Synthesis of a New Titanate Coupling Agent for the Modification of Calcium Sulfate Whisker in Poly(Vinyl Chloride) Composite
Abstract
:1. Introduction
2. Results and Discussion
2.1. Fourier Transform Infrared (FTIR) Spectra of the Titanate Coupling Agent and sTi–CSW
2.2. Mechanical Performance
2.3. Interfacial Morphology
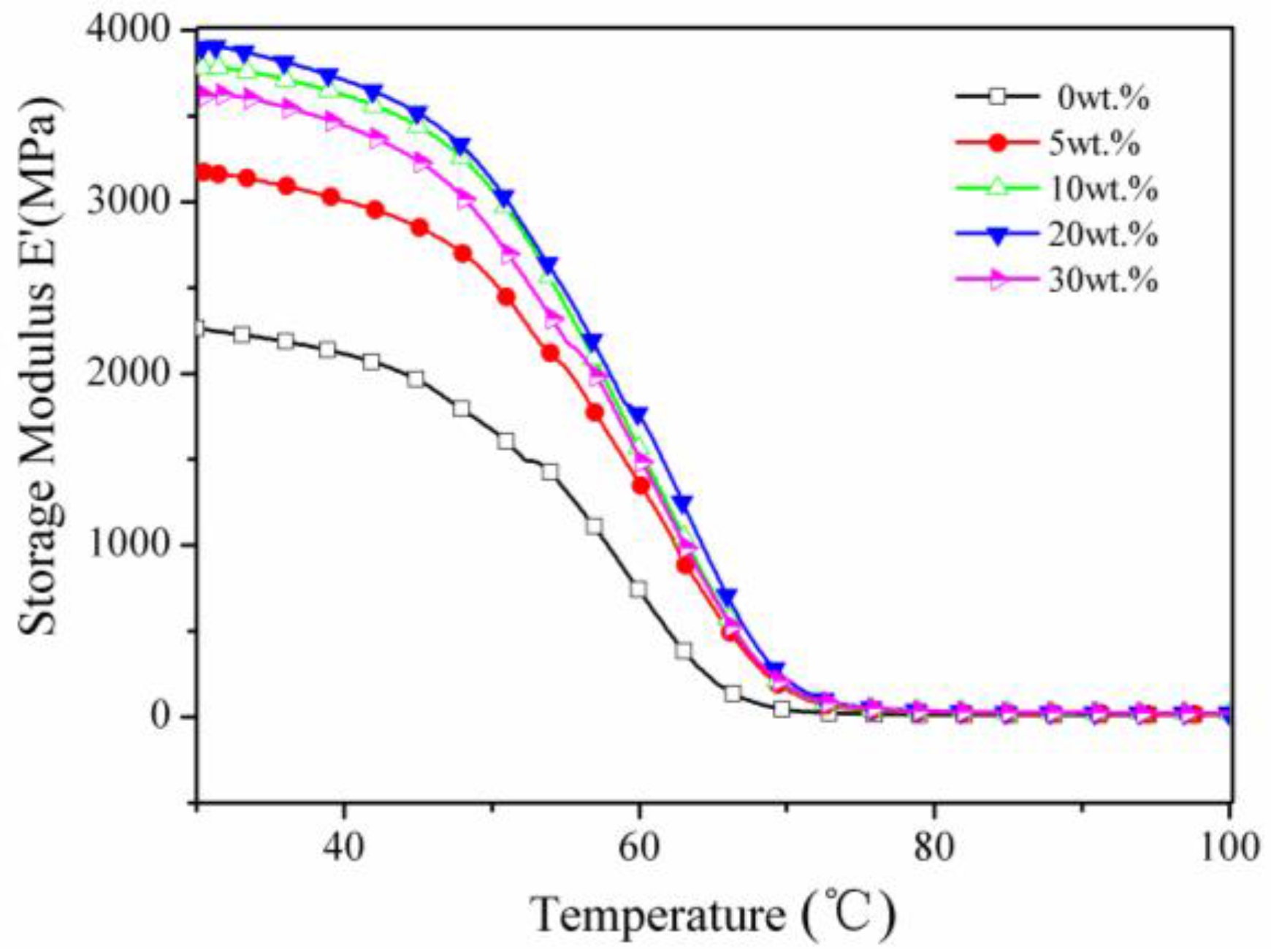
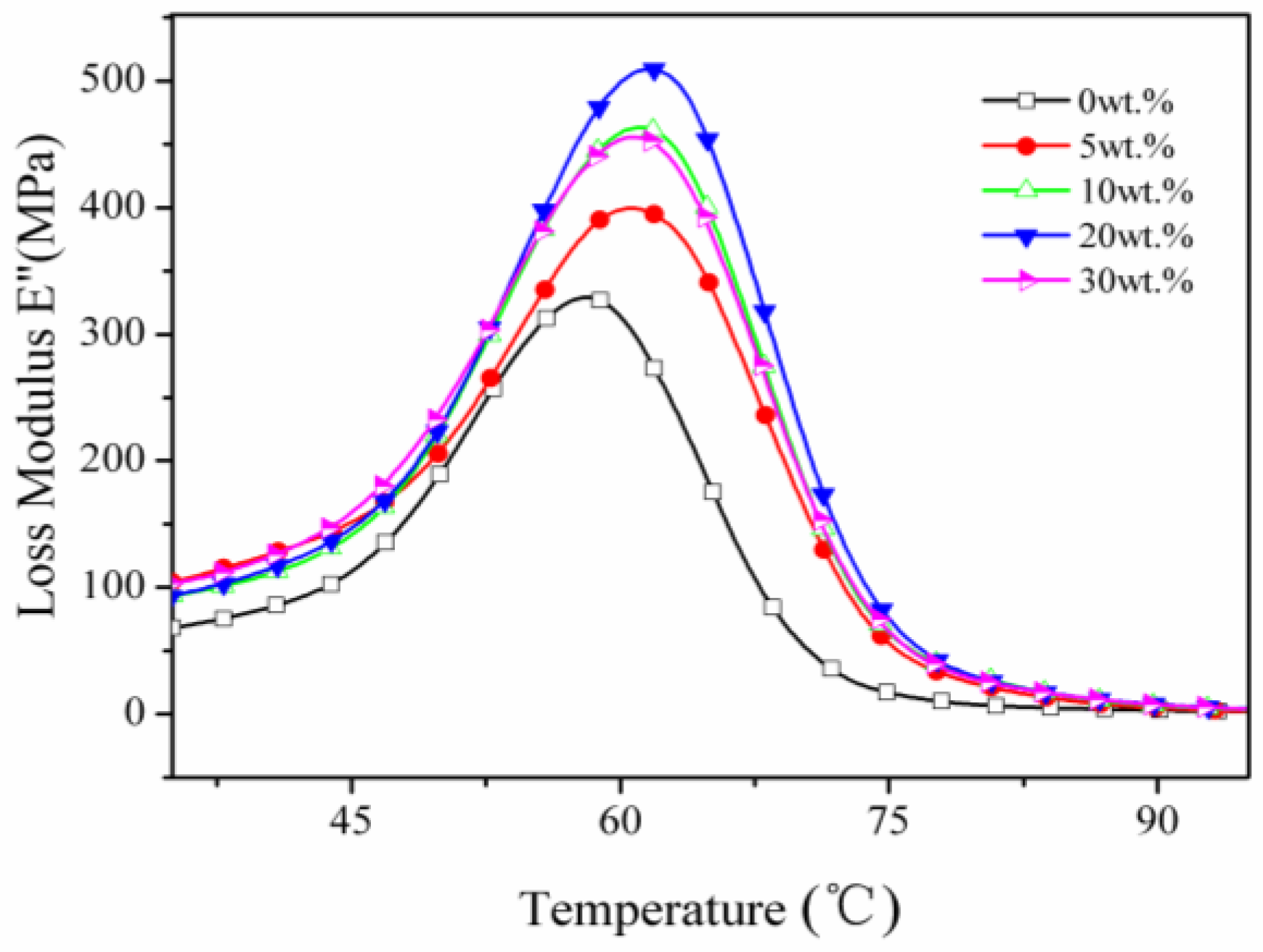
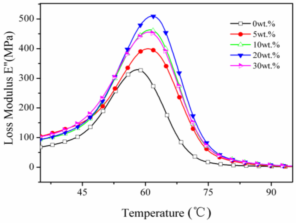
2.4. Dynamic Mechanical Properties
2.5. Heat Resistance Property
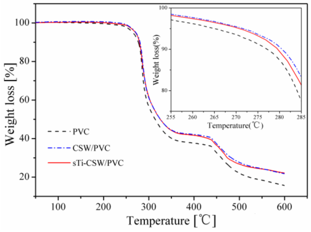
2.6. Thermal Properties
3. Materials and Methods
3.1. Materials
3.2. Preparation
3.2.1. Synthesis of Polar Polyether Titanate Coupling Agent
3.2.2. Preparation of sTi–CSW and sTi–CSW/PVC Composites
3.3. Characterization
3.3.1. Fourier Transform Infrared (FTIR) Spectroscopy
3.3.2. Mechanical Properties
3.3.3. Scanning Electron Microscopy
3.3.4. Dynamic Mechanical Analysis
3.3.5. Heat Resistance Analysis
3.3.6. Thermogravimetric Analysis
4. Conclusions
Acknowledgments
Author Contributions
Conflicts of Interest
References
- Fu, S.Y.; Feng, X.Q.; Lauke, B.; Mai, Y.W. Effects of particle size, particle/matrix interface adhesion and particle loading on mechanical properties of particulate-polymer composites. Compos. Part B Eng. 2008, 39, 933–961. [Google Scholar] [CrossRef]
- Wang, H.; Xie, G.; Yang, C.; Zheng, Y.; Ying, Z.; Ren, W.; Zeng, Y. Enhanced toughness of multilayer graphene filled poly(vinyl chloride) composites prepared using melt-mixing method. Polym. Compos. 2015. [Google Scholar] [CrossRef]
- Yanagase, A.; Ito, M.; Yamamoto, N.; Ishikawa, M. Effect of modifier characteristics on toughness of poly (vinyl chloride). J. Appl. Polym. Sci. 1996, 62, 1387–1393. [Google Scholar] [CrossRef]
- Wang, H.; Xie, G.; Ying, Z.; Tong, Y.; Zeng, Y. Enhanced Mechanical Properties of Multi-layer Graphene Filled Poly(vinyl chloride) Composite Films. J. Mater. Sci. Technol. 2015, 31, 340–344. [Google Scholar] [CrossRef]
- El-Shekeil, Y.A.; Sapuan, S.M.; Jawaid, M.; Al-Shuja’a, O.M. Influence of fiber content on mechanical, morphological and thermal properties of kenaf fibers reinforced poly(vinyl chloride)/thermoplastic polyurethane poly-blend composites. Mater. Design 2014, 58, 130–135. [Google Scholar] [CrossRef]
