The Photoluminescent Properties of New Cationic Iridium(III) Complexes Using Different Anions and Their Applications in White Light-Emitting Diodes
Abstract
:1. Introduction
2. Experimental Section
2.1. Synthesis and Fabrication

2.2. Characterization
3. Results and Discussion
3.1. UV-Vis Absorption Spectra

3.2. Photoluminescent Properties



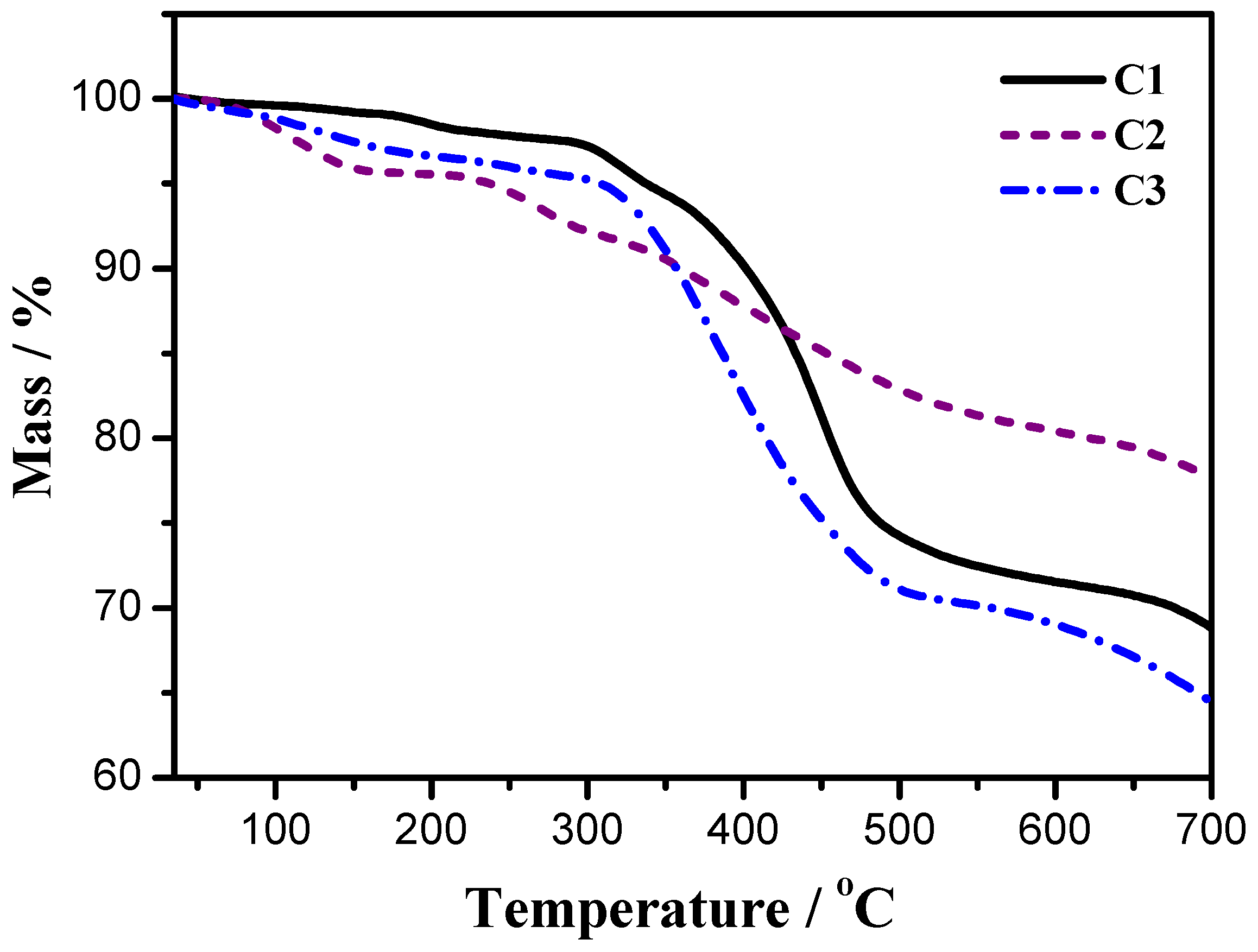
3.3. Thermal Stability

3.4. Fabrication and Performance of WLEDs

| LED | Mass ratio of Phosphor and Epoxy Resin | Tc (K) | Ra | Luminous Efficiency (Lm/W) | CIE (x, y) |
|---|---|---|---|---|---|
| only blue GaN chip | ‒ | 100000 | 49.5 | 12.91 | (0.13, 0.06) |
| YAG and blue GaN chip | 1:3 | 7338 | 74.7 | 14.61 | (0.29, 0.35) |
| C1 and blue GaN chip | 1:30 | 5912 | 82.0 | 10.61 | (0.32, 0.35) |
| C3 and blue GaN chip | 1:30 | 3717 | 82.6 | 11.41 | (0.40, 0.40) |
4. Conclusions
Supplementary Materials
Acknowledgments
Author Contributions
Conflicts of Interest
References
- Nakamura, S. III–V nitride based light-emitting devices. Solid State Commun. 1997, 102, 237–248. [Google Scholar] [CrossRef]
- Schubert, E.F.; Kim, J.K. Solid-state light sources getting smart. Science 2005, 308, 1274–1278. [Google Scholar] [CrossRef] [PubMed]
- Pimputkar, S.; Speck, J.S.; DenBaars, S.P.; Nakamura, S. Prospects for LED lighting. Nat. Photonics 2009, 3, 180–182. [Google Scholar] [CrossRef]
- Lee, S.; Seo, S.Y. Optimization of yttrium aluminum garnet: Ce3+ phosphors for white light-emitting diodes by combinatorial chemistry method. J. Electrochem. Soc. 2002, 149, J85–J88. [Google Scholar] [CrossRef]
- Lin, C.C.; Liu, R.S. Advances in phosphors for light-emitting diodes. J. Phys. Chem. Lett. 2011, 2, 1268–1277. [Google Scholar] [CrossRef] [PubMed]
- Jang, H.S.; Im, W.B.; Lee, D.C.; Jeon, D.Y.; Kim, S.S. Enhancement of red spectral emission intensity of Y3Al5O12:Ce3+phosphor via Pr Co-doping and Tb substitution for the application to white LEDs. J. Lumin. 2007, 126, 371–377. [Google Scholar] [CrossRef]
- Wang, X.; Zhou, G.; Zhang, H.L.; Li, H.; Zhang, Z.; Sun, Z. Luminescent properties of yellowish orange Y3Al5−xSixO12−xNx:Ce phosphors and their applications in warm white light-emitting diodes. J. Alloys Compd. 2012, 519, 149–155. [Google Scholar] [CrossRef]
- Kwak, H.H.; Kim, S.J.; Park, Y.S.; Yoon, H.H.; Park, S.J.; Choi, H.W. Photoluminescence characteristic of Ce3+-Eu3+ Co-doped Y3Al5O12 phosphor prepared by combustion method. Mol. Cryst. Liq. Cryst. 2009, 513, 106–113. [Google Scholar] [CrossRef]
- He, P.; Wang, H.; Liu, S.; Shi, J.; Wang, G.; Gong, M. Effect of different alkyl groups at the N-position on the luminescence of carbazole-based β-diketonate europium (III) complexes. J. Phys. Chem. A 2009, 113, 12885–12890. [Google Scholar] [CrossRef] [PubMed]
