Responses of Soil Microbial Community Composition and Enzyme Activities to Land-Use Change in the Eastern Tibetan Plateau, China
Abstract
1. Introduction
2. Materials and Methods
2.1. Study Site
2.2. Experimental Design, Sampling and Processing
2.3. Soil Physicochemical Analysis
2.4. PLFA Analysis
2.5. Microbial Extracellular Enzyme Activity Analysis
2.6. Statistical Analysis
3. Results
3.1. Soil Physicochemical Properties
3.2. Soil Microbial Group PLFAs
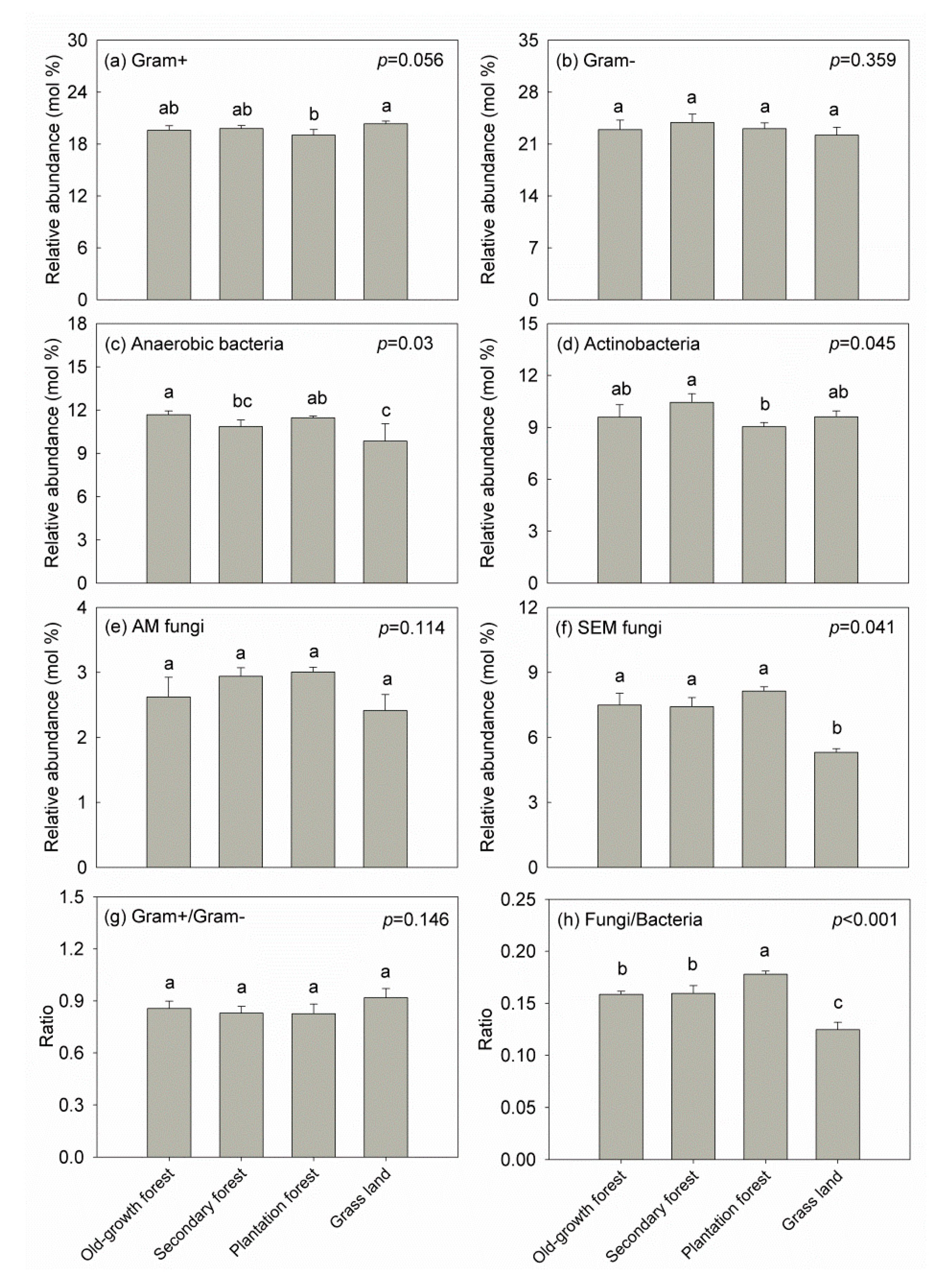
3.3. Soil Microbial Community Composition
3.4. Soil Microbial Biomass and Extracellular Enzyme Activities
4. Discussion
5. Conclusions
Author Contributions
Funding
Acknowledgments
Conflicts of Interest
References
- Fichtner, A.; Von Oheimb, G.; Härdtle, W.; Wilken, C.; Gutknecht, J. Effects of anthropogenic disturbances on soil microbial communities in oak forests persist for more than 100 years. Soil Biol. Biochem. 2014, 70, 79–87. [Google Scholar] [CrossRef]
- Jin, Y.; Zhang, Y.; Xu, Z.; Gu, X.; Xu, J.; Tao, Y.; He, H.; Wang, A.; Liu, Y.; Niu, L. Soil microbial community and enzyme activity responses to herbaceous plant expansion in the Changbai Mountains tundra, China. Chin. Geogra. Sci. 2019, 29, 985–1000. [Google Scholar] [CrossRef]
- Fanin, N.; Kardol, P.; Farrell, M.; Nilsson, M.C.; Gundale, M.J.; Wardle, D.A. The ratio of Gram-positive to Gram-negative bacterial PLFA markers as an indicator of carbon availability in organic soils. Soil Biol. Biochem. 2019, 128, 111–114. [Google Scholar] [CrossRef]
- Ren, C.; Wang, T.; Xu, Y.; Deng, J.; Zhao, F.; Yang, G.; Han, X.; Feng, Y.; Ren, G. Differential soil microbial community responses to the linkage of soil organic carbon fractions with respiration across land-use changes. For. Ecol. Manag. 2018, 409, 170–178. [Google Scholar] [CrossRef]
- Moscatelli, M.; Secondi, L.; Marabottini, R.; Papp, R.; Stazi, S.; Mania, E.; Marinari, S. Assessment of soil microbial functional diversity: Land use and soil properties affect CLPP-MicroResp and enzymes responses. Pedobiologia 2018, 66, 36–42. [Google Scholar] [CrossRef]
- Prescott, C.E.; Grayston, S.J. Tree species influence on microbial communities in litter and soil: Current knowledge and research needs. For. Ecol. Manag. 2013, 309, 19–27. [Google Scholar] [CrossRef]
