Soil Cover Improves Soil Quality in a Young Walnut Forest in the Sichuan Basin, China
Abstract
1. Introduction
2. Materials and Methods
2.1. Study Site
2.2. Experimental Design
2.2.1. Walnut Planting and Management
2.2.2. Plot Design
2.3. Soil Sampling and Analysis
2.3.1. Soil Chemical Indicators and MBC
2.3.2. Soil Fauna
2.4. Calculation of the SQI
2.5. Statistical Analyses
3. Results
3.1. Effect of Soil Cover on Soil Chemical Indicators
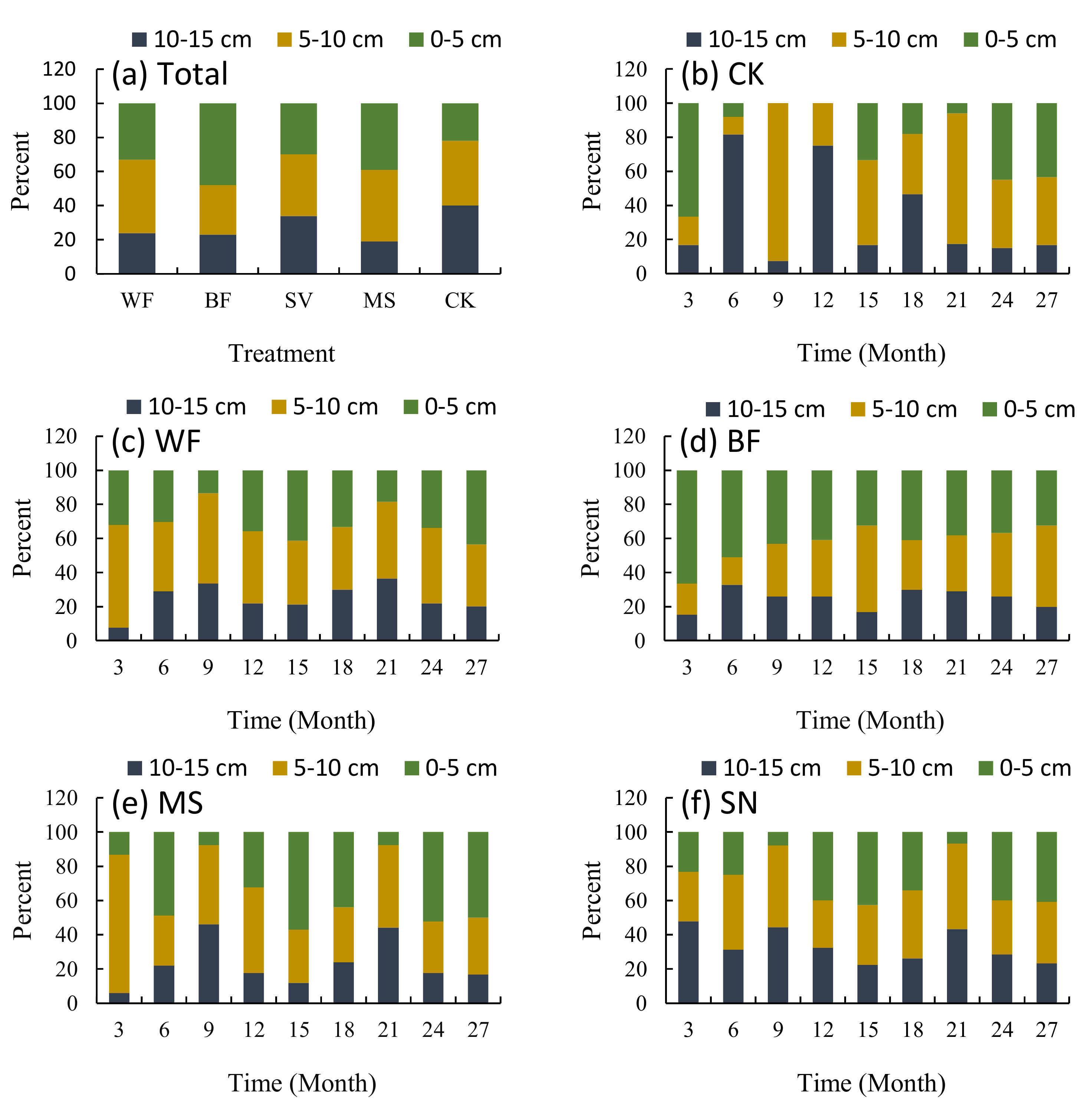
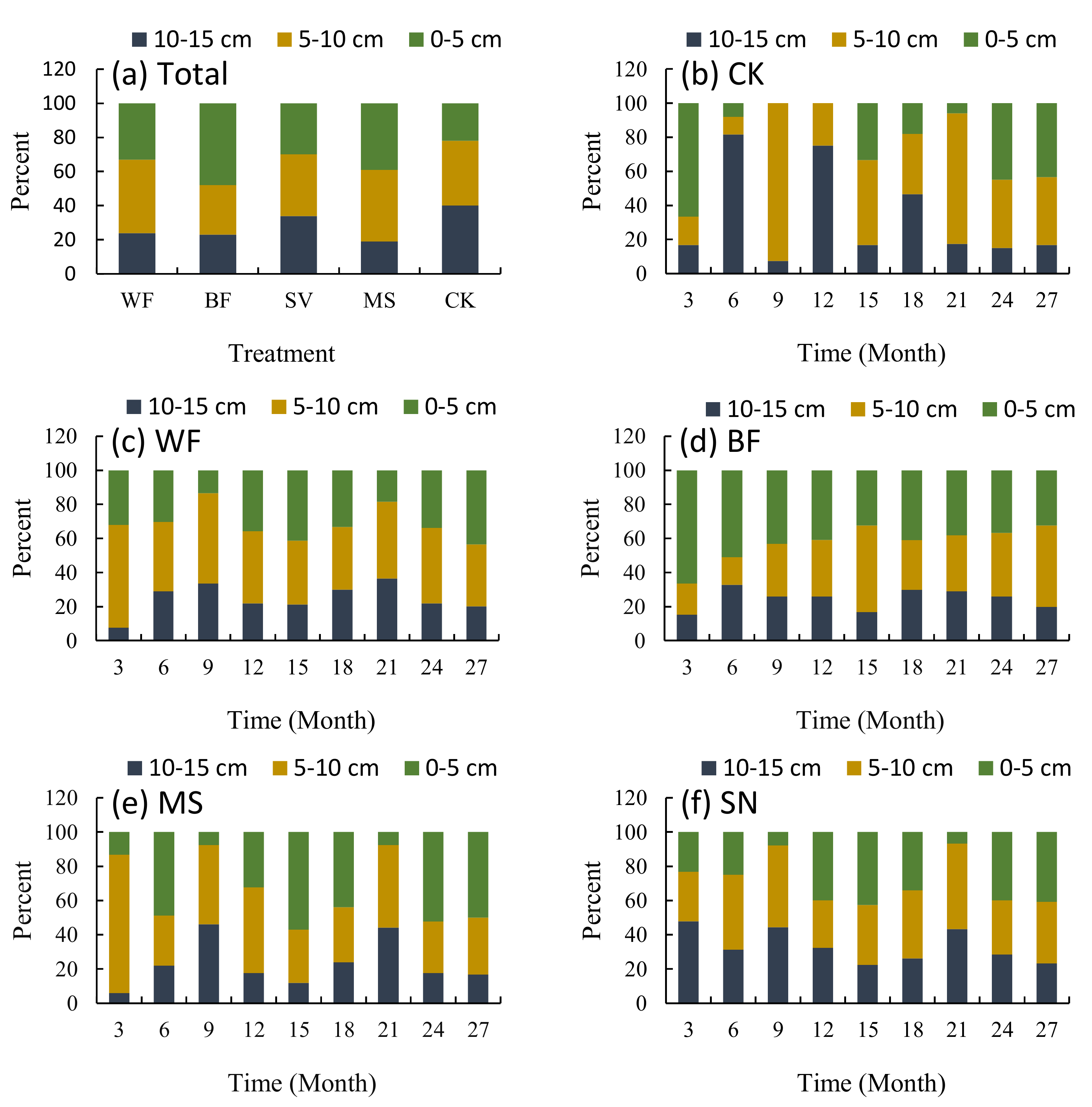
3.2. Effect of Soil Cover on Soil Fauna
3.3. Effect of Soil Cover on Soil MBC
3.4. Effect of Soil Cover on SQI Value
3.5. Relationships between Soil Biological Indicators and Soil Chemical Indicators
4. Discussion
4.1. Soil Cover Altered Soil Nutrient Concentrations
4.2. Soil Cover Increased Soil MBC and Faunal Diversity
4.3. Soil Cover Improved the SQI
5. Conclusions
Supplementary Materials
Author Contributions
Funding
Institutional Review Board Statement
Informed Consent Statement
Data Availability Statement
Acknowledgments
Conflicts of Interest
References
- Bastida, F.; Zsolnay, A.; Hernandez, T.; Garcia, C. Past, present and future of soil quality indices: A biological perspective. Geoderma 2008, 147, 159–171. [Google Scholar] [CrossRef]
- Bunemann, E.K.; Bongiorno, G.; Bai, Z.G.; Creamer, R.E.; De Deyn, G.; de Goede, R.; Fleskens, L.; Geissen, V.; Kuyper, T.W.; Mader, P.; et al. Soil quality—A critical review. Soil Biol. Biochem. 2018, 120, 105–125. [Google Scholar] [CrossRef]
- Chaer, G.M.; Myrold, D.D.; Bottomley, P.J. A soil quality index based on the equilibrium between soil organic matter and biochemical properties of undisturbed coniferous forest soils of the Pacific Northwest. Soil Biol. Biochem. 2009, 41, 822–830. [Google Scholar] [CrossRef]
- Duraisamy, V.; Singh, S.; Ray, S.; Duraisami, V.; Tiwary, P.; Chandran, P.; Nimkar, A.; Anantwar, S. Soil quality index (SQI) as a tool to evaluate crop productivity in semi-arid Deccan plateau, India. Geoderma 2016, 282, 70–79. [Google Scholar] [CrossRef]
- Ngo-Mbogba, M.; Yemefack, M.; Nyeck, B. Assessing soil quality under different land cover types within shifting agriculture in South Cameroon. Soil Tillage Res. 2015, 150, 124–131. [Google Scholar] [CrossRef]
