Fifty Years of Change in a Coniferous Forest in the Qilian Mountains, China—Advantages of High-Definition Remote Sensing
Abstract
1. Introduction
2. Materials and Methods
2.1. Study Area
2.2. Remote-Sensing Data Acquisition and Pre-Processing
2.3. Data Analysis
2.3.1. Changes in the Distribution of Picea crassifolia Kom.
2.3.2. Landscape Changes of Picea crassifolia Kom.
3. Results
3.1. Shift in the Forest Cover
3.2. Landscape Changes
4. Discussion
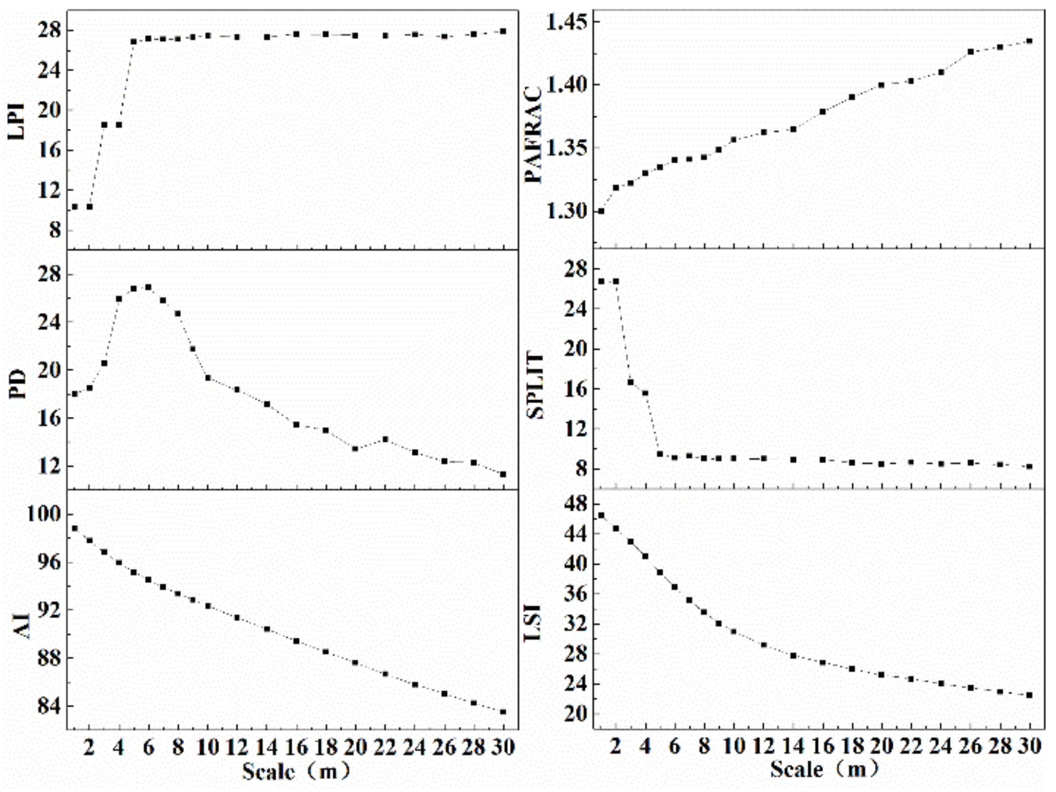
4.1. Landscape Pattern Characteristics of Picea crassifolia Kom. Forest
4.2. Landscape Pattern Change in Dayekou Catchment
4.3. Possible Reasons of Picea crassifolia Kom. Forest to Changes
5. Conclusions
Author Contributions
Funding
Acknowledgments
Conflicts of Interest
References
- Vanneste, T.; Michelsen, O.; Graae, B.J.; Kyrkjeeide, M.O.; Holien, H.; Hassel, K.; Lindmo, S.; Kapás, R.E.; Frenne, P.D. Impact of climate change on alpine vegetation of mountain summits in Norway. Ecol. Res. 2017, 32, 1–15. [Google Scholar] [CrossRef]
- Körner, C. A re-assessment of high elevation treeline positions and their explanation. Oecologia 1998, 115, 445–459. [Google Scholar] [CrossRef] [PubMed]
- Wieser, G. Lessons from the timberline ecotone in the Central Tyrolean Alps: A review. Plant Ecol. Divers. 2012, 5, 127–139. [Google Scholar] [CrossRef]
- Hofgaard, A.; Dalen, L.; Hytteborn, H. Tree recruitment above the treeline and potential for climate-driven treeline change. J. Veg. Sci. 2009, 20, 1133–1144. [Google Scholar] [CrossRef]
- Malanson, G.P. Mixed signals in trends of variance in high-elevation tree ring chronologies. J. Mt. Sci. 2017, 14, 1961–1968. [Google Scholar] [CrossRef]
- Hagedorn, F.; Gavazov, K.; Alexander, J.M. Above-and belowground linkages shape responses of mountain vegetation to climate change. Science 2019, 365, 1119–1123. [Google Scholar] [CrossRef]
- Tasser, E.; Leitinger, G.; Tappeiner, U. Climate change versus land-use change—What affects the mountain landscapes more? Land Use Policy 2017, 60, 60–72. [Google Scholar] [CrossRef]
- Du, H.; Liu, J.; Li, M.H.; Büntgen, U.; Yang, Y.; Wang, L.; Wu, Z.; He, H.S. Warming-Induced upward migration of the alpine treeline in the Changbai Mountains, northeast China. Glob. Chang. Biol. 2018, 24, 1256–1266. [Google Scholar] [CrossRef]
- Shi, C.; Shen, M.; Wu, X.; Cheng, X.; Li, X.; Fan, T.; Li, Z.; Zhang, Y.; Fan, Z.; Shi, F. Growth response of alpine treeline forests to a warmer and drier climate on the southeastern Tibetan Plateau. Agric. For. Meteorol. 2019, 264, 73–79. [Google Scholar] [CrossRef]
- Franke, A.; Bräuning, A.; Timonen, M.; Rautio, P. Growth response of Scots pines in polar-alpine tree-line to a warming climate. For. Ecol. Manag. 2017, 399, 94–107. [Google Scholar] [CrossRef]
