The Effect of Informal Tourist Trails on the Abiotic Conditions and Floristic Composition of Deciduous Forest Undergrowth in an Urban Area
Abstract
1. Introduction
- Selected abiotic conditions (light intensity on the forest floor, soil moisture, pH, and chemical properties).
- Plant cover features (number of species, total plant cover, the height of the tallest plants, and plantcover damaged by trampling).
- Cover-abundance of species representing different life forms, dispersal modes, habitat affiliations, and origin.
2. Materials and Methods
2.1. The Study Area
2.2. The Plot Sampling Design
2.3. The Measurement of Abiotic Traits within the Plots
2.4. The Measurement of Plant Cover Traits within the Plots
- “+”—species covers less than 1% of the plot area.
- “1”—species covers 1%–5% of the plot area.
- “2”—species covers 6%–25% of the plot area.
- “3”—species covers 26%–50% of the plot area.
- “4”—species covers 51%–75% of the plot area.
- “5”—species covers 76%–100% of the plot area.
2.5. The Selection of Ecological Traits of the Species
2.6. The Data Analysis
- (i)
- at a different distance from tourist trails,
- (ii)
- along informal and formal tourist trails, and
- (iii)
- in forest interior and forest edge sites.
- (i)
- at a different distance from tourist trails,
- (ii)
- along informal and formal tourist trails, and
- (iii)
- in forest interior and forest edge sites.
3. Results
3.1. The Characteristics of Light Intensity and Soil Conditions
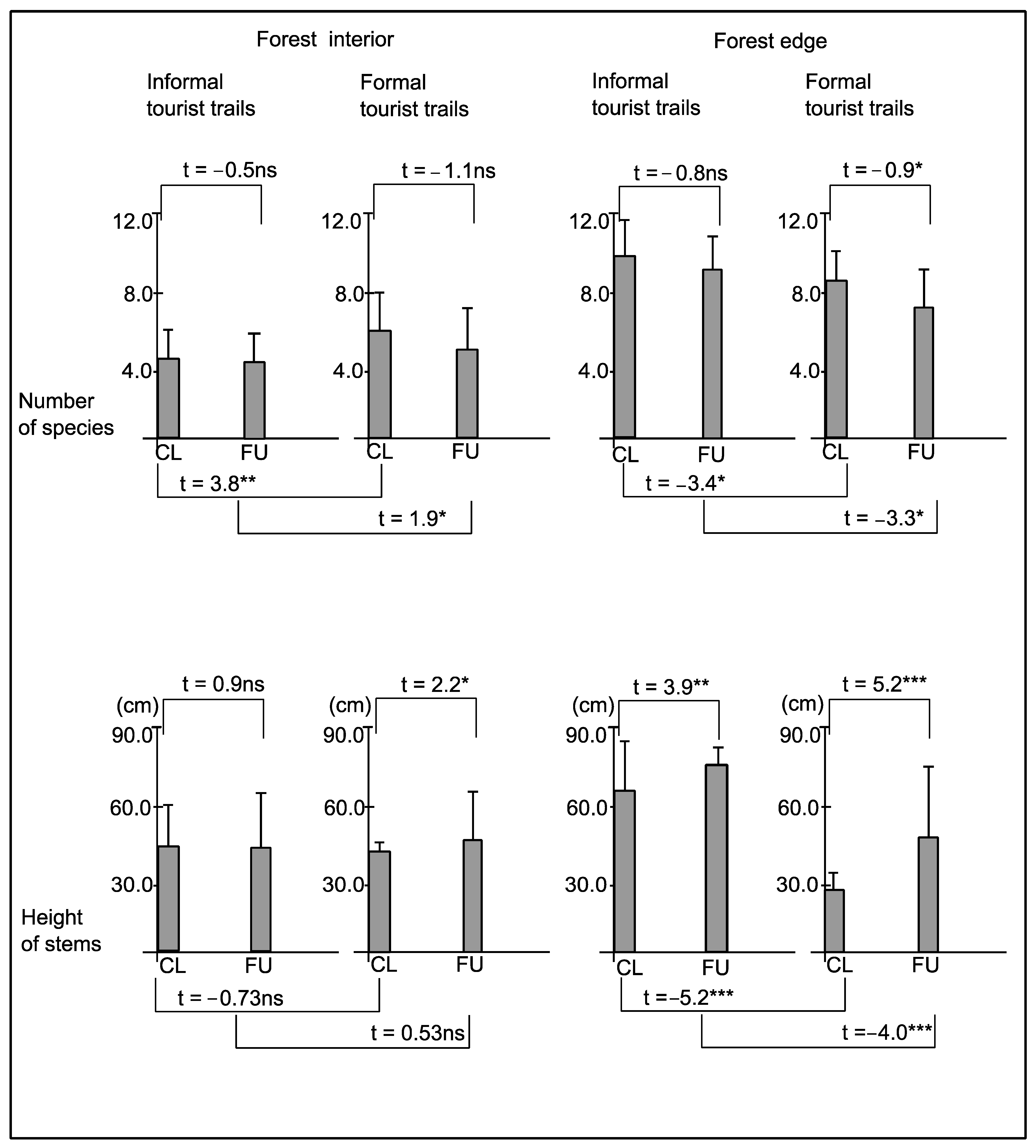
3.2. The Characteristics of Plant Cover Traits
3.3. The Characteristics of Species Groups
4. Discussion
4.1. The Effect of Informal Tourist Trails on Light Intensity and Soil Conditions
4.2. The Effect of Informal Tourist Trails on Plant Cover Traits
4.3. The Effect of Informal Tourist Trails on Species Groups
5. Conclusions
Author Contributions
Funding
Institutional Review Board Statement
Informed Consent Statement
Data Availability Statement
Acknowledgments
Conflicts of Interest
Appendix A
| No | Taxon | Habitat | Life Form | Dispersal Type | Origin and Invasive Status |
|---|---|---|---|---|---|
| 1 | Acer platanoides L. | F | PH | Epilobium | N |
| 2 | Acer pseudoplatanus L. | F | PH | Epilobium | N |
| 3 | Achillea millefolium L. | M | H | Allium | N |
| 4 | Aegopodium podagraria L. | F | H | Allium | N |
| 5 | Agrimonia eupatoria L. | G | H | Bidens | N |
| 6 | Agrostis capillaris L. | G | H | Allium | N |
| 7 | Ajuga reptans L. | F | H | Allium | N |
| 8 | Alliaria petiolata (M. Bieb.) Cavara & Grande | R | H | Allium | N |
| 9 | Alopecurus pratensis L. | M | H | Allium | N |
| 10 | Anemone nemorosa L. | F | G | Allium | N |
| 11 | Anthriscus nitida (Wahlenb.) Hazsl. | M | H | Allium | N |
| 12 | Arctium lappa L. | R | H | Bidens | N |
| 13 | Armoracia rusticana P. Gaertn., B. Mey & Scherb. | R | H | Zea | A |
| 14 | Arrhenatherum elatius (L.) P. Beauv. ex J. Presl & C. Presl | M | H | Allium | N |
| 15 | Artemisia vulgaris L. | R | H | Allium | N |
| 16 | Athyrium filix-femina (L.) Roth | F | H | Lycopodium | N |
| 17 | Bellis perennis L. | M | H | Allium | N |
| 18 | Bromus hordeaceus L. | M | T | Allium | N |
| 19 | Calystegia sepium (L.) R. Br. | R | G | Allium | N |
| 20 | Capsella bursa-pastoris (L.) Medik. | R | T | Allium | A |
| 21 | Carex brizoides L. | F | H | Allium | N |
| 22 | Carex hirta L. | M | H | Allium | N |
| 23 | Carex leporina L. | M | H | Allium | N |
| 24 | Carex pallescens L. | M | H | Allium | N |
| 25 | Carex pilulifera L. | G | H | Allium | N |
| 26 | Carex sylvatica Huds. | F | H | Allium | N |