- Petchwattana, N.; Covavisaruch, S.; Pitidhammabhorn, D. Influences of water absorption on the properties of foamed poly(vinyl chloride)/rice hull composites. J. Polym. Res. 2013. [Google Scholar] [CrossRef]
- Mkhabela, V.J.; Mishra, A.K.; Mbianda, X.Y. Thermal and mechanical properties of phosphorylated multiwalled carbon nanotube/polyvinyl chloride composites. Carbon 2011, 49, 610–617. [Google Scholar] [CrossRef]
- Yazdani, H.; Smith, B.E.; Hatami, K. Multi-walled carbon nanotube-filled polyvinyl chloride composites: Influence of processing method on dispersion quality, electrical conductivity and mechanical properties. Compos. Part A 2016, 82, 65–77. [Google Scholar] [CrossRef]
- Yu, B.; Xu, X. Conductive properties and mechanism of polyvinyl chloride doped by a multi-walled carbon nanotube–polypyrrole nano-complex dopant. RSC Adv. 2014, 4, 3966–3973. [Google Scholar] [CrossRef]
- Chen, L.; Hong, Y.; Zhang, Y.; Qiu, J. Fabrication of polymer matrix composites reinforced with controllably oriented whiskers. J. Mater. Sci. 2000, 35, 5309–5312. [Google Scholar] [CrossRef]
- Chazeau, L.; Cavaille, J.; Terech, P. Mechanical behaviour above Tg of a plasticised PVC reinforced with cellulose whiskers; a SANS structural study. Polymer 1999, 40, 5333–5344. [Google Scholar] [CrossRef]
- Yuan, W.; Cui, J.; Cai, Y.; Xu, S. A novel surface modification for calcium sulfate whisker used for reinforcement of poly(vinyl chloride). J. Polym. Res. 2015, 22. [Google Scholar] [CrossRef]
- Sterky, K.; Jacobsen, H.; Jakubowicz, I.; Yarahmadi, N.; Hjertberg, T. Influence of processing technique on morphology and mechanical properties of PVC nanocomposites. Eur. Polym. J. 2010, 46, 1203–1209. [Google Scholar] [CrossRef]
- Madaleno, L.; Schjødt-Thomsen, J.; Pinto, J.C. Morphology, thermal and mechanical properties of PVC/MMT nanocomposites prepared by solution blending and solution blending+melt compounding. Compos. Sci. Technol. 2010, 70, 804–814. [Google Scholar] [CrossRef]
- Vadukumpully, S.; Paul, J.; Mahanta, N.; Valiyaveettil, S. Flexible conductive graphene/poly(vinyl chloride) composite thin films with high mechanical strength and thermal stability. Carbon 2011, 49, 198–205. [Google Scholar] [CrossRef]