- Chang, X.; Zhao, W.; He, Z. Radial pattern of sap flow and response to microclimate and soil moisture in Qinghai spruce (Picea crassifolia) in the upper Heihe River Basin of arid northwestern China. Agric. For. Meteorol. 2014, 187, 14–21. [Google Scholar] [CrossRef]
- Chang, X.; Zhao, W.; Liu, H.; Wei, X.; Liu, B.; He, Z. Qinghai spruce (Picea crassifolia) forest transpiration and canopy conductance in the upper Heihe River Basin of arid northwestern China. Agric. For. Meteorol. 2014, 198, 209–220. [Google Scholar] [CrossRef]
- Tian, Q.; He, Z.; Xiao, S.; Peng, X.; Ding, A.; Lin, P. Response of stem radial growth of Qinghai spruce (Picea crassifolia) to environmental factors in the Qilian Mountains of China. Dendrochronologia 2017, 44, 76–83. [Google Scholar] [CrossRef]
- Lingnan, Z.; Shuangshuang, L.; Yixue, H.; Xiaomin, Z.; Xiaohong, L. Changes in the radial growth of Picea crassifolia and its driving factors in the mid-western Qilian Mountains, Northwest China since 1851 CE. Dendrochronologia 2020, 61, 125707. [Google Scholar]
- Liang, E.; Shao, X.; Eckstein, D.; Liu, X. Spatial variability of tree growth along a latitudinal transect in the Qilian Mountains, northeastern Tibetan Plateau. Can. J. For. Res. 2010, 40, 200–211. [Google Scholar] [CrossRef]
- He, Z.; Zhao, W.; Zhang, L.; Liu, H. Response of tree recruitment to climatic variability in the alpine treeline ecotone of the Qilian Mountains, northwestern China. For. Sci. 2013, 59, 118–126. [Google Scholar] [CrossRef]
- Morley, P.J.; Donoghue, D.N.; Chen, J.-C.; Jump, A.S. Quantifying structural diversity to better estimate change at mountain forest margins. Remote Sens. Environ. 2019, 223, 291–306. [Google Scholar] [CrossRef]
- Kohler, T. Mountains and Climate Change; Center for Development and Environment: Bern, Switzerland, 2015. [Google Scholar]
- Kurz, W.A.; Dymond, C.; Stinson, G.; Rampley, G.; Neilson, E.; Carroll, A.; Ebata, T.; Safranyik, L. Mountain pine beetle and forest carbon feedback to climate change. Nature 2008, 452, 987–990. [Google Scholar] [CrossRef]
- Holtmeier, F.-K.; Broll, G. Treeline research—From the roots of the past to present time. A review. Forests 2020, 11, 38. [Google Scholar] [CrossRef]
- Baker, W.L.; Honaker, J.J.; Weisberg, P.J. Using aerial photography and GIS to map the forest-tundra ecotone in Rocky Mountain National Park, Colorado, for global change research. Photogramm. Eng. Remote Sens. 1995, 61, 313–320. [Google Scholar]
- Panigrahy, S.; Anitha, D.; Kimothi, M.; Singh, S. Timberline change detection using topographic map and satellite imagery. Trop. Ecol. 2010, 51, 87–91. [Google Scholar]
- Olthof, I.; Pouliot, D. Treeline vegetation composition and change in Canada’s western Subarctic from AVHRR and canopy reflectance modeling. Remote Sens. Environ. 2010, 114, 805–815. [Google Scholar] [CrossRef]