| 27 | Carpinus betulus L. | F | PH | Epilobium | N |
| 28 | Cerastium holosteoides Fr. emend. Hyl. | M | H | Allium | N |
| 29 | Cerasus avium (L.) Moench | F | PH | Cornus | N |
| 30 | Chaerophyllum aromaticum L. | R | H | Allium | N |
| 31 | Chaerophyllum temulum L. | R | H | Allium | N |
| 32 | Circaea lutetiana L. | F | G | Bidens | N |
| 33 | Cirsium arvense (L.) Scop. | R | G | Epilobium | N |
| 34 | Clinopodium vulgare L. | G | H | Allium | N |
| 35 | Convallaria majalis L. | F | G | Cornus | N |
| 36 | Convolvulus arvensis L. | R | G | Allium | N |
| 37 | Corylus avellana L. | F | PH | Cornus | N |
| 38 | Crepis biennis L. | M | H | Epilobium | N |
| 39 | Crepis capillaris (L.) Wallr. | M | T | Epilobium | N |
| 40 | Dactylis glomerata L. | M | H | Allium | N |
| 41 | Daucus carota L. | M | H | Bidens | N |
| 42 | Dryopteris expansa (C. Presl) Fraser-Jenk. & Jermy | F | H | Lycopodium | N |
| 43 | Dryopteris filix-mas (L.) Schott | F | H | Lycopodium | N |
| 44 | Dryopteris carthusiana (Vill.) H. P. Fuchs | F | H | Lycopodium | N |
| 45 | Elymus repens (L.) Gould | R | G | Allium | N |
| 46 | Epilobium montanum L. | R | H | Epilobium | N |
| 47 | Epilobium sp. | - | - | - | - |
| 48 | Equisetum arvense L. | R | G | Lycopodium | N |
| 49 | Equisetum pratense Ehrh. | F | G | Lycopodium | N |
| 50 | Erigeron annuus (L.) Pers. | R | T | Epilobium | A, I |
| 51 | Erigeron canadensis L. | R | T | Epilobium | A, I |
| 52 | Euonymus europaea L. | G | PH | Cornus | N |
| 53 | Fagus sylvatica L. | F | PH | Cornus | N |
| 54 | Festuca arundinacea Schreb. | M | H | Allium | N |
| 55 | Festuca gigantea (L.) Vill. | F | H | Allium | N |
| 56 | Festuca pratensis Huds. | M | H | Allium | N |
| 57 | Festuca rubra L. | M | H | Allium | N |
| 58 | Ficaria verna Huds. | F | G | Allium | N |
| 59 | Fragaria vesca L. | R | H | Cornus | N |
| 60 | Fraxinus excelsior L. | F | PH | Epilobium | N |
| 61 | Galeobdolon luteum Huds. | F | CH | Allium | N |
| 62 | Galeopsis tetrahit L. | R | T | Allium | N |
| 63 | Galium aparine L. | R | T | Bidens | N |
| 64 | Galium mollugo L. | M | H | Allium | N |
| 65 | Geranium pratense L. | M | H | Allium | N |
| 66 | Geranium robertianum L. | R | T | Allium | N |
| 67 | Geum urbanum L. | R | H | Bidens | N |
| 68 | Glechoma hederacea L. | R | H | Allium | N |
| 69 | Gnaphalium sylvaticum L. | R | H | Epilobium | N |
| 70 | Hedera helix L. | F | L | Cornus | N |
| 71 | Heracleum sphondylium L. | M | H | Allium | N |
| 72 | Holcus lanatus L. | M | H | Allium | N |
| 73 | Holcus mollis L. | F | G | Allium | N |
| 74 | Hypericum humifusum L. | R | H | Allium | N |
| 75 | Hypericum perforatum L. | R | H | Allium | N |
| 76 | Hypochaeris radicata L. | G | H | Epilobium | N |
| 77 | Impatiens parviflora DC. | R | T | Allium | A, I |
| 78 | Juncus effusus L. | M | H | Sparganium | N |
| 79 | Juncus tenuis Willd. | M | H | Allium | A, I |
| 80 | Lapsana communis L. | R | T | Allium | N |
| 81 | Leontodon autumnalis L. | M | H | Epilobium | N |
| 82 | Leontodon hispidus L. | M | H | Epilobium | N |
| 83 | Lolium multiflorum Lam. | - | T | Allium | A, I |
| 84 | Lolium perenne L. | M | H | Allium | N |
| 85 | Luzula pilosa (L.) Willd. | F | H | Allium | N |
| 86 | Lycopus europaeus L. | F | H | Sparganium | N |
| 87 | Lysimachia nummularia L. | M | H | Allium | N |
| 88 | Lysimachia vulgaris L. | M | H | Allium | N |
| 89 | Maianthemum bifolium (L.) F. W. Schmidt | F | G | Cornus | N |
| 90 | Malus domestica Borkh. | - | PH | Cornus | A |
| 91 | Malva sylvestris L. | F | H | Allium | A |