- Andrews, S.S.; Karlen, D.L.; Mitchell, J.P. A comparison of soil quality indexing methods for vegetable production systems in Northern California. Agric. Ecosyst. Environ. 2002, 90, 25–45. [Google Scholar] [CrossRef]
- Gil-Sotres, F.; Trasar-Cepeda, C.; Leiros, M.C.; Seoane, S. Different approaches to evaluating soil quality using biochemical properties. Soil Biol. Biochem. 2005, 37, 877–887. [Google Scholar] [CrossRef]
- Chahal, I.; Van Eerd, L.L. Quantifying soil quality in a horticultural-cover cropping system. Geoderma 2019, 352, 38–48. [Google Scholar] [CrossRef]
- D’Hose, T.; Cougnon, M.; De Vliegher, A.; Vandecasteele, B.; Viaene, N.; Cornelis, W.; Van Bockstaele, E.; Reheul, D. The positive relationship between soil quality and crop production: A case study on the effect of farm compost application. Appl. Soil Ecol. 2014, 75, 189–198. [Google Scholar] [CrossRef]
- Agegnehu, G.; Srivastava, A.K.; Bird, M.I. The role of biochar and biochar-compost in improving soil quality and crop performance: A review. Appl. Soil Ecol. 2017, 119, 156–170. [Google Scholar] [CrossRef]
- Birkhofer, K.; Bezemer, T.M.; Bloem, J.; Bonkowski, M.; Christensen, S.; Dubois, D.; Ekelund, F.; Fliessbach, A.; Gunst, L.; Hedlund, K.; et al. Long-term organic farming fosters below and aboveground biota: Implications for soil quality, biological control and productivity. Soil Biol. Biochem. 2008, 40, 2297–2308. [Google Scholar] [CrossRef]
- Andres-Abellan, M.; Wic-Baena, C.; Lopez-Serrano, F.R.; Garcia-Morote, F.A.; Martinez-Garcia, E.; Picazo, M.I.; Rubio, E.; Moreno-Ortego, J.L.; Bastida-Lopez, F.; Garcia-Izquierdo, C. A soil-quality index for soil from Mediterranean forests. Eur. J. Soil Sci. 2019, 70, 1001–1011. [Google Scholar] [CrossRef]
- Gong, L.; Ran, Q.Y.; He, G.X.; Tiyip, T. A soil quality assessment under different land use types in Keriya river basin, Southern Xinjiang, China. Soil Tillage Res. 2015, 146, 223–229. [Google Scholar] [CrossRef]
- Anderson, K.J.; Teuber, S.S.; Gobeille, A.; Cremin, P.; Waterhouse, A.L.; Steinberg, F.M. Walnut polyphenolics inhibit in vitro human plasma and LDL oxidation. J. Nutr. 2001, 131, 2837–2842. [Google Scholar] [CrossRef]
