Optimized Sonar Broadband Focused Beamforming Algorithm
Abstract
:1. Introduction
2. Broadband Focused Beamforming Algorithm
2.1. Determination of Optimal Focusing Frequency
2.2. Principle of an Optimized Broadband Focused Beamforming Algorithm
3. Simulation and Performance Analysis
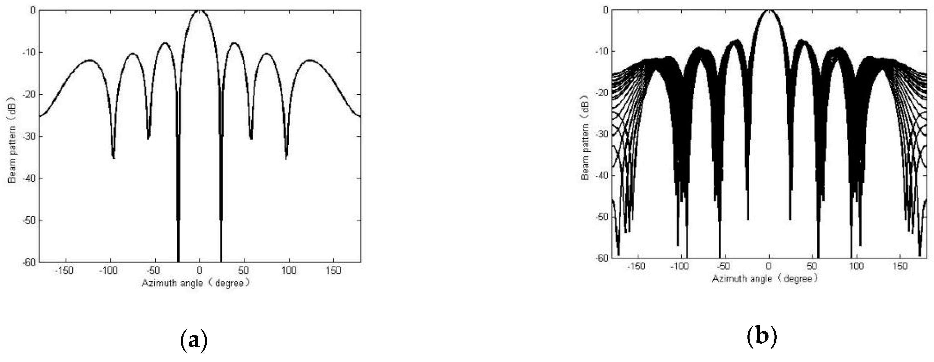
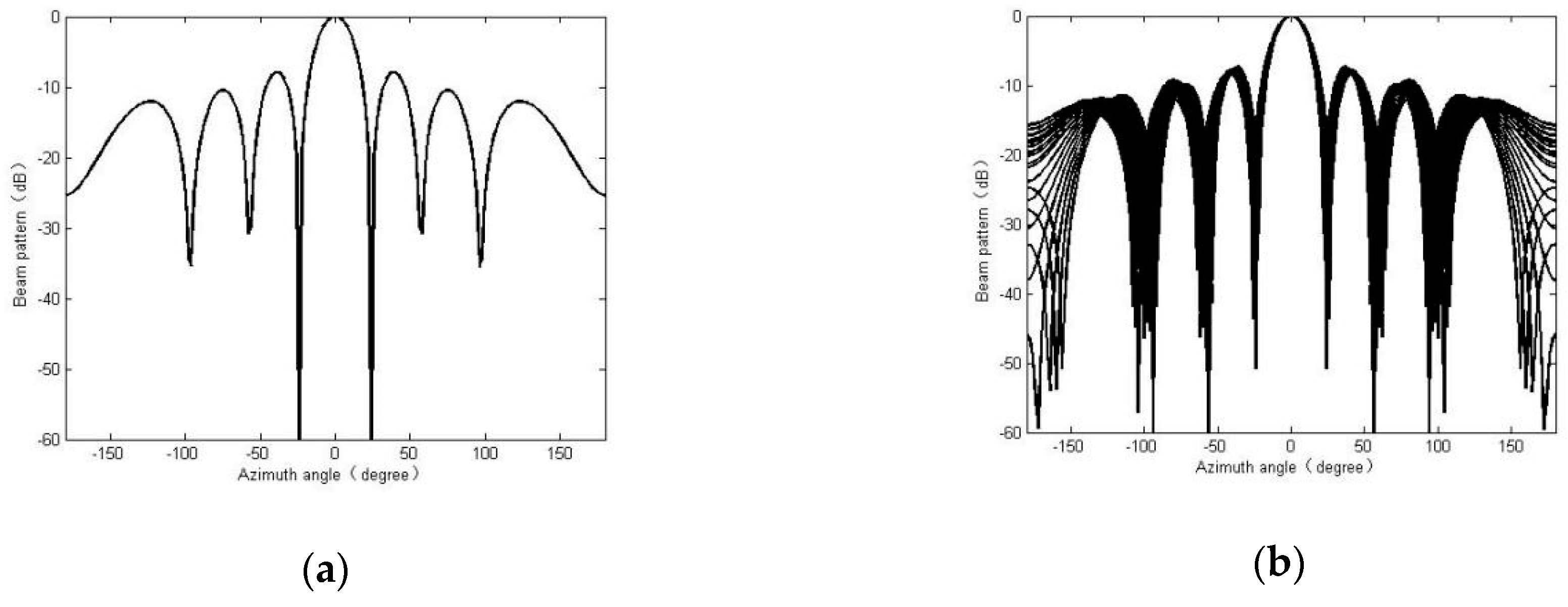
3.1. Validity Verification of the Optimal Focusing Frequency
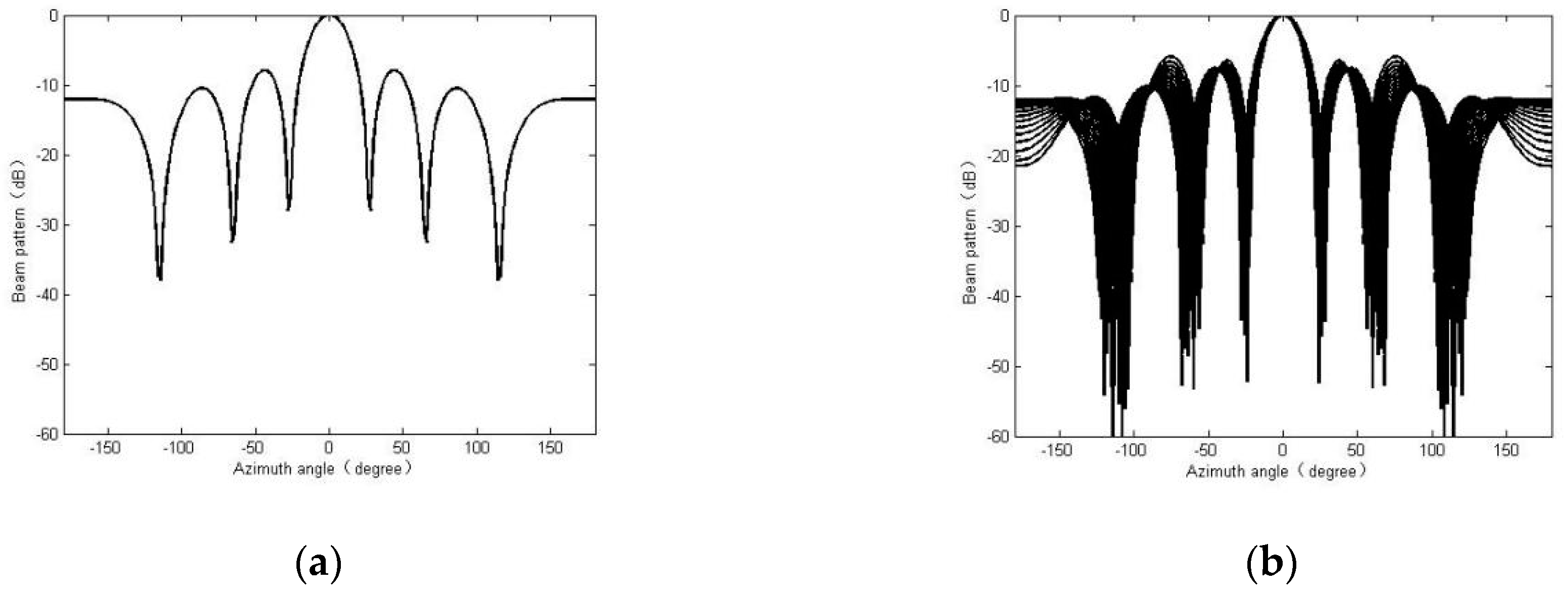
3.2. Optimized Broadband Focused Beamforming Algorithm Based on RCB Algorithm
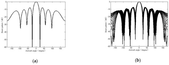
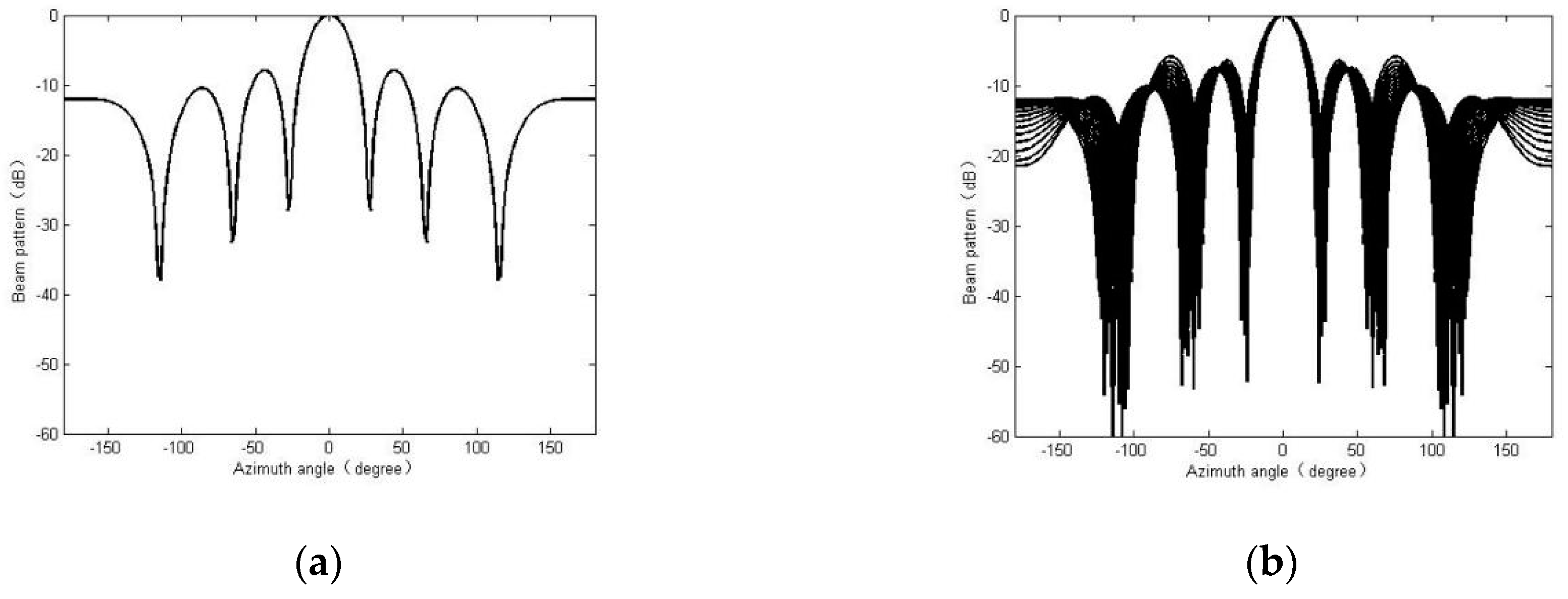
3.3. Optimized Sonar Broadband Focused Beamforming Algorithm
4. Water Pool Experiments
5. Conclusions
Author Contributions
Funding
Conflicts of Interest
References
- Chen, H.; Zhao, Y.J.; Liu, C.C.; Ding, Y.C. Robust wideband constant beamwidth beamforming algorithm based on quadratic constraint. J. Data Acquis. Process. 2016, 31, 815–822. [Google Scholar] [CrossRef]
- Wang, H.; Kaveh, M. Coherent signal-subspace processing for the detection and estimation of angles of arrival of multiple wide-band sources. IEEE Trans. Acoust. Speech Signal Process. 1985, 33, 823–831. [Google Scholar] [CrossRef]
- Hung, H.; Kavel, M. Focusing matrices for coherent signal-subspace processing. IEEE Trans. Acoust. Speech Signal Process. 1988, 36, 1272–1281. [Google Scholar] [CrossRef]