- Xu, D.; Geng, Q.; Jin, C.; Xu, Z.; Xu, X. Tree line identification and dynamics under climate change in Wuyishan National Park based on Landsat images. Remote Sens. 2020, 12, 2890. [Google Scholar] [CrossRef]
- Chen, Y.; Lu, D.; Luo, G.; Huang, J. Detection of vegetation abundance change in the alpine tree line using multitemporal Landsat Thematic Mapper imagery. Int. J. Remote Sens. 2015, 36, 4683–4701. [Google Scholar] [CrossRef]
- Bolton, D.K.; Coops, N.C.; Hermosilla, T.; Wulder, M.A.; White, J.C. Evidence of vegetation greening at alpine treeline ecotones: Three decades of Landsat spectral trends informed by lidar-derived vertical structure. Environ. Res. Lett. 2018, 13, 084022. [Google Scholar] [CrossRef]
- Franke, A.; Feilhauer, H.; Bräuning, A.; Rautio, P.; Braun, M. Remotely sensed estimation of vegetation shifts in the polar and alpine tree-line ecotone in Finnish Lapland during the last three decades. For. Ecol. Manag. 2019, 454, 117668. [Google Scholar] [CrossRef]
- Mathisen, I.E.; Mikheeva, A.; Tutubalina, O.V.; Aune, S.; Hofgaard, A. Fifty years of tree line change in the Khibiny Mountains, Russia: Advantages of combined remote sensing and dendroecological approaches. Appl. Veg. Sci. 2013, 17, 6–16. [Google Scholar] [CrossRef]
- Wang, Q.; Wu, N.; Luo, P.; Yi, S.; Bao, W.; Shi, F. Growth rate of mosses and their environmental determinants in subalpine coniferous forests and clear-cuts at the eastern edge of the Qinghai-Tibetan Plateau, China. Front. For. China 2008, 3, 171–176. [Google Scholar] [CrossRef][Green Version]
- He, Z.-B.; Fang, S.; Chen, L.-F.; Du, J.; Zhu, X.; Lin, P.-F. Spatial patterns in natural Picea crassifolia forests of northwestern China, as basis for close-to-nature forestry. J. Mt. Sci. 2018, 15, 1909–1919. [Google Scholar] [CrossRef]
- Fowler, M.J.F. Archaeology through the keyhole: The serendipity effect of aerial reconnaissance revisited. Interdiscip. Sci. Rev. 2004, 29, 118–134. [Google Scholar]
- Yang, C.; Everitt, J.H.; Bradford, J.M. Comparison of QuickBird satellite imagery and Airborne imagery for mapping Grain Sorghum Yield patterns. Precis. Agric. 2006, 7, 33–44. [Google Scholar] [CrossRef]
- Wang, T.; Zhang, G.; Li, D.; Tang, X.; Jiang, Y.; Pan, H.; Zhu, X.; Fang, C. Geometric accuracy validation for ZY-3 satellite imagery. IEEE Geoence Remote Sens. Lett. 2014, 11, 1168–1171. [Google Scholar] [CrossRef]
- Jing, W. WATER: Dataset of Forest Structure Parameter Survey at the Fixed Sampling Plot in the Pailugou Watershed and Dayekou Watershed Foci Experiment Area in 2003; Academy of Water Resources Convervation Forests in Qilian Mountain of Gansu Province: Lanzhou, China, 2012. [Google Scholar] [CrossRef]
- Ma, G.; Jing, W. WATER: Dataset of Forest Structure Parameter Survey at the Fixed Sampling Plot in the Pailugou Watershed and Dayekou Watershed Foci Experiment Area in 2007; Academy of Water Resources Convervation Forests in Qilian Mountain of Gansu Province: Lanzhou, China, 2013. [Google Scholar] [CrossRef]