- Lauber, C.L.; Strickland, M.S.; Bradford, M.A.; Fierer, N. The influence of soil properties on the structure of bacterial and fungal communities across land-use types. Soil Biol. Biochem. 2008, 40, 2407–2415. [Google Scholar] [CrossRef]
- Bardgett, R.D.; Van Der Putten, W.H. Belowground biodiversity and ecosystem functioning. Nature 2014, 515, 505–511. [Google Scholar] [CrossRef]
- Wu, S.J.; Deng, J.J.; Yin, Y.; Qin, S.J.; Zhu, W.X.; Zhou, Y.B.; Wang, B.; Ruan, H.H.; Jin, L. Bacterial community changes associated with land use type in the forest montane region of northeast China. Forests 2020, 11, 40. [Google Scholar] [CrossRef]
- Ouyang, Y.; Reeve, J.R.; Norton, J.M. Soil enzyme activities and abundance of microbial functional genes involved in nitrogen transformations in an organic farming system. Biol. Fertil. Soils 2018, 54, 437–450. [Google Scholar] [CrossRef]
- Ahmed, I.U.; Mengistie, H.K.; Godbold, D.L.; Sandén, H. Soil moisture integrates the influence of land-use and season on soil microbial community composition in the Ethiopian highlands. Appl. Soil Ecol. 2019, 135, 85–90. [Google Scholar] [CrossRef]
- Guo, X.; Chen, H.Y.; Meng, M.; Biswas, S.R.; Ye, L.; Zhang, J. Effects of land use change on the composition of soil microbial communities in a managed subtropical forest. For. Ecol. Manag. 2016, 373, 93–99. [Google Scholar] [CrossRef]
- Krashevska, V.; Klarner, B.; Widyastuti, R.; Maraun, M.; Scheu, S. Impact of tropical lowland rainforest conversion into rubber and oil palm plantations on soil microbial communities. Biol. Fertil. Soils 2015, 51, 697–705. [Google Scholar] [CrossRef]
- Liu, S.; Luo, D.; Cheng, R.; Yang, H.; Wu, J.; Shi, Z. Soil-atmosphere exchange of greenhouse gases from typical subalpine forests on the eastern Qinghai-Tibetan Plateau: Effects of forest regeneration patterns. Land Degrad. Dev. 2020, 1–14. [Google Scholar] [CrossRef]
- Yuan, Y.; Dai, X.; Xu, M.; Wang, H.; Fu, X.; Yang, F. Responses of microbial community structure to land-use conversion and fertilization in southern China. Eur. J. Soil Biol. 2015, 70, 1–6. [Google Scholar] [CrossRef]
- Costa, D.; Freitas, H.; Sousa, J.P. Influence of seasons and land-use practices on soil microbial activity and metabolic diversity in the “Montado ecosystem”. Eur. J. Soil Biol. 2013, 59, 22–30. [Google Scholar] [CrossRef]
