google Scholar]
- Rau, H. Das Papsttum: Seine Entstehung, Seine Blüthe und Sein Verfall; G. Stöckhardt: Stuttgart, Germany, 1871. (In German) [Google Scholar]
- Saliba, N.A.; Mochida, M.; Finlayson-Pitts, B.J. Laboratory studies of sources of HONO in polluted urban atmospheres. Geophys. Res. Lett. 2000, 27, 3229–3232. [Google Scholar] [CrossRef]
- Ramadan, A.E.K. Acid deposition phenomena. TESCE 2004, 30, 1369–1389. [Google Scholar]
- Wuana, R.A.; Okieimen, F.E. Heavy metals in contaminated soils: A review of sources, chemistry, risks and best available strategies for remediation. Int. Sch. Res. Netw. Isrn Ecol. 2011, 2011, 402647. [Google Scholar] [CrossRef]
- Masindi, V.; Muedi, K.L. Environmental contamination by heavy metals. Heavy Met. 2018, 115–133. [Google Scholar] [CrossRef]
- Hervás, J. Lessons Learnt from Landslide Disasters in Europe; European Communities: Luxembourg, 2003; p. 91. [Google Scholar]
- Gupta, A.K.; Nair, S.S. Ecosystem Approach to Disaster Risk Reduction; National Institute of Disaster Management: New Delhi, India, 2012; p. 202. [Google Scholar]
- Ryu, S.R.; Choi, H.T.; Lim, J.H.; Lee, I.K.; Ahn, Y.S. Post-fire restoration plan for sustainable forest management in South Korea. Forests 2017, 8, 188. [Google Scholar] [CrossRef]
- Briffa, J.; Sinagra, E.; Blundell, R. Heavy metal pollution in the environment and their toxicological effects on humans. Heliyon 2020, 6, e04691. [Google Scholar] [CrossRef] [PubMed]
- Lee, C.S.; Kim, J.Y.; You, Y.H. Amelioration of soil acidified by air pollutant around the industrial complexes. Korean J. Ecol. 1998, 21, 313–320. [Google Scholar]
- Edmeades, D.C.; Ridley, A.M. Using lime to ameliorate topsoil and subsoil acidity. In Handbook of Soil Acidity; Rengel, Z., Ed.; Marcel Dekker: New York, NY, USA, 2003; pp. 297–336. [Google Scholar]
- Kaupenjohann, M.; Hantschel, R.; Zech, W.; Horn, R. Ergebnisse von Düngungsversuchen mit Magnesium and vermutlich immissionsgeschädigten Fichten [Picea abies (L.) Karst.] im Fichtelgebirge. Forstwiss Cent. 1987, 106, 78–84. (In German) [Google Scholar] [CrossRef]
- Kreutzer, K. Effects of forest liming on soil processes. In Nutrient Uptake and Cycling in Forest Ecosystems; Springer: Dordrecht, The Netherlands, 1995; pp. 447–470. [Google Scholar]
- Matzner, E.; Meiwes, K.J. Effects of liming and fertilization on soil solution chemistry in North German forest ecosystems. Water Air Soil Pollut. 1991, 54, 377–389. [Google Scholar]
- Borgegard, S.S.; Rydin, H. Utilization of waste products and inorganic fertilizer in the restoration of iron mine tailings. J. Appl. Ecol. 1989, 26, 1083–1088. [Google Scholar] [CrossRef]
- Blamey, E.P.C.; Edwards, D.G. Limitations to food crop production in tropical acid soils. In Nutrient Management for Food Crop Production in Tropical Farming Systems; van der Heide, J., Ed.; Institute for Soil Fertility: Haren, The Netherlands, 1989; pp. 73–94. [Google Scholar]
- Yang, Z.B.; Rao, I.M.; Horst, W.J. Interaction of aluminum and drought stress on root growth and crop yield on acid soils. Plant Soil 2013, 372, 3–25. [Google Scholar] [CrossRef]
- Awad, K.M.; Salih, A.M.; Khalaf, Y.; Suhim, A.A.; Abass, M.H. Phytotoxic and genotoxic effect of Aluminum to date palm (Phoenix dactylifera L.) in vitro cultures. J. Genet. Eng. Biotechnol. 2019, 17, 7. [Google Scholar] [CrossRef]
- Kochain, L.V. Cellular mechanisms of aluminum toxicity and resistance in plants. Annu. Rev. Plant Physiol. Plant Mol. Biol. 1995, 46, 237–260. [Google Scholar] [CrossRef]
- Rahman, M.A.; Lee, S.H.; Ji, H.C.; Kabir, A.H.; Jones, C.S.; Lee, K.W. Importance of mineral nutrition for mitigating aluminum toxicity in plants on acidic soils: Current status and opportunities. Int. J. Mol. Sci. 2018, 19, 3073. [Google Scholar] [CrossRef]