- Chen, X.; Guo, Z.; Jin, M. WATER: Dataset of Forest Structure Parameter Survey at the Temporary Forest Sampling Plot in the Dayekou Watershed Foci Experimental Area; Institute of Forest Resource Information Techniques, Chinese Academy of Forestry, Institute of Remote Sensing Applications: Beijing, China; Chinese Academy of Sciences, Academy of Water Resources Conservation Forests in Qilian Mountain of Gansu Province: Beijing, China, 2008. [Google Scholar] [CrossRef]
- Bai, Y.; Liu, Z.; Fu, Z.; Li, B.; Lin, H.; Song, D.; Sun, Z.; Gong, H.; Zhu, M. WATER: Dataset of Land Use and Land Cover Investigation in the Arid Region Hydrology and Forest Hydrology Experiment Areas; National Tibetan Plateau Data Center: Beijing, China, 2008. [Google Scholar] [CrossRef]
- Song, J.; Fu, Z.; Zhang, X.; Wang, S.; Zhao, M.; Lei, J.; Niu, Y.; Lun, L.; Liang, F.; He, Q. WATER: Dataset of Forest Structure Parameter Measurements for the Fixed Forest Sampling Plots in the Dayekou and Pailugou Watershed Foci Experimental Areas (2003–3007); National Tibetan Plateau Data Center: Beijing, China, 2008. [Google Scholar] [CrossRef]
- Zhang, Y.; Ma, M. HiWATER: 1m DEM Data Production in Dayekou Watershed; National Tibetan Plateau Data Center: Beijing, China, 2014. [Google Scholar] [CrossRef]
- Guide, E.U.S. ENVI On-Line Software User’s Manual; ITT Visual Information Solutions: Boulder, CO, USA, 2008. [Google Scholar]
- Lassiter, A.; Darbari, M. Assessing alternative methods for unsupervised segmentation of urban vegetation in very high-resolution multispectral aerial imagery. PLoS ONE 2020, 15, e0230856. [Google Scholar] [CrossRef]
- ESRI. (Environmental Sciences Research Institute). 2012. Available online: http://www.esri.com/ (accessed on 11 June 2012).
- Wardrop, D.; Bishop, J.; Easterling, M.; Hychka, K.; Myers, W.; Patil, G.; Taillie, C. Use of landscape and land use parameters for classification and characterization of watersheds in the mid-Atlantic across five physiographic provinces. Environ. Ecol. Stat. 2005, 12, 209–223. [Google Scholar] [CrossRef]
- Peng, J.; Wang, Y.; Zhang, Y.; Wu, J.; Li, W.; Li, Y. Evaluating the effectiveness of landscape metrics in quantifying spatial patterns. Ecol. Indic. 2010, 10, 217–223. [Google Scholar] [CrossRef]
- Fang, S.; Zhao, Y.; Han, L.; Ma, C. Analysis of landscape patterns of arid valleys in China, based on grain size effect. Sustainability 2017, 9, 2263. [Google Scholar] [CrossRef]
- Mcgarigal, K.S.; Cushman, S.A.; Neel, M.C.; Ene, E. FRAGSTATS: Spatial Pattern Analysis Program for Categorical Maps. 2002. Available online: www.umass.edu/landeco/research/fragstats/fragstats.htmlS (accessed on 2 November 2017).