- Fu, X.; Yang, F.; Wang, J.; Di, Y.; Dai, X.; Zhang, X.; Wang, H. Understory vegetation leads to changes in soil acidity and in microbial communities 27 years after reforestation. Sci. Total Environ. 2015, 502, 280–286. [Google Scholar] [CrossRef]
- Liu, S.; Luo, D.; Yang, H.; Shi, Z.; Liu, Q.; Zhang, L.; Kang, Y. Fine root dynamics in three forest types with different origins in a subalpine region of the Eastern Qinghai-Tibetan Plateau. Forests 2018, 9, 517. [Google Scholar] [CrossRef]
- Xu, Z.; Wan, C.; Xiong, P.; Tang, Z.; Hu, R.; Cao, G.; Liu, Q. Initial responses of soil CO2 efflux and C, N pools to experimental warming in two contrasting forest ecosystems, Eastern Tibetan Plateau, China. Plant Soil 2010, 336, 183–195. [Google Scholar] [CrossRef]
- Xu, G.; Chen, H.; Shi, Z.; Liu, S.; Cao, X.; Zhang, M.; Chen, M.; Chen, J.; Xiong, K.; Yang, H. Mycorrhizal and rhizospheric fungal community assembly differs during subalpine forest restoration on the eastern Qinghai-Tibetan Plateau. Plant Soil 2019, 1–15. [Google Scholar] [CrossRef]
- Yin, H.; Chen, Z.; Liu, Q. Effects of experimental warming on soil N transformations of two coniferous species, Eastern Tibetan Plateau, China. Soil Biol. Biochem. 2012, 50, 77–84. [Google Scholar] [CrossRef]
- Grayston, S.J.; Wang, S.; Campbell, C.D.; Edwards, A.C. Selective influence of plant species on microbial diversity in the rhizosphere. Soil Biol. Biochem. 1998, 30, 369–378. [Google Scholar] [CrossRef]
- Luo, D.; Cheng, R.; Shi, Z.; Wang, W.; Xu, G.; Liu, S. Impacts of nitrogen-fixing and non-nitrogen-fixing tree species on soil respiration and microbial community composition during forest management in subtropical China. Ecol. Res. 2016, 31, 683–693. [Google Scholar] [CrossRef]
- Zhang, X.; Dippold, M.A.; Kuzyakov, Y.; Razavi, B.S. Spatial pattern of enzyme activities depends on root exudate composition. Soil Biol. Biochem. 2019, 133, 83–93. [Google Scholar] [CrossRef]
- IUSS Working Group WRB. World Reference Base for Soil Resources 2014, Update 2015 International Soil Classification System for Naming Soils and Creating Legends for Soil Maps; World Soil Resources Reports No. 106; FAO: Rome, Italy, 2015. [Google Scholar]
- Tóth, G.; Song, X.; Hermann, T. Hierarchical and Multi-Scale Pedoclimatic Zonation Ref. Ares, 2017, 1485779–18/03/2017. Available online: https://ec.europa.eu/research/participants/documents/downloadPublic?documentIds=080166e5b1171b67&appId=PPGMS (accessed on 20 April 2020).
