Uncertainty Evaluation of Weibull Estimators through Monte Carlo Simulation: Applications for Crack Initiation Testing
Abstract
:1. Introduction
2. Weibull Estimation
2.1. Weibull Distribution
2.2. Median Rank Regression
2.3. Maximum Likelihood Estimation
3. Monte Carlo Simulation
- True Weibull parameters: It is assumed that the inherent cracking probability is Weibull-distributed. If the standardized estimation errors were affected by the value of the true scale parameter (), only changing the time unit (e.g., hours to seconds) could affect standardized estimation errors. It is a contradiction. In fact, a scale parameter is just a scale factor. Therefore, standardized estimation errors are not affected by the value of [15]. Without loss of generality, can be fixed at 100, whereas the value of the true Weibull shape parameter () could affect the standardized estimation errors. To examine the degree of aging effects, several values of (2, 3, and 4) are examined. In earlier studies, the values of the Weibull shape parameter for crack initiation time range from 2 to ~4 [6,17,18,19].
- The number of specimens: The SCC initiation test for nuclear reactor materials requires a corrosive environment at high temperatures and pressures. Thus, simultaneously testing a large number of specimens is difficult. Therefore, the base number of test specimens is set at 10. To evaluate the effect of the number of specimens, additional cases were studied (see Table 2).
- Test duration: When planning the SCC test, cracking will not necessarily occur for every specimen within the available testing time. Thus, the test duration is also a factor affecting the uncertainty of Weibull estimators. For convenience, the baseline test duration is set at 120% of . Additional test duration cases are shown in Table 2.
- Censoring interval: A shorter censoring interval may be better for developing an accurate SCC initiation model. However, frequent censoring would be inconvenient for the experimenters. Therefore, the baseline censoring interval is set at 20% of . Other examined interval cases are shown in Table 2. Although time-dependent censoring intervals are more general for real cracking tests, it is assumed that censoring intervals do not vary with time. If we consider time-dependent censoring intervals, there are too many possible combinations of experimental conditions to perform a simulation study.
4. Results and Discussion
4.1. Fixed Test Duration
4.2. Fixed Censoring Interval
4.3. Fixed Number of Specimen
5. Conclusions
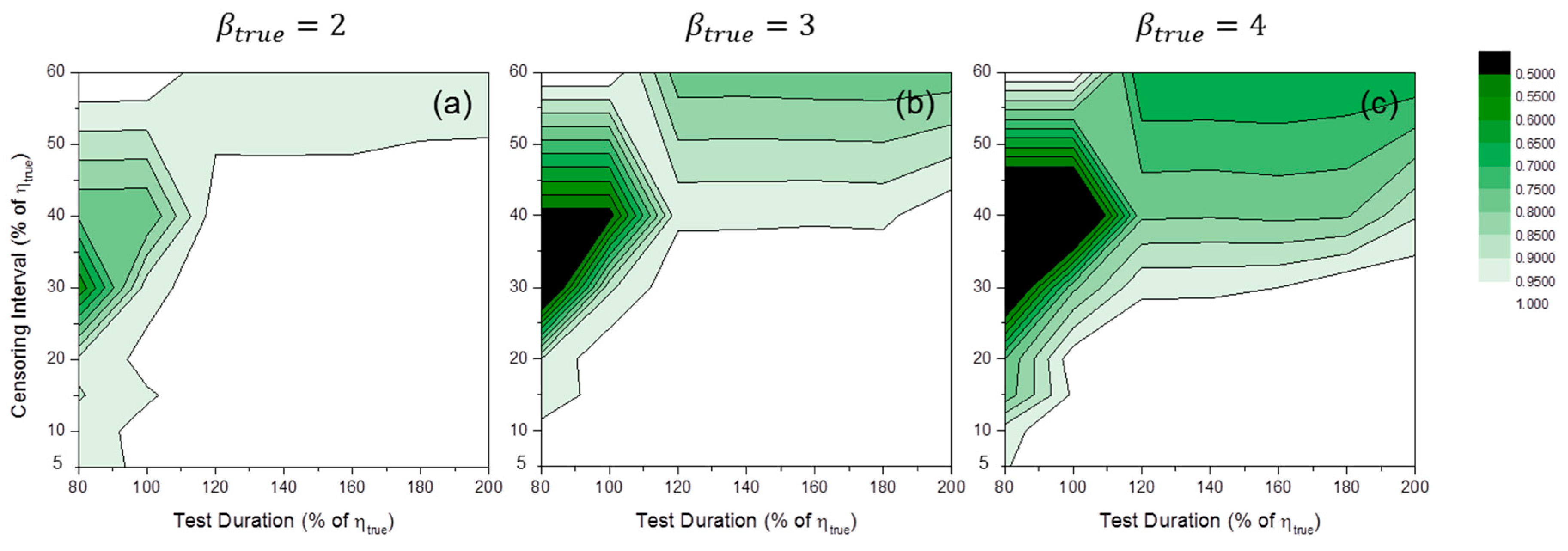
- It is possible to calculate the confidence interval and bias of estimators when the real cracking test conditions are given.