- Tarantino, C.; Adamo, M.; Lucas, R.; Blonda, P. Detection of changes in semi-natural grasslands by cross correlation analysis with WorldView-2 images and new Landsat 8 data. Remote Sens. Environ. 2016, 175, 65–72. [Google Scholar] [CrossRef]
- Roy, D.P.; Wulder, M.; Loveland, T.R.; Woodcock, C.; Allen, R.; Anderson, M.; Helder, D.; Irons, J.; Johnson, D.; Kennedy, R. Landsat-8: Science and product vision for terrestrial global change research. Remote Sens. Environ. 2014, 145, 154–172. [Google Scholar] [CrossRef]
- Foody, G.M. Classification accuracy comparison: Hypothesis tests and the use of confidence intervals in evaluations of difference, equivalence and non-inferiority. Remote Sens. Environ. 2009, 113, 1658–1663. [Google Scholar] [CrossRef]
- Congalton, R.G. Accuracy assessment and validation of remotely sensed and other spatial information. Int. J. Wildland Fire 2001, 10, 321–328. [Google Scholar] [CrossRef]
- Du, J.; Yan, P.; Dong, Y. Water driving mechanism of patched vegetation formation in arid areas: A review. Chin. J. Ecol. 2012, 31, 2137–2144, (In Chinese with English abstract). [Google Scholar]
- Assal, T.J.; Anderson, P.J.; Sibold, J. Spatial and temporal trends of drought effects in a heterogeneous semi-arid forest ecosystem. For. Ecol. Manag. 2016, 365, 137–151. [Google Scholar] [CrossRef]
- Liu, Q.; Zhang, Y.; Liu, G.; Huang, C.; Chai, S. Comparison of different spatial resolution images of ZY-3 satellite to patch vegetation detection. Bull. Surv. Mapp. 2014, 46, 16–20, (In Chinese with English abstract). [Google Scholar]
- Erdős, L.; Kröel-Dulay, G.; Bátori, Z.; Kovács, B.; Németh, C.; Kiss, P.J.; Tölgyesi, C. Habitat heterogeneity as a key to high conservation value in forest-grassland mosaics. Biol. Conserv. 2018, 226, 72–80. [Google Scholar] [CrossRef]
- Yang, G.; Xiao, D.; Zhao, C. GIS-Based analysis on the forest landscape patterns in the Qil ian Mountain. Arid Zone Res. 2004, 21, 27–32, (In Chinese with English abstract). [Google Scholar]
- Zhao, C.; Nan, Z.; Cheng, G.; Zhang, J.; Feng, Z. GIS-Assisted modelling of the spatial distribution of Qinghai spruce (Picea crassifolia) in the Qilian Mountains, northwestern China based on biophysical parameters. Ecol. Model. 2006, 191, 487–500. [Google Scholar] [CrossRef]
- Qiang, W.Y.; Wang, X.L.; Chen, T.; Feng, H.Y.; An, L.Z.; He, Y.Q.; Wang, G. Variations of stomatal density and carbon isotope values of Picea crassifolia at different altitudes in the Qilian Mountains. Trees 2003, 17, 258–262. [Google Scholar] [CrossRef]
- Guojing, Y.; Duning, X.; Lihua, Z.; Cuiwen, T. Hydrological effects of forest landscape patterns in the Qilian Mountains. Mt. Res. Dev. 2005, 25, 262–268. [Google Scholar] [CrossRef][Green Version]
- Parmesan, C.; Yohe, G. A globally coherent fingerprint of climate change impacts across natural systems. Nature 2003, 421, 37–42. [Google Scholar] [CrossRef]
- Pauli, H.; Gottfried, M.; Reiter, K.; Klettner, C.; Grabherr, G. Signals of range expansions and contractions of vascular plants in the high Alps: Observations (1994–2004) at the GLORIA* master site Schrankogel, Tyrol, Austria. Glob. Chang. Biol. 2007, 13, 147–156. [Google Scholar] [CrossRef]