- Shao, G.; Zhang, N.; Lin, D.; Feng, K.; Cao, R.; Gong, M. A new europium(III)-β-diketonate complex based on diphenylethyne as red phosphors applied in LED. J. Lumin. 2013, 138, 195–200. [Google Scholar] [CrossRef]
- Wang, H.; He, P.; Liu, S.; Shi, J.; Gong, M. New multinuclear europium(III) complexes as phosphors applied in fabrication of near UV-based light-emitting diodes. Inorg. Chem. Commun. 2010, 13, 145–148. [Google Scholar] [CrossRef]
- Luo, Y.; Yan, Q.; Zhang, Z.; Yu, X.; Wu, W.; Su, W.; Zhang, Q. White LED based on poly(N-vinylcarbazole) and lanthanide complexes ternary co-doping system. J. Photochem. Photobiol. A Chem. 2009, 206, 102–108. [Google Scholar] [CrossRef]
- Yan, H.; Wang, H.; He, P.; Shi, J.; Gong, M. An efficient bonding-type Eu-containing copolymer as red phosphor applied in LED. Inorg. Chem. Commun. 2011, 14, 1065–1068. [Google Scholar] [CrossRef]
- Jin, J.-Y.; Kim, Y.-M.; Lee, S.-H.; Lee, Y.-S. Synthesis of an acrylic copolymer bearing fluorescent dye pendants and characterization as a luminescence conversion material in fabrication of a luminescence conversion light-emitting diode. Synth. Met. 2009, 159, 1804–1808. [Google Scholar] [CrossRef]
- Jin, J.-Y.; Kim, H.-G.; Hong, C.-H.; Suh, E.-K.; Lee, Y.-S. White light emission from a blue LED, combined with a sodium salt of fluorescein dye. Synth. Met. 2007, 157, 138–141. [Google Scholar] [CrossRef]
- Jin, J.-Y.; Lee, H.-Y.; Lee, S.-H.; Ko, S.-B.; Zong, K.; Lee, Y.-S. InGaN/bivalent fluorescein salt luminescence conversion light-emitting diode: Stability and photochemical reaction. J. Lumin. 2007, 127, 665–670. [Google Scholar] [CrossRef]
- Costa, R.D.; Ortί, E.; Bolink, H.J.; Monti, F.; Accorsi, G.; Armaroli, N. Luminescent ionic transition-metal complexes for light-emitting electrochemical cells. Angew. Chem. Int. Ed. 2012, 51, 8178–8211. [Google Scholar] [CrossRef] [PubMed]
- Su, H.-C.; Chen, H.-F.; Fang, F.-C.; Liu, C.-C.; Wu, C.-C.; Wong, K.-T.; Liu, Y.-H.; Peng, S.-M. Solid-state white light-emitting electrochemical cells using iridium-based cationic transition metal complexes. J. Am. Chem. Soc. 2008, 130, 3413–3419. [Google Scholar] [CrossRef] [PubMed]
- Su, H.-C.; Fang, F.-C.; Hwu, T.-Y.; Hsieh, H.-H.; Chen, H.-F.; Lee, G.-H.; Peng, S.-M.; Wong, K.-T.; Wu, C.-C. Highly efficient orange and green solid-state light-emitting electrochemical cells based on cationic IrIII complexes with enhanced steric hindrance. Adv. Funct. Mater. 2007, 17, 1019–1027. [Google Scholar] [CrossRef]
- Tang, H.; Li, Y.; Chen, Q.; Chen, B.; Qiao, Q.; Yang, W.; Wu, H.; Cao, Y. Efficient yellow—Green light-emitting cationic iridium complexes based on 1,10-phenanthroline derivatives containing oxadiazole-triphenylamine unit. Dyes Pigments 2014, 100, 79–86. [Google Scholar] [CrossRef]