- Very little bias is observed in all simulation ranges when MLE is used to estimate the scale parameter .
- The overall deviations of are much lower than those of in the simulation study range. This effect is enlarged when the value of is relatively high. Therefore, it is not recommended to estimate from a cracking test when the experimental conditions are poor.
- It is likely that there are critical lines after which estimators whose variances are too large are produced. Near the critical lines, the gradients of are very high. It is recommended that experimenters avoid this region.
- Before the critical line region, too narrow censoring interval, or too long test duration, is not useful for reducing the estimation uncertainty.
6. Outlook
- In this study, it is assumed that censoring interval is time-independent variable. However, time-dependent censoring interval is more general for a real SCC test.
- The end cracking fraction seems more appropriate than the test duration for use as a factor of estimation uncertainty.
- To improve the convergence ratio of MLE, we will consider the numerical algorithm which restricts β > 1.
- If a cost function (e.g., specimen cost and labor cost) is obtained for an experiment, it will be possible to find out an optimum experimental condition which returns minimum estimation uncertainty with a given cost.
Supplementary Materials
Acknowledgments
Author Contributions
Conflicts of Interest
References
- Lunceford, W.; DeWees, T.; Scott, P. EPRI Materials Degradation Matrix, Rev. 3; 3002000628; EPRI: Palo Alto, CA, USA, 2013. [Google Scholar]
- Scott, P.; Meunier, M.-C. Materials Reliability Program: Review of Stress Corrosion Cracking of Alloys 182 and 82 in PWR Primary Water Service (MRP-220); Rep. No. 1015427; EPRI: Palo Alto, CA, USA, 2007. [Google Scholar]
- Kim, K.J.; Do, E.S. Technical Report: Inspection of Bottom Mounted Instrumentation Nozzle; KINS/RR-1360; Korea Institute of Nuclear Safety (KINS): Daejeon, Korea, 2015. (In Korean) [Google Scholar]
- Amzallag, C.; Hong, S.L.; Pages, C.; Gelpi, A. Stress corrosion life assessment of Alloy 600 PWR components. In Proceedings of the 9th International Symposium on Environmental Degradation of Materials in Nuclear Power Systems, Water Reactors 1999, Newport Beach, CA, USA, 1–5 August 1999.
- Garud, Y.S. Stress Corrosion Cracking Initiation Model for Stainless Steel and Nickel Alloys; 1019032; EPRI: Palo Alto, CA, USA, 2009. [Google Scholar]
- Erickson, M.; Ammirato, F.; Brust, B.; Dedhia, D.; Focht, E.; Kirk, M.; Lange, C.; Olsen, R.; Scott, P.; Shim, D.; et al. Models and Inputs Selected for Use in the xLPR Pilot Study; 1022528; EPRI: Palo Alto, CA, USA, 2011. [Google Scholar]
- Weibull, W. A Statistical Theory of the Strength of Materials; Generalstabens Litografiska Anstalts Förlag: Stockholm, Sweden, 1939. [Google Scholar]
- Eason, E. Materials Reliability Program: Effects of Hydrogen, pH, Lithium and Boron on Primary Water Stress Corrosion Crack Initiation in Alloy 600 for Temperatures in the Range 320–330 °C (MRP-147); 1012145; EPRI: Palo Alto, CA, USA, 2005. [Google Scholar]
- Hwang, I.S.; Kwon, S.U.; Kim, J.H.; Lee, S.G. An intraspecimen method for the statistical characterization of stress corrosion crack initiation behavior. Corrosion 2001, 57, 787–793. [Google Scholar] [CrossRef]
- McCool, J. Using the Weibull Distribution: Reliability, Modeling, and Inference; John Wiley & Sons: Hoboken, NJ, USA, 2012. [Google Scholar]