- Yao, K.; Tan, H.; Lin, Y.; Zhang, G.; Gong, J.; Qiu, J.; Tang, T.; Na, H.; Jiang, Z. Effect of polystyrene long branch chains on melt behavior and foaming performance of poly(vinyl chloride)/graphene nanocomposites. RSC Adv. 2014, 4, 64053–64060. [Google Scholar] [CrossRef]
- Saadatabadi, N.M.; Nateghi, M.R.; Borhanizarandi, M. Fabrication and characterization of nanosilver intercalated graphene embedded poly(vinyl chloride)composite thin films. J. Polym. Res. 2014, 21. [Google Scholar] [CrossRef]
- Deshmukh, K.; Khatake, S.M.; Joshi, G.M. Surface properties of graphene oxide reinforced polyvinyl chloride nanocomposites. J. Polym. Res. 2013, 20. [Google Scholar] [CrossRef]
- Kemal, I.; Whittle, A.; Burford, R.; Vodenitcharova, T.; Hoffman, M. Toughening of unmodified polyvinylchloride through the addition of nanoparticulate calcium carbonate. Polymer 2009, 50, 4066–4079. [Google Scholar] [CrossRef]
- Xie, X.L.; Liu, Q.X.; Li, K.Y.; Zhou, X.P.; Zhang, Q.X.; Yu, Z.Z.; Mai, Y.W. Rheological and mechanical properties of PVC/CaCO3 nanocomposites prepared by in situ polymerization. Polymer 2004, 45, 6665–6673. [Google Scholar] [CrossRef]
- Conradi, M.; Zorko, M.; Jerman, I.; Orel, B.; Verpoest, I. Mechanical properties of high density packed silica/poly (vinyl chloride) composites. Polym. Eng. Sci. 2013, 53, 1448–1453. [Google Scholar] [CrossRef]
- Zhu, A.; Cai, A.; Zhou, W.; Shi, Z. Effect of flexibility of grafted polymer on the morphology and property of nanosilica/PVC composites. Appl. Surf. Sci. 2008, 254, 3745–3752. [Google Scholar] [CrossRef]
- Zhang, Z.; Wang, S.; Zhang, J. Large stabilizing effect of titanium dioxide on photodegradation of PVC/α-methylstyrene-acrylonitrile copolymer/impact modifier-matrix composites. Polym. Compos. 2014, 35, 2365–2375. [Google Scholar] [CrossRef]
- Zhang, Y.X.; Song, Y.H.; Zheng, Q. Mechanical and thermal properties of nanosized titanium dioxide filled rigid poly(vinyl chloride). Chin. J. Polym. Sci. 2012, 31, 325–332. [Google Scholar] [CrossRef]
- Feng, X.; Xing, W.; Song, L.; Hu, Y.; Liew, K.M. TiO2 loaded on graphene nanosheet as reinforcer and its effect on the thermal behaviors of poly(vinyl chloride) composites. Chem. Eng. J. 2015, 260, 524–531. [Google Scholar] [CrossRef]