| 92 | Mercurialis perennis L. | F | H | Allium | N |
| 93 | Milium effusum L. | F | H | Allium | N |
| 94 | Moehringia trinervia (L.) Clairv. | R | H | Allium | N |
| 95 | Mycelis muralis (L.) Dumort. | R | H | Epilobium | N |
| 96 | Myosoton aquaticum (L.) Moench | R | H | Allium | N |
| 97 | Oxalis acetosella L. | F | G | Allium | N |
| 98 | Oxalis fontana Bunge | R | T | Allium | A, I |
| 99 | Padus avium Mill. | F | PH | Cornus | N |
| 100 | Phleum pratense L. | M | H | Allium | N |
| 101 | Plantago lanceolata L. | M | H | Allium | N |
| 102 | Plantago major L. | M | H | Allium | N |
| 103 | Poa annua L. | M | H | Allium | N |
| 104 | Poa compressa L. | R | H | Allium | N |
| 105 | Poa palustris L. | M | H | Allium | N |
| 106 | Poa pratensis L. | M | H | Allium | N |
| 107 | Poa trivialis L. | M | H | Allium | N |
| 108 | Polygonatum multiflorum (L.) All. | F | G | Cornus | N |
| 109 | Polygonum aviculare L. | R | T | Allium | N |
| 110 | Polygonum mite Schrank | R | T | Sparganium | N |
| 111 | Populus tremula L. | R | PH | Epilobium | N |
| 112 | Potentilla anserina L. | G | H | Allium | N |
| 113 | Potentilla erecta (L.) Raeusch. | G | H | Allium | N |
| 114 | Potentilla reptans L. | M | H | Allium | N |
| 115 | Prunella vulgaris L. | M | H | Allium | N |
| 116 | Prunus spinosa L. | G | PH | Allium | N |
| 117 | Pteridium aquilinum (L.) Kuhn | F | G | Lycopodium | N |
| 118 | Pulmonaria obscura Dumort. | F | H | Allium | N |
| 119 | Quercus petraea (Matt.) Liebl. | F | PH | Cornus | N |
| 120 | Quercus rubra L. | F | PH | Cornus | A, I |
| 121 | Ranunculus acris L. | M | H | Allium | N |
| 122 | Ranunculus lanuginosus L. | F | H | Allium | N |
| 123 | Ranunculus repens L. | M | H | Allium | N |
| 124 | Ribes sp. | - | - | - | - |
| 125 | Ribes spicatum E. Robson | F | PH | Cornus | N |
| 126 | Ribes uva-crispa L. | - | PH | Cornus | N |
| 127 | Rubus idaeus L. | R | PH | Cornus | N |
| 128 | Rubus sp. | - | - | - | - |
| 129 | Rumex obtusifolius L. | R | H | Allium | N |
| 130 | Sagina procumbens L. | M | H | Allium | N |
| 131 | Sambucus nigra L. | R | PH | Cornus | N |
| 132 | Sanicula europaea L. | F | H | Bidens | N |
| 133 | Scrophularia nodosa L. | F | H | Allium | N |
| 134 | Solidago canadensis L. | R | H | Epilobium | A, I |
| 135 | Solidago gigantea Aiton | R | H | Epilobium | A, I |
| 136 | Stachys palustris L. | M | G | Allium | N |
| 137 | Stachys sylvatica L. | F | H | Allium | N |
| 138 | Stellaria graminea L. | M | H | Allium | N |
| 139 | Stellaria holostea L. | F | CH | Allium | N |
| 140 | Stellaria media (L.) Vill. | R | T | Allium | N |
| 141 | Symphytum officinale L. | R | H | Allium | N |
| 142 | Taraxacum officinale F. H. Wigg. | M | H | Epilobium | N |
| 143 | Tilia cordata Mill. | F | PH | Epilobium | N |
| 144 | Tilia platyphyllos Scop. | F | PH | Epilobium | N |
| 145 | Torilis japonica (Houtt.) DC. | R | T | Bidens | N |
| 146 | Trifolium pratense L. | M | H | Allium | N |
| 147 | Trifolium repens L. | M | H | Allium | N |
| 148 | Tussilago farfara L. | R | G | Epilobium | N |
| 149 | Urtica dioica L. | R | H | Allium | N |
| 150 | Veronica arvensis L. | R | T | Allium | A |
| 151 | Veronica chamaedrys L. | G | H | Allium | N |
| 152 | Veronica officinalis L. | G | CH | Allium | N |
| 153 | Veronica serpyllifolia L. | R | H | Allium | N |
| 154 | Viburnum opulus L. | F | PH | Cornus | N |
| 155 | Vicia cracca L. | M | H | Allium | N |
| 156 | Vicia sepium L. | G | H | Allium | N |
| 157 | Viola reichenbachiana Jord. ex Boreau | F | H | Allium | N |