- Sumner, M.E.; Fey, M.V.; Noble, A.D. Nutrient status and toxicity problems in acid soils. In Soil Acidity; Ulrich, B., Sumner, M.E., Eds.; Springer: Berlin, Germany, 1991; pp. 149–182. [Google Scholar]
- Song, Z.; Wan, F.; Chang, X.; Zhang, J.; Sun, M.; Liu, Y. Effects of nutrient deficiency on root morphology and nutrient allocation in Pistacia chinensis bunge seedlings. Forests 2019, 10, 1035. [Google Scholar] [CrossRef]
- Hoyt, P.B.; Turner, R.C. Effects of organic materials added to very acid soils on pH, aluminum, exchangeable NH4, and crop yields. Soil Sci. 1975, 119, 227–237. [Google Scholar] [CrossRef]
- Asghar, M.; Kanehiro, Y. Effects of sugar-cane trash and pineapple residue on soil pH, redox potential, extractable Al, Fe and Mn. Trop. Agric. 1980, 57, 245–258. [Google Scholar]
- Ahmad, F.; Tan, K.H. Effect of lime and organic matter on soybean seedlings grown in aluminum-toxic soil. Soil Sci. Soc. Am. J. 1986, 50, 656–661. [Google Scholar] [CrossRef]
- Bessho, T.; Bell, L.C. Soil solid and solution phase changes and mung bean response during amelioration of aluminium toxicity with organic matter. Plant Soil 1992, 140, 183–196. [Google Scholar] [CrossRef]
- Wong, M.T.F.; Swift, R.S. Role of organic matter in alleviating soil acidity. In Handbook of Soil Acidity; Rengel, Z., Ed.; Marcel Dekker: New York, NY, USA, 2003; pp. 337–358. [Google Scholar]
- Hue, N.V.; Amien, I. Aluminum detoxification with green manures. Commun. Soil Sci. Plant Anal. 1989, 20, 1499–1511. [Google Scholar] [CrossRef]
- Alter, D.; Mitchell, A. Use of vermicompost extract as an aluminium inhibitor in aqueous solutions. Commun. Soil Sci. Plant Anal. 1992, 23, 231–240. [Google Scholar] [CrossRef]
- Hue, N.V. Correcting soil acidity of a highly weathered Ultisol with chicken manure and sewage sludge. Commun. Soil Sci. Plant Anal. 1992, 23, 241–264. [Google Scholar] [CrossRef]
- Rowley, M.C.; Grand, S.; Verrecchia, É.P. Calcium-mediated stabilisation of soil organic carbon. Biogeochemistry 2018, 137, 27–49. [Google Scholar] [CrossRef]
- Wei, H.; Liu, Y.; Xiang, H.; Zhang, J.; Li, S.; Yang, J. Soil pH responses to simulated acid rain leaching in three agricultural soils. Sustainability 2020, 12, 280. [Google Scholar] [CrossRef]
- de la Fuente, J.M.; Verenice, R.R.; Jose Luis, C.P.; Luis, H.E. Aluminum tolerance in transgenic plants by alteration of citrate synthesis. Science 1997, 276, 1566–1568. [Google Scholar] [CrossRef] [PubMed]
- Singh, R.P.; Singh, P.; Ibrahim, M.H.; Hashim, R. Land application of sewage sludge: Physic-chemical and microbial response. Rev. Environ. Contam. Toxicol. 2011, 214, 41–61. [Google Scholar] [CrossRef]









| Species Name | Site Type | Stat | p-Value |
|---|---|---|---|
| Betula schmidtii | Cut slope | 0.675 | 0.001 *** |
| Calamagrostis arundinacea | Cut slope | 0.787 | 0.001 *** |
| Lindera obtusiloba | Moderate | 0.802 | 0.001*** |
| Tripterygium regelii | Moderate | 0.436 | 0.009 ** |
| Rhododendron schlippenbachii | Light | 0.463 | 0.006 ** |
| Actinidia arguta | Valley | 0.525 | 0.002 ** |
| Aralia elata | Valley | 0.482 | 0.012 * |
| Deutzia parviflora | Valley | 0.502 | 0.002 ** |
| Fraxinus rhynchophylla | Valley | 0.414 | 0.026 * |
| Schisandra chinensis | Valley | 0.396 | 0.037 * |
| Athyrium yokoscense | Very severe | 0.904 | 0.001 *** |
| Miscanthus sinensis var. purpurascens | Severe | 0.952 | 0.001 *** |
| Betula chinensis | Reference(Pd) | 0.496 | 0.004 ** |
| Disporum smilacinum | Reference(Pd) | 0.585 | 0.001 *** |
| Fraxinus sieboldiana | Reference(Pd) | 0.677 | 0.001 *** |
| Aster scaber | Reference(Qm) | 0.513 | 0.007 ** |
| Athyrium vidalii | Reference(Qm) | 0.449 | 0.005 ** |