- Wang, Y.; Li, Y.; Yuan, A.; Yuan, B.; Lei, X.; Ma, Q.; Han, J.; Wang, J.; Chen, J. Preparation of calcium sulfate whiskers by carbide slag through hydrothermal method. Cryst. Res. Technol. 2014, 49, 800–807. [Google Scholar] [CrossRef]
- Wang, G.; Qu, Z.; Liu, L.; Shi, Q.; Guo, J. Study of SMA graft modified MWNT/PVC composite materials. Mater. Sci. Eng. A 2008, 472, 136–139. [Google Scholar] [CrossRef]
- Zeng, X.F.; Wang, W.Y.; Wang, G.Q.; Chen, J.F. Influence of the diameter of CaCO3 particles on the mechanical and rheological properties of PVC composites. J. Mater. Sci. 2008, 43, 3505–3509. [Google Scholar] [CrossRef]
- Kim, H.; Miura, Y.; Macosko, C.W. Graphene/Polyurethane Nanocomposites for Improved Gas Barrier and Electrical Conductivity. Chem. Mater. 2010, 22, 3441–3450. [Google Scholar] [CrossRef]
- Altan, M.; Yildirim, H. Mechanical and Antibacterial Properties of Injection Molded Polypropylene/TiO2 Nano-Composites: Effects of Surface Modification. J. Mater. Sci. Technol. 2012, 28, 686–692. [Google Scholar] [CrossRef]
- Sun, S.; Li, C.; Zhang, L.; Du, H.; Burnell-Gray, J. Effects of surface modification of fumed silica on interfacial structures and mechanical properties of poly (vinyl chloride) composites. Eur. Polym. J. 2006, 42, 1643–1652. [Google Scholar] [CrossRef]
- Yun, S.; Song, Q.; Zhao, D.; Qian, G.; Li, X.; Li, W. Study on the inorganic–organic surface modification of potassium titanate whisker. Appl. Surf. Sci. 2012, 258, 4444–4448. [Google Scholar] [CrossRef]
- Wah, C.A.; Choong, L.Y.; Neon, G.S. Effects of titanate coupling agent on rheological behaviour, dispersion characteristics and mechanical properties of talc filled polypropylene. Eur. Polym. J. 2000, 36, 789–801. [Google Scholar] [CrossRef]
- Osman, M.A.; Atallah, A. Surfactant Chain Length and Tensile Properties of Calcium Carbonate—Polyethylene Composites. Macromol. Chem. Phys. 2007, 208, 87–93. [Google Scholar] [CrossRef]
- Patil, C.B.; Kapadi, U.R.; Hundiwale, D.G.; Mahulikar, P.P. Preparation and characterization of poly(vinyl chloride) calcium carbonate nanocomposites via melt intercalation. J. Mater. Sci. 2009, 44, 3118–3124. [Google Scholar] [CrossRef]
- Zhang, H. Effect of a novel coupling agent, alkyl ketene dimer, on the mechanical properties of wood–plastic composites. Mater. Design 2014, 59, 130–134. [Google Scholar] [CrossRef]