- Gasparatos, D.; Haidouti, C. A comparison of wet oxidation methods for determination of total phosphorus in soils. J. Plant Nutr. Soil Sci. 2001, 164, 435–439. [Google Scholar] [CrossRef]
- Frostegård, A.; Bååth, E. The use of phospholipid fatty acid analysis to estimate bacterial and fungal biomass in soil. Biol. Fertil. Soils 1996, 22, 59–65. [Google Scholar] [CrossRef]
- Bossio, D.A.; Scow, K.M. Impacts of carbon and flooding on soil microbial communities: Phospholipid fatty acid profiles and substrate utilization patterns. Microb. Ecol. 1998, 35, 265–278. [Google Scholar] [CrossRef]
- German, D.P.; Weintraub, M.N.; Grandy, A.S.; Lauber, C.L.; Rinkes, Z.L.; Allison, S.D. Optimization of hydrolytic and oxidative enzyme methods for ecosystem studies. Soil Biol. Biochem. 2011, 43, 1387–1397. [Google Scholar] [CrossRef]
- Sinsabaugh, R.L.; Lauber, C.L.; Weintraub, M.N.; Ahmed, B.; Allison, S.D.; Crenshaw, C.; Contosta, A.R.; Cusack, D.; Frey, S.; Gallo, M.E. Stoichiometry of soil enzyme activity at global scale. Ecol. Lett. 2008, 11, 1252–1264. [Google Scholar] [CrossRef]
- Bezemer, T.M.; Lawson, C.S.; Hedlund, K.; Edwards, A.R.; Brook, A.J.; Igual, J.M.; Mortimer, S.R.; Van Der Putten, W.H. Plant species and functional group effects on abiotic and microbial soil properties and plant–soil feedback responses in two grasslands. J. Ecol. 2006, 94, 893–904. [Google Scholar] [CrossRef]
- Lucas-Borja, M.E.; Candel, D.; Jindo, K.; Moreno, J.; Andrés, M.; Bastida, F. Soil microbial community structure and activity in monospecific and mixed forest stands, under Mediterranean humid conditions. Plant Soil 2012, 354, 359–370. [Google Scholar] [CrossRef]
- Richter, A.; Schöning, I.; Kahl, T.; Bauhus, J.; Ruess, L. Regional environmental conditions shape microbial community structure stronger than local forest management intensity. For. Ecol. Manag. 2018, 409, 250–259. [Google Scholar] [CrossRef]
- Yang, N.; Ji, L.; Yang, Y.; Yang, L. The influence of tree species on soil properties and microbial communities following afforestation of abandoned land in northeast China. Eur. J. Soil Biol. 2018, 85, 73–78. [Google Scholar] [CrossRef]
- Kang, H.; Gao, H.; Yu, W.; Yi, Y.; Wang, Y.; Ning, M. Changes in soil microbial community structure and function after afforestation depend on species and age: Case study in a subtropical alluvial island. Sci. Total Environ. 2018, 625, 1423–1432. [Google Scholar] [CrossRef]
- Wagai, R.; Kitayama, K.; Satomura, T.; Fujinuma, R.; Balser, T. Interactive influences of climate and parent material on soil microbial community structure in Bornean tropical forest ecosystems. Ecol. Res. 2011, 26, 627–636. [Google Scholar] [CrossRef]