| Callicarpa japonica | Reference(Qm) | 0.470 | 0.005 ** |
| Carex siderosticta | Reference(Qm) | 0.440 | 0.007 ** |
| Hydrangea serrata f. acuminata | Reference(Qm) | 0.425 | 0.016 * |
| Potentilla freyniana | Reference(Qm) | 0.564 | 0.002 ** |
| Styrax obassis | Reference(Qm) | 0.417 | 0.030 * |
| Carex humilis var. nana | Reference(VA) | 0.441 | 0.006 ** |
| Cornus controversa | Reference(VA) | 0.874 | 0.001 *** |
| Juglans mandshurica | Reference(VA) | 0.402 | 0.050 * |
| Species Name | Site Type | Stat | p-Value |
|---|---|---|---|
| Athyrium yokoscense | Polluted | 0.315 | 0.039 * |
| Lindera obtusiloba | Polluted | 0.447 | 0.004 ** |
| Miscanthus sinensis var. purpurascens | Polluted | 0.333 | 0.040 * |
| Quercus mongolica | Polluted | 0.446 | 0.011 * |
| Rhododendron schlippenbachii | Polluted | 0.461 | 0.024 * |
| Atractylodes ovata | Reference | 0.418 | 0.033 * |
| Betula chinensis | Reference | 0.391 | 0.034 * |
| Carex humilis var. nana | Reference | 0.704 | 0.001 *** |
| Dendranthema zawadskii var. latilobum | Reference | 0.419 | 0.031 * |
| Disporum smilacinum | Reference | 0.568 | 0.001 *** |
| Fraxinus sieboldiana | Reference | 0.533 | 0.002 *** |
| Lespedeza bicolor | Reference | 0.886 | 0.001 *** |
| Rhododendron micranthum | Reference | 0.634 | 0.001 *** |
| Rhododendron mucronulatum | Reference | 0.422 | 0.031 * |
| Species Name | Site Type | Stat | p-Value |
|---|---|---|---|
| Athyrium yokoscense | Polluted | 0.310 | 0.034 * |
| Fraxinus sieboldiana | Polluted | 0.419 | 0.008 ** |
| Lindera obtusiloba | Polluted | 0.514 | 0.001 *** |
| Rhododendron schlippenbachii | Polluted | 0.498 | 0.004 ** |
| Acer pseudosieboldianum | Reference | 0.397 | 0.006 ** |
| Ainsliaea acerifolia | Reference | 0.543 | 0.001 *** |
| Artemisia keiskeana | Reference | 0.449 | 0.002 ** |
| Aster scaber | Reference | 0.407 | 0.018 * |
| Athyrium vidalii | Reference | 0.351 | 0.015 * |
| Atractylodes ovata | Reference | 0.448 | 0.001 *** |
| Betula schmidtii | Reference | 0.380 | 0.012 * |
| Callicarpa japonica | Reference | 0.419 | 0.015 * |
| Carex humilis var. nana | Reference | 0.419 | 0.016 * |
| Carex siderosticta | Reference | 0.341 | 0.002 ** |
| Hydrangea serrata f. acuminata | Reference | 0.360 | 0.015 * |
| Lespedeza bicolor | Reference | 0.306 | 0.027 * |
| Polystichum tripteron | Reference | 0.391 | 0.017 * |
| Potentilla freyniana | Reference | 0.645 | 0.001 *** |
| Rubus crataegifolius | Reference | 0.419 | 0.015 * |
| Species Name | Site Type | Stat | p-Value |
|---|---|---|---|
| Actinidia arguta | Polluted | 0.423 | 0.028 * |
| Athyrium yokoscense | Polluted | 0.548 | 0.019 * |
| Lindera obtusiloba | Polluted | 0.655 | 0.001 *** |
| Miscanthus sinensis var. purpurascens | Polluted | 0.554 | 0.028 * |
| Quercus mongolica | Polluted | 0.432 | 0.038 * |
| Cornus controversa | Reference | 0.759 | 0.001 *** |
| Rhododendron mucronulatum | Reference | 0.496 | 0.048 * |
| Damaged Degree | Vegetation Status | Soil pH | Restoration Method |
|---|---|---|---|
| Very severe | Grassland with low coverage or bare ground | 4.4 | Soil amelioration: dolomite 4.5 ton/ha + organic fertilizer 2.3 ton/ha Introduction of plants forming all layers of vegetation |
| Severe | Canopy layer disappeared and shrub and herb layers are poor | 4.6 | Soil amelioration: dolomite 3.0 ton/ha + organic fertilizer 1.5 ton/ha Introduction of plants forming canopy tree, shrub, and herb layers |
| Moderate | All vegetation strata exist but coverage is poor | 5.1 | Soil amelioration: dolomite 1.5 ton/ha + organic fertilizer 0.8 ton/ha Introduction of plants forming shrub and herb layers |