- Ros, E.; Nunez, I.; Perez-Heras, A.; Serra, M.; Gilabert, R.; Casals, E.; Deulofeu, R. A walnut diet improves endothelial function in hypercholesterolemic subjects—A randomized crossover trial. Circulation 2004, 109, 1609–1614. [Google Scholar] [CrossRef]
- Feng, X.J.; Zhou, H.J.; Zulfiqar, S.; Luo, X.; Hu, Y.H.; Feng, L.; Malvolti, M.E.; Woeste, K.; Zhao, P. The phytogeographic history of common walnut in China. Front. Plant Sci. 2018, 9. [Google Scholar] [CrossRef] [PubMed]
- Zhu, B.; Wang, T.; Kuang, F.H.; Luo, Z.X.; Tang, J.L.; Xu, T.P. Measurements of nitrate leaching from a hillslope cropland in the central Sichuan Basin, China. Soil Sci. Soc. Am. J. 2009, 73, 1419–1426. [Google Scholar] [CrossRef]
- Tie, L.; Bai, W.; Feng, M.; Wu, T.; Li, W.; Han, D. Effects of five low-benefit Cupressus funebris recovery measures on soil fauna and physical and chemical properties. Chin. J. Appl. Environ. Biol. 2019, 25, 1053–1060. [Google Scholar]
- Tie, L.; Bai, W.; Feng, M.; Wu, T.; Li, W.; Han, D.; Zhang, Z. Effects of reforming low- efficient cypress forest on meso-and micro- soil faunal community. J. Ecol. Rural Environ. 2016, 32, 767–773. [Google Scholar]
- Da Silva, D.M.N.; Venturim, C.H.P.; Capucho, M.; de Oliveira, F.L.; Mendonca, E.D. Impact of soil cover systems on soil quality and organic production of yacon. Sci. Hortic. 2018, 235, 407–412. [Google Scholar] [CrossRef]
- Neuweiler, R.; Bertschinger, L.; Stamp, P.; Feil, B. The impact of ground cover management on soil nitrogen levels, parameters of vegetative crop development, yield and fruit quality of strawberries. Eur. J. Hortic. Sci. 2003, 68, 183–191. [Google Scholar]
- Dabney, S.M.; Delgado, J.A.; Reeves, D.W. Using winter cover crops to improve soil and water quality. Commun. Soil Sci. Plant. Anal. 2001, 32, 1221–1250. [Google Scholar] [CrossRef]
- Navas, M.; Benito, M.; Rodriguez, I.; Masaguer, A. Effect of five forage legume covers on soil quality at the Eastern plains of Venezuela. Appl. Soil Ecol. 2011, 49, 242–249. [Google Scholar] [CrossRef]
- DuPont, S.T.; Ferris, H.; Van Horn, M. Effects of cover crop quality and quantity on nematode-based soil food webs and nutrient cycling. Appl. Soil Ecol. 2009, 41, 157–167. [Google Scholar] [CrossRef]