| 158 | Viola riviniana Rchb. | F | H | Allium | N |
References
- Jalinik, M. Forest areas stimulating the development of tourism. Ekonomiai Środowisko 2016, 3, 313–323. [Google Scholar]
- Chudy, J.G. Urban forest management as an alternative to the development of local tourism in the context of social expectations. Studiai Materiały CEPL w Rogowie 2017, 50, 194–303. [Google Scholar]
- Janeczko, E.; Woźnicka, M. Development of urban forest recreation of Warsaw in the context of the needs and expectations of the residents of the capital. Studiai Materiały Centrum Edukacji Przyrodniczo-Leśnej 2009, 11, 131–139. [Google Scholar]
- Deng, J.; Gazal, K.A.; Pierskalla, C.; McNeel, J. Linking Urban Forests and Urban Tourism: A Case of Savannah, Georgia. Tour. Anal. 2010, 15, 167–181. [Google Scholar] [CrossRef]
- Wajchman, S. Urban forests and recreational development of the city of Poznan. Studiai Materiały CEPL W Rogowie 2013, 34, 119–126. [Google Scholar]
- Czubaszek, R.; Wysocka-Czubaszek, A.; Bartnik, I. Usefulness of urban and suburban forests in Białystok for recreation. Studia Miejskie 2014, 16, 87–99. [Google Scholar] [CrossRef]
- Vakhlamova, T.; Rusterholz, H.P.; Kamkin, V.; Baur, B. Recreational use of urban and suburban forests affects plant diversity in a Western Siberian city. Urban For. Urban Green 2016, 17, 92–103. [Google Scholar] [CrossRef]
- Cetin, M.; Sevik, H.; Canturk, U.; Cakir, C. Evaluation of the recreational potential of Kutahya urban forest. Fresenius Environ. Bull. 2018, 27, 2629–2634. [Google Scholar]
- Chen, B.; Qiu, Z. Recreational use of urban forest parks-A case study in Fuzhou National Forest Park, China. J. For. Res. 2018, 23, 183–189. [Google Scholar] [CrossRef]
- Zhao, Q.; Tang, H.H.; Gao, C.J.; Wei, Y.H. Evaluation of urban forest landscape health: A case study of the Nanguo Peach Garden, China. iForest-Biogeosci. For. 2020, 13, 175–184. [Google Scholar] [CrossRef]
- Fadila, L.; Mohamed, B.; Alessandro, P. Social Demand for Ecosystem Services Provided by Peri-Urban Forests: The Case Study of the Tlemcen Forest (Algeria). J. Environ. Account. Manag. 2021, 9, 19–29. [Google Scholar] [CrossRef]
- Referowska-Chodak, E. Pressures and threats to nature related to human activities in European urban and suburban Forests. Forests 2019, 10, 765. [Google Scholar] [CrossRef]
- Malmivaara, M.; Löfström, I.; Vanha-Majamaa, I. Anthropogenic effects on understorey vegetation in Myrtillus type urban forests in southern Finland. Silva Fenn. 2002, 36, 367–381. [Google Scholar] [CrossRef][Green Version]
- Hamberg, L.; Lehvävirta, S.; Minna, M.L.; Rita, H.; Kotze, D.J. The effects of habitat edges and trampling on understorey vegetation in urban forests in Helsinki, Finland. Appl. Veg. Sci. 2008, 11, 83–98. [Google Scholar] [CrossRef]
- Skłodowski, J.W.; Bartosz, S.; Dul, Ł.; Grzybek, D.; Jankowski, S.; Kajetanem, M.; Kalisz, P.; Korenkiewicz, U.; Mazur, G.; Myszek, J.; et al. An attempt to assess the effect of tourist trail width on adjacent forest environment. Sylwan 2009, 153, 699–709. [Google Scholar]
- Zdanowicz, E.; Skłodkowski, S. Evaluation of changes in environment around recreational routes on the example of Bielański Forest Reserve in Warsaw. Studiai Materiały CEPL W Rogowie 2013, 37, 348–355. [Google Scholar]
- Ballantyne, M.; Pickering, C.M. Differences in the impacts of formal and informal recreational trails on urban forest loss and tree structure. J. Environ. Manag. 2015, 159, 94–105. [Google Scholar] [CrossRef] [PubMed]