- Zhang, F.; Duan, L.; Qiao, J.; Dong, G.; Wang, L.; Qiu, Y. Solution-processed blue—Green organic light-emitting diodes based on cationic iridium complexes with 1-pyridyl-3-methylimidazolin-2-ylidene-C,C20 as the ancillary ligand. Org. Electron. 2012, 13, 1277–1288. [Google Scholar] [CrossRef]
- Tang, H.; Li, Y.; Zhao, B.; Yang, W.; Wu, H.; Cao, Y. Two novel orange cationic iridium(III) complexes with multifunctional ancillary ligands used for polymer light-emitting diodes. Org. Electron. 2012, 13, 3211–3219. [Google Scholar] [CrossRef]
- Fernández-Hernández, J.M.; Yang, C.-H.; Beltrán, J.I.; Lemaur, V.; Polo, F.; Fröhlich, R.; Cornil, J.; de Cola, L. Control of themutual arrangement of cyclometalated ligands in cationic iridium(III) complexes. synthesis, spectroscopy, and electroluminescence of the different isomers. J. Am. Chem. Soc. 2011, 133, 10543–10558. [Google Scholar] [CrossRef] [PubMed]
- Sun, C.-Y.; Wang, X.-L.; Zhang, X.; Qin, C.; Li, P.; Su, Z.-M.; Zhu, D.-X.; Shan, G.-G.; Shao, K.-Z.; Wu, H.; et al. Efficient and tunable white-light emissionof metal—Organic frameworks byiridium-complex encapsulation. Nat. Commun. 2013, 4. [Google Scholar] [CrossRef] [PubMed]
- Medina-Castillo, A.L.; Fernández-Sánchez, J.F.; Klein, C.; Nazeeruddin, M.K.; Segura-Carretero, A.; Fernández-Gutiérrez, A.; Graetzelc, M.; Spichiger-Kellerb, U.E. Engineering of efficient phosphorescent iridium cationic complex for developing oxygen-sensitive polymeric and nanostructured films. Analyst 2007, 132, 929–936. [Google Scholar] [CrossRef] [PubMed]
- De Queiroz, T.B.; Botelho, M.B.S.; Fernández-Hernández, J.M.; Eckert, H.; Albuquerque, R.Q.; de Camargo, A.S.S. New luminescent host—Guest system based on an iridium(III) complex: Design, synthesis, and theoretical—Experimentalspectroscopic characterization. J. Phys. Chem. C 2013, 117, 2966–2975. [Google Scholar] [CrossRef]
- He, L.; Duan, L.; Qiao, J.; Wang, R.; Wei, P.; Wang, L.; Qiu, Y. Blue-emitting cationic iridium complexes with 2-(1H-pyrazol-1-yl) pyridine as the ancillary ligand for efficient light-emitting electrochemical cells. Adv. Funct. Mater. 2008, 18, 2123–2131. [Google Scholar] [CrossRef]
- Ikesue, A.; Kinoshita, T.; Kammata, K.; Yoshida, K. Fabrication and optical properties of high-performance polycrystalline Nd: YAG ceramics for solid-state lasers. J. Am. Ceram. Soc. 1995, 78, 225–228. [Google Scholar] [CrossRef]
- Lamansky, S.; Djurovich, P.; Murphy, D.; Abdel-Razzaq, F.; Lee, H.-E.; Adachi, C.; Burrows, P.E.; Forrest, S.R.; Thompson, M.E. Highly phosphorescent bis-cyclometalated iridium complexes: Synthesis, photophysical characterization, and use in organic light emitting diodes. J. Am. Chem. Soc. 2001, 123, 4304–4312. [Google Scholar] [CrossRef] [PubMed]
- Wong, W.-Y.; Zhou, G.-J.; Yu, X.-M.; Kwok, H.-S.; Lin, Z.-Y. Efficient organic light-emitting diodes based on sublimable charged iridium phosphorescent emitters. Adv. Funct. Mater. 2007, 17, 315–323. [Google Scholar] [CrossRef]