- Xiao, D.; Che, R.; Liu, X.; Tan, Y.; Yang, R.; Zhang, W.; He, X.; Xu, Z.; Wang, K. Arbuscular mycorrhizal fungi abundance was sensitive to nitrogen addition but diversity was sensitive to phosphorus addition in karst ecosystems. Biol. Fertil. Soils 2019, 55, 457–469. [Google Scholar] [CrossRef]
- Austin, A.T.; Yahdjian, L.; Stark, J.M.; Belnap, J.; Porporato, A.; Norton, U.; Ravetta, D.A.; Schaeffer, S.M. Water pulses and biogeochemical cycles in arid and semiarid ecosystems. Oecologia 2004, 141, 221–235. [Google Scholar] [CrossRef]
- Wu, X.; Xu, H.; Tuo, D.; Wang, C.; Fu, B.; Lv, Y.; Liu, G. Land use change and stand age regulate soil respiration by influencing soil substrate supply and microbial community. Geoderma 2020, 359, 113991. [Google Scholar] [CrossRef]
- Yang, Y.; Cheng, H.; Liu, L.; Dou, Y.; An, S. Comparison of soil microbial community between planted woodland and natural grass vegetation on the Loess Plateau. For. Ecol. Manag. 2020, 460, 117817. [Google Scholar] [CrossRef]
- Huang, X.; Liu, S.; Wang, H.; Hu, Z.; Li, Z.; You, Y. Changes of soil microbial biomass carbon and community composition through mixing nitrogen-fixing species with Eucalyptus urophylla in subtropical China. Soil Biol. Biochem. 2014, 73, 42–48. [Google Scholar] [CrossRef]
- Angst, Š.; Harantová, L.; Baldrian, P.; Angst, G.; Cajthaml, T.; Straková, P.; Blahut, J.; Veselá, H.; Frouz, J. Tree species identity alters decomposition of understory litter and associated microbial communities: A case study. Biol. Fertil. Soils 2019, 55, 525–538. [Google Scholar] [CrossRef]
- Dang, P.; Gao, Y.; Liu, J.; Yu, S.; Zhao, Z. Effects of thinning intensity on understory vegetation and soil microbial communities of a mature Chinese pine plantation in the Loess Plateau. Sci. Total Environ. 2018, 630, 171–180. [Google Scholar] [CrossRef] [PubMed]
- Monkai, J.; Goldberg, S.D.; Hyde, K.D.; Harrison, R.D.; Mortimer, P.E.; Xu, J. Natural forests maintain a greater soil microbial diversity than that in rubber plantations in Southwest China. Agric. Ecosyst. Environ. 2018, 265, 190–197. [Google Scholar] [CrossRef]
- Luo, D.; Cheng, R.; Shi, Z.; Wang, W. Decomposition of leaves and fine roots in three subtropical plantations in China affected by litter substrate quality and soil microbial community. Forests 2017, 8, 412. [Google Scholar] [CrossRef]
- Osono, T. Decomposition of grass leaves by ligninolytic litter-decomposing fungi. Grassl. Sci. 2010, 56, 31–36. [Google Scholar] [CrossRef]
- Shao, P.; Liang, C.; Lynch, L.; Xie, H.; Bao, X. Reforestation accelerates soil organic carbon accumulation: Evidence from microbial biomarkers. Soil Biol. Biochem. 2019, 131, 182–190. [Google Scholar] [CrossRef]
- Feng, C.; Ma, Y.; Jin, X.; Wang, Z.; Ma, Y.; Fu, S.; Chen, H.Y. Soil enzyme activities increase following restoration of degraded subtropical forests. Geoderma 2019, 351, 180–187. [Google Scholar] [CrossRef]