- Hu, J.; Jia, X.; Li, C.; Ma, Z.; Zhang, G.; Sheng, W.; Zhang, X.; Wei, Z. Effect of interfacial interaction between graphene oxide derivatives and poly(vinyl chloride) upon the mechanical properties of their nanocomposites. J. Mater. Sci. 2014, 49, 2943–2951. [Google Scholar] [CrossRef]
- Yuan, W.; Xu, S. Mechanical properties and interfacial interaction of modified calcium sulfate whisker/poly(vinyl chloride) composites. J. Mater. Sci. Technol. 2016. accepted. [Google Scholar]
- Auad, M.L.; Mosiewicki, M.A.; Uzunpinar, C.; Williams, R.J.J. Single-wall carbon nanotubes/epoxy elastomers exhibiting high damping capacity in an extended temperature range. Compos. Sci. Technol. 2009, 69, 1088–1092. [Google Scholar] [CrossRef]
- Lian, M.; Fan, J.; Shi, Z.; Li, H.; Yin, J. Kevlar®-functionalized graphene nanoribbon for polymer reinforcement. Polymer 2014, 55, 2578–2587. [Google Scholar] [CrossRef]
- Abu-Abdeen, M. Static and dynamic mechanical properties of poly(vinyl chloride) loaded with aluminum oxide nanopowder. Mater. Design 2012, 33, 523–528. [Google Scholar] [CrossRef]
- Yang, L.; Sun, D.; Li, Y.; Liu, G.; Gao, J. Properties of poly(vinyl chloride) blended with an emulsion copolymer of N-cyclohexylmaleimide and methyl methacrylate. J. Appl. Polym. Sci. 2003, 88, 201–205. [Google Scholar] [CrossRef]
- Yu, T.; Li, Y.; Ren, J. Preparation and properties of short natural fiber reinforced poly(lactic acid) composites. Trans. Nonferrous Metal. Soc. 2009, 19, s651–s655. [Google Scholar] [CrossRef]
- Djidjelli, H.S.T.; Benachour, D. Effect of plasticizer nature and content on the PVC stability and dielectric properties. J. Appl. Polym. Sci. 2000, 78, 685–691. [Google Scholar] [CrossRef]
- Benavides, R.C.B.; Castañeda, A.O.; López, G.M.; Arias, G. Different thermo-oxidative degradation routes in poly(vinyl chloride). Polym. Degrad. Stable 2001, 73, 417–423. [Google Scholar] [CrossRef]
- Bishay, I.K.; Abd-El-Messieh, S.L.; Mansour, S.H. Electrical, mechanical and thermal properties of polyvinyl chloride composites filled with aluminum powder. Mater. Design 2011, 32, 62–68. [Google Scholar] [CrossRef]