- Marinari, S.; Mancinelli, R.; Brunetti, P.; Campiglia, E. Soil quality, microbial functions and tomato yield under cover crop mulching in the Mediterranean environment. Soil Tillage Res. 2015, 145, 20–28. [Google Scholar] [CrossRef]
- Tie, L.; Bai, W.; Feng, M.; Wu, T.; Li, W.; Han, D.; Huang, Y.; Zhang, Z. Effects of forest-grass modes on the meso-and micro- soil faunal community structure in transforming low-benefit Cupressus funebris Endl. forest. Chin. J. Ecol. 2016, 35, 346–353. [Google Scholar]
- Allen, S.E.; Grimshaw, H.M.; Parkinson, J.A.; Quarmby, C. Chemical Analysis of Ecological Materials; Blackwell Scientific Publications: Oxford, UK; London, UK, 1974. [Google Scholar]
- Schinner, F.; Ohlinger, R.; Kandeler, E.; Margesin, R. Methods in Soil Biology; Springer: Berlin, Germany, 1996. [Google Scholar]
- Joergensen, R.G.; Mueller, T. The fumigation-extraction method to estimate soil microbial biomass: Calibration of the kEN value. Soil Biol. Biochem. 1996, 28, 33–37. [Google Scholar] [CrossRef]
- Yin, W. Pictorial Keys to Soil Fauna of China; Science Press: Beijing, China, 1998. [Google Scholar]
- Andrews, S.S.; Carroll, C.R. Designing a soil quality assessment tool for sustainable agroecosystem management. Ecol. Appl. 2001, 11, 1573–1585. [Google Scholar] [CrossRef]
- Karlen, D.L.; Ditzler, C.A.; Andrews, S.S. Soil quality: Why and how? Geoderma 2003, 114, 145–156. [Google Scholar] [CrossRef]
- Liao, S.; Ni, X.Y.; Yang, W.Q.; Li, H.; Wang, B.; Fu, C.K.; Xu, Z.F.; Tan, B.; Wu, F.Z. Water, rather than temperature, dominantly impacts how soil fauna affect dissolved carbon and nitrogen release from fresh litter during early litter decomposition. Forests 2016, 7, 249. [Google Scholar] [CrossRef]
- Alfaro, M.A.; Jarvis, S.C.; Gregory, P.J. Factors affecting potassium leaching in different soils. Soil Use Manag. 2004, 20, 182–189. [Google Scholar] [CrossRef]
- Tie, L.; Fu, R.; Peñuelas, J.; Sardans, J.; Zhang, S.; Zhou, S.; Hu, J.; Huang, C. The additions of nitrogen and sulfur synergistically decrease the release of carbon and nitrogen from litter in a subtropical forest. Forests 2020, 11, 1280. [Google Scholar] [CrossRef]