- Ballantyne, M.; Treby, D.L.; Quarmby, J.; Pickering, C.M. Comparing the impacts of different types of recreational trails on grey box grassy-woodland vegetation: Lessons for conservation and management. Aust. J. Bot. 2016, 64, 246–259. [Google Scholar] [CrossRef]
- Malmivaara-Lämsä, M.; Hamberg, L.; Haapamäki, E.; Liski, J.; Kotze, D.J.; Lehvävirta, S.; Frtize, H. Edge effects and trampling in boreal urban forest fragments–impacts on the soil microbial community. Soil Biol. Biochem. 2008, 40, 1612–1621. [Google Scholar] [CrossRef]
- Ballantyne, M.; Gudes, O.; Pickering, C.M. Recreational trails are an important cause of fragmentation in endangered urban forests: A case-study from Australia. Landsc. Urban Plan. 2014, 130, 112–124. [Google Scholar] [CrossRef]
- Ballantine, M.; Pickering, C.M. The impacts of trail infrastructure on vegetation and soils: Current literature and future directions. J. Environ. Manag. 2015, 164, 53–64. [Google Scholar] [CrossRef]
- Skotnicki, J. Las Wolski; Studio Promocji i Reklamy TARGET: Kraków, Poland, 2000; p. 112. [Google Scholar]
- Urząd, M.K.; Biuro, P.P.; Odział, P.P.; Pracownia, U. Miejscowy plan zagospodarowania przestrzennego “Las Wolski”. Prognoza oddziaływania na środowisko; Urząd Miasta Krakowa: Kraków, Poland, 2008; aktualizacja–kwiecień 2009. [Google Scholar]
- Banach, D.; Skrzypek, A. Problemy gospodarki leśnej w Lasku Wolskim. Przestrzeń–Urbanistyka–Architektura 2018, 2, 111–121. [Google Scholar]
- Matuszko, D.; Piotrowicz, K. Cechy klimatu miasta a klimat Krakowa. In Miasto w Badaniach Geografów; Trzepacz, P., Więcław-Michniewska, J., Brzosko-Sermak, A., Kołoś, A., Eds.; Instytut Geografii i Gospodarki Przestrzennej Uniwersytetu Jagiellońskiego: Kraków, Poland, 2015; Volume 12015, p. 221. [Google Scholar]
- Dubiel, E. Aktualny stan roślinności Lasu Wolskiego–Miejskiego Parku w Krakowie. Chrońmy Przyr. Ojcz. 1971, 27, 18–26. [Google Scholar]
- Kijas, Z.J.; Jarkiewicz, K.; Mróz, W.; Tadel, A. Las Wolski. In Skarby Przyrody i Kultury Krakowai i Okolic. Ekologiczne Ścieżki Edukacyjne; Grzegorczyk, M., Perzanowska, J., Eds.; WAM Publisher: Krakow, Poland, 2005; pp. 85–126. [Google Scholar]
- Zygmunt, R.; Banaś, J.; Zięba, S. Urban forestsstability on the example of “Las Wolski” in Cracow. Studiai Materiały CEPL w Rogowie 2014, 16, 110–117. [Google Scholar]
- Csapodý, V. Keimlingsbestimmungsbuch der Dikotyledonen; Akademiai Kiado: Budapeszt, Hungary, 1968; p. 286. [Google Scholar]
- Muller, F.M. Seedlings of the North-Western European Lowland. A Flora of Seedlings, 1st ed.; Springer: Wageningen, The Netherlands, 1978; p. 653. [Google Scholar]
- Braun-Blanquet, J. Pflanzensoziologie, Grundzüge der Vegetationskunde, 3rd ed.; Springer: Berlin, Germany, 1964; p. 631. [Google Scholar]
- Pladias. Database of the Czech Flora and Vegetation. 2014. Available online: http://www.pladias.org (accessed on 7 February 2021).
- Sádlo, J.; Chytrý, M.; Pergl, J.; Pyšek, P. Plant dispersal strategies: A new classification based on the multiple dispersal modes of individual species. Preslia 2018, 90, 1–22. [Google Scholar] [CrossRef]
- Matuszkiewicz, W.A. Guide for Identification of Polish Plant Communities; Polish Scientific Publishers PWN: Warsaw, Poland, 2017; p. 536. [Google Scholar]
- Alien Species in Poland. Available online: http://www.iop.krakow.pl/ias/species (accessed on 7 February 2020).
- Preacher, K. Calculation for the Chi-Square Test: An Interactive Calculation Tool for Chi-Square Tests of Goodness of Fit and Independence. 2001. Available online: http://quantpsy.org (accessed on 7 February 2021).