- Li, X.; Lei, B.; Lin, Z.; Huang, L.; Tan, S.; Cai, X. The utilization of bamboo charcoal enhances wood plastic composites with excellent mechanical and thermal properties. Mater. Design 2014, 53, 419–424. [Google Scholar] [CrossRef]
- Plastics. Determination of Tensile Properties; BS EN ISO 527-1:2012; The British Standards Institution: London, UK, 31 March 2012.
- Plastics. Determination of Charpy Impact Properties; BS EN ISO 179-1:2010; The British Standards Institution: London, UK, 31 July 2010.
- Plastics. Thermoplastic Materials—Determination of Vicat Softening Temperature; BS EN ISO 306:2004; The British Standards Institution: London, UK, 5 October 2004.












| Whisker Content (%) | 0 | 5 | 10 | 20 | 30 |
|---|---|---|---|---|---|
| CSW/PVC | 2263 | 2760 | 2871 | 2929 | 3540 |
| sTi–CSW/PVC | 2263 | 3172 | 3780 | 3900 | 3616 |
| Whisker Content (%) | 0 | 5 | 10 | 20 | 30 |
|---|---|---|---|---|---|
| CSW/PVC | 70.3 | 70.4 | 73.0 | 74.3 | 74.4 |
| sTi–CSW/PVC | 70.3 | 73.8 | 74.4 | 73.8 | 72.9 |
| Sample | Temperature (°C) | ||
|---|---|---|---|
| Tonset | Trpd | T50 | |
| Pristine PVC | 276 | 285 | 314 |
| CSW/PVC | 277 | 286 | 325 |
| sTi–CSW/PVC | 277 | 285 | 325 |
© 2016 by the authors; licensee MDPI, Basel, Switzerland. This article is an open access article distributed under the terms and conditions of the Creative Commons Attribution (CC-BY) license (http://creativecommons.org/licenses/by/4.0/).
Share and Cite
Yuan, W.; Lu, Y.; Xu, S. Synthesis of a New Titanate Coupling Agent for the Modification of Calcium Sulfate Whisker in Poly(Vinyl Chloride) Composite. Materials 2016, 9, 625. https://doi.org/10.3390/ma9080625
Yuan W, Lu Y, Xu S. Synthesis of a New Titanate Coupling Agent for the Modification of Calcium Sulfate Whisker in Poly(Vinyl Chloride) Composite. Materials. 2016; 9(8):625. https://doi.org/10.3390/ma9080625
Chicago/Turabian StyleYuan, Wenjin, Yunhua Lu, and Shiai Xu. 2016. "Synthesis of a New Titanate Coupling Agent for the Modification of Calcium Sulfate Whisker in Poly(Vinyl Chloride) Composite" Materials 9, no. 8: 625. https://doi.org/10.3390/ma9080625
APA StyleYuan, W., Lu, Y., & Xu, S. (2016). Synthesis of a New Titanate Coupling Agent for the Modification of Calcium Sulfate Whisker in Poly(Vinyl Chloride) Composite. Materials, 9(8), 625. https://doi.org/10.3390/ma9080625