- LI, W.; Wu, M.; Liu, M.; Jiang, C.; Chen, X.; Kuzyakov, Y.; Rinklebe, J.; Li, Z. Responses of soil enzyme activities and microbial community composition to moisture regimes in paddy soils under long-term fertilization practices. Pedosphere 2018, 28, 323–331. [Google Scholar] [CrossRef]
- Sinsabaugh, R.; Moorhead, D. Resource allocation to extracellular enzyme production: A model for nitrogen and phosphorus control of litter decomposition. Soil Biol. Biochem. 1994, 26, 1305–1311. [Google Scholar] [CrossRef]
- Xu, Z.; Li, X.; Cai, L.; Li, Y.; Liu, S.; Liu, W.; Li, L. Analysis of soil microbial community and enzyme activity of Casuarina equisetifolia plantations at different stand ages in Hainan. J. Northwest A F Univ. (Nat. Sci. Ed.) 2018, 46, 24–34. [Google Scholar]
- Cusack, D.F.; Silver, W.L.; Torn, M.S.; Burton, S.D.; Firestone, M.K. Changes in microbial community characteristics and soil organic matter with nitrogen additions in two tropical forests. Ecology 2011, 92, 621–632. [Google Scholar] [CrossRef] [PubMed]
- Gallo, M.; Lauber, C.; Cabaniss, S.; Waldrop, M.; Sinsabaugh, R.; Zak, D.R. Soil organic matter and litter chemistry response to experimental N deposition in northern temperate deciduous forest ecosystems. Glob. Chang. Biol. 2005, 11, 1514–1521. [Google Scholar] [CrossRef]




| Old-Growth Forest | Secondary Forest | Plantation Forest | Grassland | |
|---|---|---|---|---|
| pH | 5.98 ± 0.18 a | 5.82 ± 0.03 a | 5.34 ± 0.05 ab | 5.02 ± 0.27 b |
| SOC (g kg−1) | 61.79 ± 3.97 a | 52.32 ± 2.42 ab | 63.34 ± 4.75 a | 40.39 ± 4.04 b |
| TN (g kg−1) | 4.35 ± 0.44 a | 4.22 ± 0.39 ab | 3.24 ± 0.12 bc | 2.54 ± 0.10 c |
| NH4+-N (mg kg−1) | 10.99 ± 2.03 ab | 13.03 ± 0.12 a | 11.06 ± 0.07 ab | 8.61 ± 1.47 b |
| NO3–-N (mg kg−1) | 2.88 ± 0.88 b | 3.17 ± 1.21 b | 4.22 ± 1.63 ab | 8.38 ± 1.84 a |
| TP (mg kg−1) | 76.07 ± 4.65 b | 70.19 ± 4.21 b | 116.31 ± 3.21 a | 43.46 ± 5.23 c |
| C/N ratio | 14.35 ± 0.69 bc | 12.52 ± 0.64 c | 19.50 ± 0.97 a | 15.82 ± 1.08 b |
| C/P ratio | 812.24 ± 17.61 ab | 746.79 ± 15.01 b | 547.63 ± 57.06 c | 938.16 ± 68.36 a |
| N/P ratio | 56.96 ± 3.77 a | 59.89 ± 2.36 a | 27.96 ± 1.64 b | 59.96 ± 6.46 a |
| Gram+ Bacteria | Gram– Bacteria | Anaerobic Bacteria | Actinobacteria | AM Fungi | SEM Fungi | |
|---|---|---|---|---|---|---|
| pH | −0.14 (0.67) | 0.39 (0.21) | 0.49 (0.11) | 0.32 (0.31) | 0.25 (0.43) | 0.44 (0.16) |
| SOC | −0.41 (0.19) | 0.18 (0.57) | 0.60 (0.04) | −0.06 (0.86) | 0.59 (0.04) | 0.76 (<0.01) |
| TN | −0.10 (0.77) | 0.20 (0.54) | 0.44 (0.15) | 0.36 (0.26) | 0.34 (0.28) | 0.49 (0.11) |
| NH4+-N | −0.07 (0.83) | 0.25 (0.44) | 0.49 (0.11) | 0.06 (0.86) | 0.15 (0.65) | 0.46 (0.14) |
| NO3–-N | 0.42 (0.17) | −0.25 (0.43) | −0.53 (0.07) | −0.12 (0.72) | −0.31 (0.32) | −0.68 (0.02) |