- Wang, Z.C.; Zhang, T.Q.; Wan, Y.L.; Zhu, H.B. Direction of arrival estimation of orthogonal frequency division multiplexing signal based on wideband focused matrix and higher-order cumulant. J. Comput. Appl. 2013, 33, 1828–1832. [Google Scholar] [CrossRef]
- Hung, H.S.; Mao, C.Y. Robust coherent signal-subspace processing for direction of arrival estimation of wideband sources. IEE Proc. Radar Sonar Navig. 1994, 141, 256–262. [Google Scholar] [CrossRef]
- Zhang, J.; Ye, Z.F.; Wang, Y.L. Direction-of-arrival estimation algorithm for wideband sources based on consistent focusing. J. Circuits Syst. 2011, 16, 131–136. [Google Scholar]
- Wang, J.; Feng, Q.; Wu, R.B.; Su, Z.G. A robust wideband constant-beamwidth beamforming method for acoustic imaging. J. Xidian Univ. 2007, 34, 154–158. [Google Scholar] [CrossRef]
- Zhu, W.J. Study on Principle and Method of Broadband Underwater Acoustic Array Signal Processing. Ph.D. Thesis, Northwestern Polytechnical University, Xi’an, China, 2003. [Google Scholar]
- Di Claudio, E.D.; Parisi, R. WAVES: Weighted average of signal subspaces for robust wideband direction finding. IEEE Trans. Signal Process. 2001, 49, 2179–2191. [Google Scholar] [CrossRef]