- Dormann, C.F.; Bagnara, M.; Boch, S.; Hinderling, J.; Janeiro-Otero, A.; Schäfer, D.; Schall, P.; Hartig, F. Plant species richness increases with light availability, but not variability, in temperate forests understorey. BMC Ecol. 2020, 20, 43. [Google Scholar] [CrossRef]
- Gálhidy, L.; Mihók, B.; Hagyó, A.; Rajkai, K.; Standovár, T. Effects of gap size and associated changes in light and soil moisture on the understorey vegetation of a Hungarian beech forest. Plant Ecol. 2006, 183, 133–145. [Google Scholar] [CrossRef]
- Marozas, V. Effect of the coniferous forest–grassland edge on ground vegetation in the mixed European forest zone, Lithuania. Dendrobiology 2014, 71, 15–22. [Google Scholar] [CrossRef]
- Pankiw, N.A. Recreational Trail Impacts and Their Spatial Influence on Species Diversity and Composition. Master’s Thesis, Ryerson University, Toronto, ON, Canada, 2011. [Google Scholar]
- Pescott, O.L.; Stewart, G.B. Assessing the impact of human trampling on vegetation: A systematic review and meta-analysis of experimental evidence. PeerJ 2014, 2, e360. [Google Scholar] [CrossRef] [PubMed]
- Roovers, P.; Bossuyt, B.; Gulinck, H.; Hermy, M. Vegetation recovery on closed paths in temperate deciduous forests. J. Environ. Manag. 2005, 74, 273–281. [Google Scholar] [CrossRef]
- Scharenbroch, B.C.; Bockheim, J.G. Impacts of forest gaps on soil properties and processes in old growth northern hardwood-hemlock forests. Plant Soil 2007, 294, 219–233. [Google Scholar] [CrossRef]
- Özcan, M.; Gökbulak, F. Effect of size and surrounding forest vegetation on chemical properties of soil in forest gaps. iForest–Biogeosci. For. 2015, 8, 67–72. [Google Scholar] [CrossRef]
- Kooch, Y.; Hosseini, S.M.; Mohammadi, J.; Hojjati, S.M. The effects of gap disturbance on soil chemical and biochemical properties in a mixed beech–hornbeam forest of Iran. Ecol. Balk. 2010, 2, 39–56. [Google Scholar]
- Zhou, T.; Luo, X.; Hou, Y.; Xiang, Y.; Peng, S. Quantifying the effects of road width on roadside vegetation and soil conditions in forests. Landsc. Ecol. 2020, 35, 69–81. [Google Scholar] [CrossRef]
- Tiebel, K.; Huth, F.; Wagner, S. Soil seed banks of pioneer tree species in European temperate forests: A review. IForest 2018, 11, 48–57. [Google Scholar] [CrossRef]
- Wójcik, T.; Makuch-Pietraś, I.; Ćwik, A.; Ziaja, M. Anthropogenic changes in selected elements of the natural environment in the Lisia Góra forest nature reserve in Rzeszów. Sylwan 2020, 164, 246–253. [Google Scholar]
- Thurston, E.; Reader, R.J. Impacts of experimentally applied mountain biking and hiking on vegetation and soil of a deciduous forest. J. Environ. Manag. 2001, 27, 397–409. [Google Scholar] [CrossRef] [PubMed]
- Root-Bernstein, M.; Svenning, J.-C. Human paths have positive impacts on plant richness and diversity: A meta-analysis. Ecol. Evol. 2018, 8, 11111–11121. [Google Scholar] [CrossRef] [PubMed]
- Gonzalez, M.; Ladet, S.; Deconchat, M.; Cabanettes, A.; Alard, D.; Balent, G. Relative contribution of edge and interior zones to patch size effect on species richness: An example for woody plants. For. Ecol. Manag. 2010, 259, 266–274. [Google Scholar] [CrossRef]
- Erdős, L.; Krstonošić, D.; Kiss, P.J.; Bátori, Z.; Tölgyesi, C.; Škvorc, Ž. Plant composition and diversity at edges in a semi-natural forest–grassland mosaic. Plant Ecol. 2019, 220, 279–292. [Google Scholar] [CrossRef]
- de Casenave, J.L.; Pelotto, J.P.; Protomastro, J. Edge-interior differences in vegetation structure and composition in a Chaco semi-arid forest, Argentina. For. Ecol. Manag. 1995, 72, 61–69. [Google Scholar] [CrossRef]
- Fontoura, S.B.; Ganade, G.; Larocca, J. Changes in plant community diversity and composition across an edge between Araucaria forest and pasture in South Brazil. Rev. Bras. Bot. 2006, 29, 79–91. [Google Scholar] [CrossRef]
- Harper, K.A.; Macdonald, S.E.; Mayerhofer, M.S.; Biswas, S.R.; Esseen, P.-A.; Hylander, K.; Stewart, K.J.; Mallika, U.; Drapeau, P.; Jonsson, B.-G.; et al. Edge influence on vegetation at natural and anthropogenic edges of boreal forests in Canada and Fennoscandia. J. Ecol. 2015, 103, 550–562. [Google Scholar] [CrossRef]
- Kostrakiewicz-Gierałt, K.; Pliszko, A.; Gmyrek-Gołąb, K. The effect of visitors on the properties of vegetation of calcareous grasslands in the context of width and distances from tourist trails. Sustainability 2020, 12, 454. [Google Scholar] [CrossRef]
- Pickering, C.M.; Hill, W. Impacts of recreation and tourism on plant biodiversity and vegetation in protected areas in Australia. J. Environ. Manag. 2007, 85, 791–800. [Google Scholar] [CrossRef]
- Roovers, P.; Verheyen, K.; Hermy, M.; Gulinck, H. Experimental trampling and vegetation recovery in some forest and heathland communities. Appl. Veg. Sci. 2004, 7, 111–118. [Google Scholar] [CrossRef]
- Marzano, M.; Dandy, N. Recreational Use of Forests and Disturbance of Wildlife—A Literature Review; Forestry Commission Publication: Edinburg, UK, 2012; p. 40.