- Harsch, M.A.; Hulme, P.E.; Mcglone, M.S.; Duncan, R.P. Are treelines advancing? A global meta-analysis of treeline response to climate warming. Ecol. Lett. 2009, 12, 1040. [Google Scholar] [CrossRef] [PubMed]
- MacDonald, G.; Kremenetski, K.; Beilman, D. Climate change and the northern Russian treeline zone. Philos. Trans. R. Soc. Lond. B Biol. Sci. 2008, 363, 2283–2299. [Google Scholar] [CrossRef] [PubMed]
- Wilson, R.J.; Gutiérrez, D.; Gutiérrez, J.; Martínez, D.; Agudo, R.; Monserrat, V.J. Changes to the elevational limits and extent of species ranges associated with climate change. Ecol. Lett. 2005, 8, 1138–1146. [Google Scholar] [CrossRef] [PubMed]
- Qi, Z.; Liu, H.; Wu, X.; Hao, Q. Climate-Driven speedup of alpine treeline forest growth in the Tianshan Mountains, Northwestern China. Glob. Chang. Biol. 2015, 21, 816–826. [Google Scholar] [CrossRef] [PubMed]
- Jia, W.; Chen, J. Variations of NDVI and its response to climate change in the growing season of vegetation in Qilianshan Mountains from 1982 to 2014. Res. Soil Water Conserv. 2018, 25, 264–268, (In Chinese with English abstract). [Google Scholar]
- Fang, S.; He, Z.; Du, J.; Chen, L.; Lin, P.; Zhao, M. Carbon mass change and its drivers in a Boreal coniferous forest in the Qilian Mountains, China from 1964 to 2013. Forests 2018, 9, 57. [Google Scholar] [CrossRef]
- Zhang, L.; Liu, H. Response of Picea crassifolia population to climate change at the treeline ecotones in Qilian Mountains. Sci. Silvae Sin. 2012, 48, 18–21, (In Chinese with English abstract). [Google Scholar]
- Wang, B.; Chen, T.; Li, C.; Xu, G.; Wu, G.; Liu, G. Radial growth of Qinghai spruce (Picea crassifolia Kom.) and its leading influencing climate factor varied along a moisture gradient. For. Ecol. Manag. 2020, 476, 118474. [Google Scholar] [CrossRef]
- Liang, E.; Leuschner, C.; Dulamsuren, C.; Wagner, B.; Hauck, M. Global warming-related tree growth decline and mortality on the north-eastern Tibetan plateau. Clim. Chang. 2016, 134, 163–176. [Google Scholar] [CrossRef]
- Gou, X.; Chen, F.; Yang, M.; Li, J.; Peng, J.; Jin, L. Climatic response of thick leaf spruce (Picea crassifolia) tree-ring width at different elevations over Qilian Mountains, northwestern China. J. Arid Environ. 2005, 61, 513–524. [Google Scholar] [CrossRef]
- Liu, Z.; Zhao, C.; Bai, Y.; Peng, S.; Nan, Z.; Liu, X.; Hao, H. Difference in stem volume of Qinghai spruce (Picea crassifolia) in catchments of Qilian Mountains. J. Lanzhou Univ. Nat. Sci. 2013, 49, 747–751, (In Chinese with English abstract). [Google Scholar]
- Zhao, C.; Bie, Q.; Peng, H. Analysis of the niche space of Picea crassifolia on the northern slope of Qilian Mountains. Acta Geogr. Sin. 2010, 65, 113–121, (In Chinese with English abstract). [Google Scholar]
- Zhu, X.; He, Z.; Chen, L.; Du, J.; Yang, J.; Lin, P.; Li, J. Changes in species diversity, aboveground biomass, and distribution characteristics along an afforestation successional gradient in semiarid Picea crassifolia plantations of Northwestern China. For. Sci. 2016, 63. [Google Scholar] [CrossRef]
- De Wit, H.A.; Bryn, A.; Hofgaard, A.; Karstensen, J.; Peters, G.P. Climate warming feedback from mountain birch forest expansion: Reduced albedo dominates carbon uptake. Glob. Chang. Biol. 2014, 20, 2344. [Google Scholar] [CrossRef] [PubMed]