- Wadsworth, G.P.; Bryan, J.G. Introduction to Probability and Random Variables; McGraw-Hill: New York, NY, USA, 1960. [Google Scholar]
- Benard, A.; Bos-Levenbach, E.C. The plotting of observations on probability paper. Stat. Neerl. 1953, 7, 163–173. (In Dutch) [Google Scholar] [CrossRef]
- ReliaSoft Corporation. Life Data Analysis Reference Book (E-Book); ReliaSoft Corporation: Tucson, AZ, USA, 2014. [Google Scholar]
- Merkle, J.G.; Wallin, K.; McCabe, D.E. Technical Basis for an ASTM Standard on Determining the Reference Temperature, T0, for Ferritic Steels in the Transition Range; NUREG/CR-5504; USNRC: Washington, DC, USA, 1998. [Google Scholar]
- Genschel, U.; Meeker, W.Q. A comparison of maximum likelihood and median-rank regression for Weibull estimation. Qual. Eng. 2010, 22, 236–255. [Google Scholar] [CrossRef]
- Ross, S.M. Introduction to Probability and Statistics for Engineers and Scientists, 4th ed.; Elsevier Academic Press: Atlanta, GA, USA, 2009. [Google Scholar]
- Hong, J.D.; Jang, C.; Kim, T.S. PFM application for the PWSCC integrity of Ni-base alloy welds—Development and application of PINEP-PWSCC. Nucl. Eng. Technol. 2012, 44, 961–970. [Google Scholar] [CrossRef]
- Dozaki, K.; Akutagawa, D.; Nagata, N.; Takihuchi, H.; Norring, K. Effects of dissolved hydrogen condtent in PWR primary water on PWSCC initiation property. EJAM 2010, 2, 65–76. [Google Scholar]
- Garud, Y.S. SCC initiation model and its implementation for probabilistic assessment. In Proceedings of the ASME Pressure Vessels & Piping Division, Bellevue, WA, USA, 18–22 July 2010.
- Pradhan, B.; Kundu, D. Analysis of interval-censored data with Weibull lifetime distribution. Sankhya B 2014, 76, 120–139. [Google Scholar] [CrossRef]

















| Censoring Time (h) | Cracked Fraction | Median Rank |
|---|---|---|
| 100 | 0/6 | 0 |
| 250 | 0/6 | 0 |
| 500 | 1/6 | 0.1091 |
| 700 | 1/6 | 0.1091 |
| 900 | 3/6 | 0.4214 |
| 1200 | 6/6 | 0.8909 |
| True Weibull Parameter | Number of Specimens | Test Duration (% of ) | Censoring Interval (% of ) | |
|---|---|---|---|---|
| (Dimensionless Time) | ||||
| 100 | 2 | 5 | 80 | 5 |
| 3 | 7 | 100 | 10 | |
| 4 | 10 * | 120 * | 15 | |
| 15 | 140 | 20 * | ||
| 20 | 160 | 30 | ||
| 30 | 180 | 40 | ||
| 50 | 200 | 60 | ||
© 2016 by the authors; licensee MDPI, Basel, Switzerland. This article is an open access article distributed under the terms and conditions of the Creative Commons Attribution (CC-BY) license (http://creativecommons.org/licenses/by/4.0/).
Share and Cite
Park, J.P.; Bahn, C.B. Uncertainty Evaluation of Weibull Estimators through Monte Carlo Simulation: Applications for Crack Initiation Testing. Materials 2016, 9, 521. https://doi.org/10.3390/ma9070521
Park JP, Bahn CB. Uncertainty Evaluation of Weibull Estimators through Monte Carlo Simulation: Applications for Crack Initiation Testing. Materials. 2016; 9(7):521. https://doi.org/10.3390/ma9070521
Chicago/Turabian StylePark, Jae Phil, and Chi Bum Bahn. 2016. "Uncertainty Evaluation of Weibull Estimators through Monte Carlo Simulation: Applications for Crack Initiation Testing" Materials 9, no. 7: 521. https://doi.org/10.3390/ma9070521
APA StylePark, J. P., & Bahn, C. B. (2016). Uncertainty Evaluation of Weibull Estimators through Monte Carlo Simulation: Applications for Crack Initiation Testing. Materials, 9(7), 521. https://doi.org/10.3390/ma9070521