- Tian, G.; Wang, Y.M. A robust broadband beamforming method of constant beam width. Acta Acust. 2012, 37, 18–24. [Google Scholar] [CrossRef]
- Bi, Y.; Wang, Y.M. Robust broadband focused beamforming algorithm. Comput. Eng. Appl. 2015, 51, 218–221. [Google Scholar] [CrossRef]
- Zhou, L.; Huang, C.L.; Su, Y. A Ground Penetrating Radar Imaging Algorithm Based on Robust Capon beamforming. J. Electr. Inf. Technol. 2012, 34, 1024–1029. [Google Scholar] [CrossRef]
- Stoica, P.; Wang, Z.S.; Li, J. Robust capon beamforming. IEEE Signal Process. Lett. 2003, 10, 172–175. [Google Scholar] [CrossRef]
- Ma, Y.L.; Liu, M.A.; Zhang, Z.B.; Tong, L. Response of the towed line array to the noise of the tow ship in shallow water. Acta Acust. 2002, 27, 481–486. [Google Scholar] [CrossRef]
- Ma, Y.L.; Liu, M.A.; Zhang, Z.B.; Tong, L. Receiving response of towed line array to the noise of the tow ship in shallow water. Chin. J. Acoust. 2003, 22, 1–10. [Google Scholar] [CrossRef]










| Frequency of Narrowband Signals (Hz) | Main Lobe Width (°) | Sidelobe Level (dB) |
|---|---|---|
| 2250 | 27.4 | −7.9 |
| 2450 | 25.1 | −7.9 |
| 2760 | 22.2 | −7.92 |
| 2900 | 21.1 | −7.93 |
| 3000 | 20.5 | −7.91 |
| Frequency of Broadband Signals (Hz) | Main Lobe Width (°) | Sidelobe Level (dB) |
|---|---|---|
| 2250 | 27.2 | −7.2 |
| 2450 | 25.8 | −5.9 |
| 2760 | 24.6 | −7.35 |
| 2900 | 24.2 | −7.21 |