- Sun, D. Trampling resistance, recovery and growth rate of eight plant species. Agric. Ecosyst. Environ. 1992, 38, 265–273. [Google Scholar] [CrossRef]
- Littlemore, J.; Barker, S. The ecological response of forest ground flora and soils to experimental trampling in British urban woodlands. Urban Ecosyst. 2001, 5, 257–276. [Google Scholar] [CrossRef]
- Rusterholz, H.-P.; Kissling, M.; Baur, B. Disturbances by human trampling alter the performance, sexual reproduction and genetic diversity in a clonal woodland herb. Perspect. Plant Ecol. Evol. Syst. 2009, 11, 17–29. [Google Scholar] [CrossRef]
- Vujić, V.; Rubinjoni, L.; Selaković, S.; Cvetković, D. Small-scale variations in leaf shape under anthropogenic disturbance in dioecious forest forb Mercurialis perennis: A geometric morphometric examination. Arch Biol Sci. 2016, 68, 705–713. [Google Scholar] [CrossRef]
- Angevine, M.W. Variations in the demography of natural populations of the wild strawberries Fragaria vesca and F. virginiana. J. Ecol. 1983, 71, 959–974. [Google Scholar] [CrossRef]
- Czarnecka, B. Biological proprieties of Maianthemum bifolium (L.) F.W. Schm. polycormones under various ecological conditions. Acta Soc. Bot. Pol. 1986, 55, 659–678. [Google Scholar] [CrossRef][Green Version]
- Falińska, K. The biology of Mercurialis perennis L. polycormones. Acta Soc. Bot. Pol. 1982, 51, 127–148. [Google Scholar] [CrossRef][Green Version]
- Towpasz, K.; Szymska, M. Structure and dynamics of populations of Milium effusum L. in a forest near Polanka-Haller in the Wielickie Foothills (Southern Poland). Bot. Pap. 1983, 11, 109–142. [Google Scholar]
- Avon, C.; Dumas, Y.; Bergès, L. Management practices increase the impact of roads onplant communities in forests. Biol. Conserv. 2013, 154, 24–31. [Google Scholar] [CrossRef]
- Harper, J.; Williams, J.T.; Sagar, G. The behaviour of seeds in soil. I. The heterogeneity of soil surfaces and its role in determining the establishment of plants from seed. J. Ecol. 1965, 53, 273–286. [Google Scholar] [CrossRef]
- Skálová, H.; Moravcová, L.; Čuda, J.; Pyšek, P. Seed-bank dynamics of native and invasive Impatiens species during a five-year field experiment under various environmental conditions. Neobiota 2019, 50, 75–95. [Google Scholar] [CrossRef]
- Falińska, K.; Pirożnikow, E. Ecological structure of Geranium robertianum L. populations under natural conditions and in the garden. Ekol. Pol. 1983, 31, 93–121. [Google Scholar]
- Pirożnikow, E. Seed bank in the soil of stabilized ecosystem of a deciduous forest (Tilio- Carpinetum) in the Białowieża National Park. Ecol. Pol. 1983, 31, 145–172. [Google Scholar]
- Iluz, D. Zoochory: The Dispersal of Plants by Animals. In All Flesh Is Grass. Cellular Origin, Life in Extreme Habitats and Astrobiology; Dubinsky, Z., Seckbach, J., Eds.; Springer: Dordrecht, The Netherlands, 2010; pp. 199–214. [Google Scholar]
- Pickering, C.; Mount, A. Testing the capacity of clothing to act as a vector for non-native seed in protected areas. J. Environ. Manag. 2009, 91, 168–179. [Google Scholar]
- Pickering, C.; Mount, A. Do tourists disperse weed seed? A global review of unintentional human-mediated terrestrial seed dispersal on clothing, vehicles and horses. J. Sustain. Tour. 2010, 18, 239–256. [Google Scholar] [CrossRef]
- Devlaeminck, R.; Bossuyt, B.; Hermy, M. Inflow of seeds through the forest edge: Evidence from seed bank and vegetation patterns. Plant Ecol. 2005, 176, 1–17. [Google Scholar] [CrossRef]
- Jankowska-Błaszczuk, M. Variability of the soil seed banks in the natural deciduous forest in the Białowieża National Park. Acta Bot. Soc. Pol. 1998, 67, 313–324. [Google Scholar] [CrossRef]
- Jankowska-Błaszczuk, M.; Kwiatkowska, A.J.; Panufnik, D.; Tanner, E. The size and diversity of the soil seed banks and the light requirements of the species in sunny and shady natural communities of the Białowieża Primeval Forest. Plant Ecol. 1998, 136, 105–118. [Google Scholar] [CrossRef]
- Lin, L.; Cao, M. Edge effects on soil seed banks and understory vegetation in subtropical and tropical forests in Yunnan, SW China. For. Ecol. Manag. 2009, 257, 1344–1352. [Google Scholar] [CrossRef]
- Danielewicz, W.; Wiatrowska, B.; Dajdok, Z.; Tokarska-Guzik, B. Rośliny naczyniowe obcego pochodzenia zadomowione w lasach Polski. Fragm. Flor. Geobot. Pol. 2020, 27, 451–471. [Google Scholar]
- Mavimbela, L.; Sieben, E.J.J.; Procheş, Ş. Invasive alien plant species, fragmentation and scale effects on urban forest community composition in Durban, South Africa. N. Z. J. For. Sci. 2018, 48, 19. [Google Scholar] [CrossRef]
- Dyderski, M.K.; Jagodziński, A.M. Context-dependence of urban forest vegetation invasion level and alien species’ ecological success. Forests 2019, 10, 26. [Google Scholar] [CrossRef]
- Zając, M.; Zając, A.; Zemanek, B. (Eds.) Flora Cracoviensis Secunda (Atlas). s. xii + Institute of Botany; Jagiellonian University: Kraków, Poland, 2006; p. 291. [Google Scholar]
- Tokarska-Guzik, B.; Dajdok, Z.; Zając, M.; Zając, A.; Urbisz, A.; Danielewicz, W.; Hołdyński, C. AlienPlants in Poland with Particular Reference to Invasive Species; General Directorate for Environmental Protection: Warszawa, Poland, 2012; p. 197.