| Light | Development of undergrowth is poor | 5.0 | Soil amelioration: dolomite 1.0 ton/ha + organic fertilizer 0.5 ton/ha Vegetation restoration is left to passive restoration |
| Vegetation Stratum | Ridge | Slope | Valley |
|---|---|---|---|
| Canopy tree layer | Betula schmidtii Betula chinensis * Pinus densiflora Quercus variabilis etc. | Betula davurica * Betula schmidtii * Quercus aliena * Quercus mongolica Quercus variabilis etc. | Acer pictum subsp. Mono * Cornus controversa * Fraxinus rhynchophylla Juglans mandshurica Quercus mongolica ** etc. |
| Understory tree layer | Lindera obtusiloba ** | Acer pseudosieboldianum * Fraxinus rhynchophylla * Lindera obtusiloba ** etc. | Lindera obtusiloba ** Magnolia sieboldii * etc. |
| Shrub layer | Fraxinus sieboldiana * Lespedeza bicolor * Lespedeza cyrtobotrya ** Rhododendron micranthum ** Rhododendron mucronulatum * Rhododendron schlippenbachii ** Toxicodendron trichocarpum ** Vaccinium hirtum var. koreanum ** Weigela florida * etc. | Callicarpa japonica * Clerodendrum trichotomum * Fraxinus sieboldiana ** Lespedeza bicolor * Lespedeza maximowiczii * Lindera glauca * Rhododendron mucronulatum ** Rhododendron schlippenbachii ** Rubus crataegifolius * Toxicodendron trichocarpum ** Symplocos sawafutagi * Vaccinium hirtum var. koreanum ** etc. | Alangium platanifolium var. trilobum * Cimicifuga simplex Corylus heterophylla Rhododendron mucronulatum ** Styrax obassia * Weigela subsessilis * etc. |
| Herb layer | Arundinella hirta *** Athyrium yokoscense ** Carex humilis var. nana * Carex siderosticta * Dendranthema zawadskii var. latilobum * Disporum smilacinum * Melampyrum roseum * Miscanthus sinensis var. purpurascens *** Pteridium aquilinum var. latiusculum * Spodiopogon sibiricus ** etc. | Ainsliaea acerifolia * Artemisia keiskeana * Aster scaber * Athyrium vidalii * Athyrium yokoscense ** Atractylodes ovata * Calamagrostis arundinacea *** Carex humilis var. nana * Carex siderosticta * Disporum smilacinum * Hydrangea serrata f. acuminata Polystichum tripteron * Potentilla freyniana * etc. | Actinidia arguta * Angelica decursiva Athyrium yokoscense ** Carex humilis var. nana * Cimicifuga dahurica * Corydalis speciose * Dryopteris crassirhizoma Isodon excisus * Miscanthus sinensis var. purpurascens ** Persicaria filiformis Polystichum tripteron Scutellaria dependens * etc. |
Publisher’s Note: MDPI stays neutral with regard to jurisdictional claims in published maps and institutional affiliations. |
© 2021 by the authors. Licensee MDPI, Basel, Switzerland. This article is an open access article distributed under the terms and conditions of the Creative Commons Attribution (CC BY) license (https://creativecommons.org/licenses/by/4.0/).
Share and Cite
Kim, A.R.; Lim, B.S.; Seol, J.; Lim, C.H.; You, Y.H.; Lee, W.S.; Lee, C.S. Diagnostic Assessment and Restoration Plan for Damaged Forest around the Seokpo Zinc Smelter, Central Eastern Korea. Forests 2021, 12, 663. https://doi.org/10.3390/f12060663
Kim AR, Lim BS, Seol J, Lim CH, You YH, Lee WS, Lee CS. Diagnostic Assessment and Restoration Plan for Damaged Forest around the Seokpo Zinc Smelter, Central Eastern Korea. Forests. 2021; 12(6):663. https://doi.org/10.3390/f12060663
Chicago/Turabian StyleKim, A Reum, Bong Soon Lim, Jaewon Seol, Chi Hong Lim, Young Han You, Wan Sup Lee, and Chang Seok Lee. 2021. "Diagnostic Assessment and Restoration Plan for Damaged Forest around the Seokpo Zinc Smelter, Central Eastern Korea" Forests 12, no. 6: 663. https://doi.org/10.3390/f12060663
APA StyleKim, A. R., Lim, B. S., Seol, J., Lim, C. H., You, Y. H., Lee, W. S., & Lee, C. S. (2021). Diagnostic Assessment and Restoration Plan for Damaged Forest around the Seokpo Zinc Smelter, Central Eastern Korea. Forests, 12(6), 663. https://doi.org/10.3390/f12060663