- Wang, X.; Chen, R.; Liu, J. Spatial and temporal variation characteristics of accumulated negative temperature in Qilian Mountains under climate change. Plateau Meteorol. 2017, 36, 1267–1275, (In Chinese with English abstract). [Google Scholar]
- Cao, G.; Fu, J.; Li, L.; Cao, S.; Tang, Z.; Jiang, G.; Yu, M.; Yuan, J.; Han, G.; Diao, E. Analysis on temporal and spatial variation characteristics of air temperature in the south slope of Qilian Mountains and its nearby regions during the period from 1960 to 2014. Res. Soil Water Conserv. 2018, 25, 88–96, (In Chinese with English abstract). [Google Scholar]
- Yang, W.; Wang, Y.; Web, A.A.; Li, Z.; Tian, X.; Han, Z.; Wang, S.; Yu, P. Influence of climatic and geographic factors on the spatial distribution of Qinghai spruce forests in the dryland Qilian Mountains of Northwest China. Sci. Total Environ. 2018, 612, 1007. [Google Scholar] [CrossRef]









| Metrics | Name | Description |
|---|---|---|
| Area and Edge | Largest Patch Index (LPI) | The proportion of the largest patch area |
| Shape | Perimeter-Area Fractal Dimension (PAFRAC) | Non-randomness or degree of aggregation for different patches |
| Aggregation | Patch Density (PD) | Number of patches per unit area |
| Splitting Index (SPLIT) | The number of patches in a landscape divided into equal sizes keeping landscape division constant, express the separation degree of individual distribution in different | |
| Aggregation Index (AI) | The degree of aggregation of similar patches | |
| Landscape Shape Index (LSI) | Continuity and complexity of landscape shape and the measurement of the perimeter-to-area ratio for the landscape as a whole |
| Metrics | First Scale Domain | The Appropriate Scale |
|---|---|---|
| LPI | 2–5 m | >5 m |
| PAFRAC | 2–8 m | 3–7 m |
| PD | 6–10 m | 7–9 m |
| SPLIT | 2–5 m | >5 m |
| AI | 3–10 m | 2–9 m |
| LSI | 4–12 m | 3–11 m |
| All | 6–8 m | 7 m |
Publisher’s Note: MDPI stays neutral with regard to jurisdictional claims in published maps and institutional affiliations. |
© 2020 by the authors. Licensee MDPI, Basel, Switzerland. This article is an open access article distributed under the terms and conditions of the Creative Commons Attribution (CC BY) license (http://creativecommons.org/licenses/by/4.0/).
Share and Cite
Fang, S.; He, Z. Fifty Years of Change in a Coniferous Forest in the Qilian Mountains, China—Advantages of High-Definition Remote Sensing. Forests 2020, 11, 1188. https://doi.org/10.3390/f11111188
Fang S, He Z. Fifty Years of Change in a Coniferous Forest in the Qilian Mountains, China—Advantages of High-Definition Remote Sensing. Forests. 2020; 11(11):1188. https://doi.org/10.3390/f11111188
Chicago/Turabian StyleFang, Shu, and Zhibin He. 2020. "Fifty Years of Change in a Coniferous Forest in the Qilian Mountains, China—Advantages of High-Definition Remote Sensing" Forests 11, no. 11: 1188. https://doi.org/10.3390/f11111188
APA StyleFang, S., & He, Z. (2020). Fifty Years of Change in a Coniferous Forest in the Qilian Mountains, China—Advantages of High-Definition Remote Sensing. Forests, 11(11), 1188. https://doi.org/10.3390/f11111188