| 3000 | 23.6 | −6.15 |
| Focusing Frequency of Broadband. (Hz) | Variation of Main Lobe Width (°) | Variation of Sidelobe Level (dB) |
|---|---|---|
| 2250 | 0.2 | 0.7 |
| 2450 | 0.7 | 2 |
| 2760 | 2.4 | 0.17 |
| 2900 | 3.1 | 0.72 |
| 3000 | 3.1 | 1.76 |
| Frequency (Hz) | 2250 | 2400 | 2550 | 2700 | 2850 | 3000 |
| Main Lobe Width (°) | 19.4 | 18.8 | 18.5 | 17.9 | 17.6 | 17.8 |
| Sidelobe Level (dB) | 35.5 | 34.6 | 34.3 | 34 | 33 | 33.2 |
© 2019 by the authors. Licensee MDPI, Basel, Switzerland. This article is an open access article distributed under the terms and conditions of the Creative Commons Attribution (CC BY) license (http://creativecommons.org/licenses/by/4.0/).
Share and Cite
Bi, Y.; Feng, X.; Zhang, Y. Optimized Sonar Broadband Focused Beamforming Algorithm. Algorithms 2019, 12, 33. https://doi.org/10.3390/a12020033
Bi Y, Feng X, Zhang Y. Optimized Sonar Broadband Focused Beamforming Algorithm. Algorithms. 2019; 12(2):33. https://doi.org/10.3390/a12020033
Chicago/Turabian StyleBi, Yang, Xi’an Feng, and Yangmei Zhang. 2019. "Optimized Sonar Broadband Focused Beamforming Algorithm" Algorithms 12, no. 2: 33. https://doi.org/10.3390/a12020033
APA StyleBi, Y., Feng, X., & Zhang, Y. (2019). Optimized Sonar Broadband Focused Beamforming Algorithm. Algorithms, 12(2), 33. https://doi.org/10.3390/a12020033