- Yu, X.-M.; Kwok, H.-S.; Wong, W.-Y.; Zhou, G.-J. High-efficiency white organic lightemitting devices based on a highly amorphous iridium(III) orange phosphor. Chem. Mater. 2006, 18, 5097–5103. [Google Scholar] [CrossRef]
- Lowry, M.S.; Hudson, W.R.; Pascal, R.A., Jr.; Bernhard, S. Accelerated luminophore discovery through combinatorial synthesis. J. Am. Chem. Soc. 2004, 126, 14129–14135. [Google Scholar] [CrossRef] [PubMed]
- Tamayo, A.B.; Garon, S.; Sajoto, T.; Djurovich, P.I.; Tsyba, I.M.; Bau, R.; Thompson, M.E. Cationic bis-cyclometalated iridium(III) diimine complexes and their use in efficient blue, green, and red electroluminescent devices. Inorg. Chem. 2005, 44, 8723–8732. [Google Scholar] [CrossRef] [PubMed]
- Wang, H.; He, P.; Liu, S.; Shi, J.; Gong, M. A europium(III) organic ternary complex applied in fabrication of near UV-based white light-emitting diodes. Appl. Phys. B 2009, 97, 481–487. [Google Scholar] [CrossRef]
- Patil, K.C.; Secco, E.A. Metal halide ammines. III. Thermal analyses and calorimetry of fluorosilicateammines and hydrates of bivalent metals. Infrared spectra of the ammines. Can. J. Chem. 1975, 53, 2426–2429. [Google Scholar] [CrossRef]
- Mu, P.; Wang, R.; Zhao, L.; Zhu, Z.; Guo, Y. Studies on the non-isothermal kinetics of thermal decomposition of binuclear europium m-methyl benzoate ternary complex with 1,10-phenanthroline. Thermochim. Acta 1997, 306, 77–80. [Google Scholar] [CrossRef]
© 2015 by the authors; licensee MDPI, Basel, Switzerland. This article is an open access article distributed under the terms and conditions of the Creative Commons Attribution license (http://creativecommons.org/licenses/by/4.0/).
Share and Cite
Yang, H.; Meng, G.; Zhou, Y.; Tang, H.; Zhao, J.; Wang, Z. The Photoluminescent Properties of New Cationic Iridium(III) Complexes Using Different Anions and Their Applications in White Light-Emitting Diodes. Materials 2015, 8, 6105-6116. https://doi.org/10.3390/ma8095296
Yang H, Meng G, Zhou Y, Tang H, Zhao J, Wang Z. The Photoluminescent Properties of New Cationic Iridium(III) Complexes Using Different Anions and Their Applications in White Light-Emitting Diodes. Materials. 2015; 8(9):6105-6116. https://doi.org/10.3390/ma8095296
Chicago/Turabian StyleYang, Hui, Guoyun Meng, Yayun Zhou, Huaijun Tang, Jishou Zhao, and Zhengliang Wang. 2015. "The Photoluminescent Properties of New Cationic Iridium(III) Complexes Using Different Anions and Their Applications in White Light-Emitting Diodes" Materials 8, no. 9: 6105-6116. https://doi.org/10.3390/ma8095296
APA StyleYang, H., Meng, G., Zhou, Y., Tang, H., Zhao, J., & Wang, Z. (2015). The Photoluminescent Properties of New Cationic Iridium(III) Complexes Using Different Anions and Their Applications in White Light-Emitting Diodes. Materials, 8(9), 6105-6116. https://doi.org/10.3390/ma8095296