- Freschet, G.T.; Cornwell, W.K.; Wardle, D.A.; Elumeeva, T.G.; Liu, W.D.; Jackson, B.G.; Onipchenko, V.G.; Soudzilovskaia, N.A.; Tao, J.P.; Cornelissen, J.H.C. Linking litter decomposition of above- and below-ground organs to plant-soil feedbacks worldwide. J. Ecol. 2013, 101, 943–952. [Google Scholar] [CrossRef]
- Peñuelas, J.; Sardans, J.; Rivas-Ubach, A.; Janssens, I.A. The human-induced imbalance between C, N and P in earth’s life system. Glob. Change Biol. 2012, 18, 3–6. [Google Scholar] [CrossRef]
- Penuelas, J.; Poulter, B.; Sardans, J.; Ciais, P.; van der Velde, M.; Bopp, L.; Boucher, O.; Godderis, Y.; Hinsinger, P.; Llusia, J.; et al. Human-induced nitrogen-phosphorus imbalances alter natural and managed ecosystems across the globe. Nat. Commun. 2013, 4, 2934. [Google Scholar] [CrossRef] [PubMed]
- Armitage, H.F.; Britton, A.J.; van der Wal, R.; Pearce, I.S.K.; Thompson, D.B.A.; Woodin, S.J. Nitrogen deposition enhances moss growth, but leads to an overall decline in habitat condition of mountain moss-sedge heath. Glob. Change Biol. 2012, 18, 290–300. [Google Scholar] [CrossRef]
- Bending, G.D.; Putland, C.; Rayns, F. Changes in microbial community metabolism and labile organic matter fractions as early indicators of the impact of management on soil biological quality. Biol. Fertil. Soils 2000, 31, 78–84. [Google Scholar] [CrossRef]
- Kaschuk, G.; Alberton, O.; Hungria, M. Three decades of soil microbial biomass studies in Brazilian ecosystems: Lessons learned about soil quality and indications for improving sustainability. Soil Biol. Biochem. 2010, 42, 1–13. [Google Scholar] [CrossRef]
- Mbuthia, L.W.; Acosta-Martinez, V.; DeBruyn, J.; Schaeffer, S.; Tyler, D.; Odoi, E.; Mpheshea, M.; Walker, F.; Eash, N. Long term tillage, cover crop, and fertilization effects on microbial community structure, activity: Implications for soil quality. Soil Biol. Biochem. 2015, 89, 24–34. [Google Scholar] [CrossRef]
- Zhang, H.; Liu, Y.H.; Zhou, Z.Y.; Zhang, Y.Y. Inorganic nitrogen addition affects soil respiration and belowground organic carbon fraction for a Pinus Tabuliformis forest. Forests 2019, 10, 369. [Google Scholar] [CrossRef]





| Variable | PC1 | PC2 |