| TP | −0.70 (0.01) | 0.12 (0.72) | 0.63 (0.03) | −0.38 (0.22) | 0.65 (0.02) | 0.81 (<0.01) |
| C/N ratio | −0.32 (0.31) | −0.09 (0.78) | 0.14 (0.68) | −0.53 (0.08) | 0.20 (0.54) | 0.19 (0.55) |
| C/P ratio | 0.76 (<0.01) | −0.05 (0.89) | −0.68 (0.02) | 0.43 (0.16) | −0.53 (0.08) | −0.75 (<0.01) |
| N/P ratio | 0.63 (0.03) | 0.03 (0.92) | −0.49 (0.11) | 0.55 (0.06) | −0.40 (0.20) | −0.54 (0.07) |
| Variables | Explained α a | Explained β b | pc | F-Ratio d |
|---|---|---|---|---|
| TN | 0.30 | 0.30 | 0.008 | 4.25 |
| pH | 0.26 | 0.23 | 0.002 | 4.47 |
| TP | 0.27 | 0.07 | 0.194 | 1.43 |
| N/P | 0.18 | 0.07 | 0.190 | 1.52 |
| Ammonia-N | 0.21 | 0.05 | 0.436 | 1.02 |
| C/P | 0.26 | 0.04 | 0.452 | 0.89 |
| SOC | 0.24 | 0.06 | 0.382 | 1.16 |
| Nitrate-N | 0.27 | 0.03 | 0.556 | 0.73 |
| C/N | 0.17 | 0.03 | 0.656 | 0.50 |
| N-acetylglucosaminidase | β-glucosidase | Polyphenoloxidase | ||||
|---|---|---|---|---|---|---|
| R | p | R | p | R | p | |
| Gram+ bacteria | 0.104 | 0.748 | 0.242 | 0.449 | 0.399 | 0.199 |
| Gram– bacteria | 0.439 | 0.153 | 0.183 | 0.570 | 0.205 | 0.523 |
| Anaerobic bacteria | −0.702 | <0.05 | −0.545 | 0.067 | 0.014 | 0.965 |
| Actinobacteria | 0.470 | 0.123 | 0.300 | 0.344 | 0.578 | <0.05 |
| AM fungi | 0.173 | 0.591 | 0.007 | 0.982 | −0.162 | 0.614 |
| SEM fungi | −0.340 | 0.280 | −0.346 | 0.271 | −0.131 | 0.685 |
| Gram+:Gram– ratio | −0.262 | 0.411 | −0.005 | 0.987 | 0.042 | 0.897 |
| Fungi:Bacteria ratio | −0.289 | 0.362 | −0.315 | 0.319 | −0.263 | 0.408 |
| Total microbial biomass | 0.624 | <0.05 | 0.718 | <0.01 | −0.443 | 0.149 |
© 2020 by the authors. Licensee MDPI, Basel, Switzerland. This article is an open access article distributed under the terms and conditions of the Creative Commons Attribution (CC BY) license (http://creativecommons.org/licenses/by/4.0/).
Share and Cite
Luo, D.; Cheng, R.-M.; Liu, S.; Shi, Z.-M.; Feng, Q.-H. Responses of Soil Microbial Community Composition and Enzyme Activities to Land-Use Change in the Eastern Tibetan Plateau, China. Forests 2020, 11, 483. https://doi.org/10.3390/f11050483
Luo D, Cheng R-M, Liu S, Shi Z-M, Feng Q-H. Responses of Soil Microbial Community Composition and Enzyme Activities to Land-Use Change in the Eastern Tibetan Plateau, China. Forests. 2020; 11(5):483. https://doi.org/10.3390/f11050483
Chicago/Turabian StyleLuo, Da, Rui-Mei Cheng, Shun Liu, Zuo-Min Shi, and Qiu-Hong Feng. 2020. "Responses of Soil Microbial Community Composition and Enzyme Activities to Land-Use Change in the Eastern Tibetan Plateau, China" Forests 11, no. 5: 483. https://doi.org/10.3390/f11050483
APA StyleLuo, D., Cheng, R.-M., Liu, S., Shi, Z.-M., & Feng, Q.-H. (2020). Responses of Soil Microbial Community Composition and Enzyme Activities to Land-Use Change in the Eastern Tibetan Plateau, China. Forests, 11(5), 483. https://doi.org/10.3390/f11050483