- Chatterjea, K. Assessment and demarcation of trail degradation in a nature reserve using GIS: Case of Bukit Timah Nature Reserve. Land Degrad. Dev. 2007, 18, 500–518. [Google Scholar] [CrossRef]
- Van Winkle, J.E. Informal Trails and the Spread of Invasive Species in Urban Natural Areas: Spatial Analysis of Informal Trails and their Effects on Understory Plant Communities in Forest Park, Portland, Oregon. Master’s Thesis, Portland State University, Portland, OR, USA, 2014. Paper 1841. [Google Scholar]












| Study Site Location | Study Site Code | Width of Trail (cm) | GPS Coordinates of Trail | Elevation of Trail (m) | |||
|---|---|---|---|---|---|---|---|
| Informal | Formal | Informal | Formal | Informal | Formal | ||
| Forest interior | FI1 | 35 | 155 | N50°03.749′ E19°51.263′ | N50°03.740′ E19°51.337′ | 328 | 290 |
| FI2 | 49 | 200 | N50°03.287′ E19°51.405′ | N50°03.287′ E19°51.298′ | 335 | 344 | |
| FI3 | 44 | 260 | N50°03.478′ E19°50.910′ | N50°03.456′ E19°50.919′ | 334 | 363 | |
| FI4 | 35 | 210 | N50°03.556′ E19°50.521′ | N50°03.561′ E19°50.509′ | 331 | 321 | |
| FI5 | 50 | 190 | N50°02.683′ E19°50.311′ | N50°02.780′ E19°50.275′ | 239 | 291 | |
| Forest edge | FE1 | 31 | 237 | N50°03.187′ E19°51.249′ | N50°03.181′ E19°51.216′ | 341 | 339 |
| FE2 | 48 | 110 | N50°03.657′ E19°51.529′ | N50°03.799′ E19°51.664′ | 323 | 255 | |
| FE3 | 38 | 190 | N50°03.294′ E19°52.017′ | N50°02.865′ E19°50.345′ | 272 | 285 | |
| FE4 | 48 | 250 | N50°02.927′ E19°50.077′ | N50°03.567′ E19°50.756′ | 290 | 359 | |
| FE5 | 34 | 290 | N50°03.526′ E19°51.741′ | N50°03.437′ E19°51.466′ | 284 | 326 | |
Publisher’s Note: MDPI stays neutral with regard to jurisdictional claims in published maps and institutional affiliations. |
© 2021 by the authors. Licensee MDPI, Basel, Switzerland. This article is an open access article distributed under the terms and conditions of the Creative Commons Attribution (CC BY) license (https://creativecommons.org/licenses/by/4.0/).
Share and Cite
Kostrakiewicz-Gierałt, K.; Pliszko, A.; Gmyrek, K. The Effect of Informal Tourist Trails on the Abiotic Conditions and Floristic Composition of Deciduous Forest Undergrowth in an Urban Area. Forests 2021, 12, 423. https://doi.org/10.3390/f12040423
Kostrakiewicz-Gierałt K, Pliszko A, Gmyrek K. The Effect of Informal Tourist Trails on the Abiotic Conditions and Floristic Composition of Deciduous Forest Undergrowth in an Urban Area. Forests. 2021; 12(4):423. https://doi.org/10.3390/f12040423
Chicago/Turabian StyleKostrakiewicz-Gierałt, Kinga, Artur Pliszko, and Katarzyna Gmyrek. 2021. "The Effect of Informal Tourist Trails on the Abiotic Conditions and Floristic Composition of Deciduous Forest Undergrowth in an Urban Area" Forests 12, no. 4: 423. https://doi.org/10.3390/f12040423
APA StyleKostrakiewicz-Gierałt, K., Pliszko, A., & Gmyrek, K. (2021). The Effect of Informal Tourist Trails on the Abiotic Conditions and Floristic Composition of Deciduous Forest Undergrowth in an Urban Area. Forests, 12(4), 423. https://doi.org/10.3390/f12040423