|---|---|---|
| SOM (g kg−1) | 0.848 | 0.038 |
| Total N (g kg−1) | 0.133 | −0.743 |
| Available K (mg kg−1) | 0.161 | 0.740 |
| S | 0.890 | 0.161 |
| MBC (mg kg−1) | 0.867 | −0.159 |
| Eigenvalue | 2.31 | 1.15 |
| Variance explained (%) | 46.1 | 23.1 |
| Treatment | PCz1 | PCz2 | PCS1 | PCS2 | SQI |
|---|---|---|---|---|---|
| WF | −0.266 ± 0.197 c | 0.087 ± 0.086 a | −0.123 ± 0.0.091 c | 0.02 ± 0.020 ab | −0.103 ± 0.096 c |
| BF | −0.445 ± 0.207 c | −0.091 ± 0.088 b | −0.205 ± 0.096 c | −0.021 ± 0.016 bc | −0.226 ± 0.133 c |
| SN | 0.745 ± 0.241 b | 0.274 ± 0.152 a | 0.344 ± 0.111 b | 0.063 ± 0.041 a | 0.407 ± 0.097 b |
| MS | 2.09 ± 0.131 a | 0.088 ± 0.030 a | 0.966 ± 0.060 a | 0.02 ± 0.007 ab | 0.986 ± 0.068 a |
| CK | −2.13 ± 0.090 d | −0.359 ± 0.099 b | −0.982 ± 0.042 d | −0.083 ± 0.046 c | −1.06 ± 0.049 d |
Publisher’s Note: MDPI stays neutral with regard to jurisdictional claims in published maps and institutional affiliations. |
© 2021 by the authors. Licensee MDPI, Basel, Switzerland. This article is an open access article distributed under the terms and conditions of the Creative Commons Attribution (CC BY) license (http://creativecommons.org/licenses/by/4.0/).
Share and Cite
Tie, L.; Feng, M.; Huang, C.; Peñuelas, J.; Sardans, J.; Bai, W.; Han, D.; Wu, T.; Li, W. Soil Cover Improves Soil Quality in a Young Walnut Forest in the Sichuan Basin, China. Forests 2021, 12, 236. https://doi.org/10.3390/f12020236
Tie L, Feng M, Huang C, Peñuelas J, Sardans J, Bai W, Han D, Wu T, Li W. Soil Cover Improves Soil Quality in a Young Walnut Forest in the Sichuan Basin, China. Forests. 2021; 12(2):236. https://doi.org/10.3390/f12020236
Chicago/Turabian StyleTie, Liehua, Maosong Feng, Congde Huang, Josep Peñuelas, Jordi Sardans, Wenyu Bai, Dongmiao Han, Tao Wu, and Wenbing Li. 2021. "Soil Cover Improves Soil Quality in a Young Walnut Forest in the Sichuan Basin, China" Forests 12, no. 2: 236. https://doi.org/10.3390/f12020236
APA StyleTie, L., Feng, M., Huang, C., Peñuelas, J., Sardans, J., Bai, W., Han, D., Wu, T., & Li, W. (2021). Soil Cover Improves Soil Quality in a Young Walnut Forest in the Sichuan Basin, China. Forests, 12(2), 236. https://doi.org/10.3390/f12020236

