Surfactant-mediated Biodegradation of Polycyclic Aromatic Hydrocarbons
Abstract
:Prologue
| Name of PAH | Molecular structure |
|---|---|
| Naphthalene | ![]() |
| Phenanthrene | ![]() |
| Anthracene | ![]() |
| Pyrene | ![]() |
| Benz[b]anthracene | ![]() |
| Triphenylene | ![]() |
| Pentacene | ![]() |
| Benzo[a]pyrene | ![]() |
| Coronene | ![]() |
1. Solubilization by surfactant

2. Delivery of solubilized substrates into cells

3. Effects of surfactants on biodegradation of PAHs
| Ref. | PAH | Surfactants | Microorganism | Effects | Explanation |
|---|---|---|---|---|---|
| [27] | Naphthalene | Brij30, Triton X-100 | RET-PA-101(mixed culture isolated from contaminated wastes and soils) | + | Surfactants enhanced solubilization |
| [54] | Naphthalene | Triton X-100, PLE10 | Pseudomonas strain 8909N | + | Surfactants enhanced dissolution |
| [19] | Naphthalene and Phenanthrene | Triton X-100 | Pseudomonas strain 9816/11, Sphingomonas yanoikuyae B8/36 | + - | Surfactant had different effects on activity of different bacteria |
| [51] | Phenanthrene | Triton X-100 SDS, Tween 80 Tween 20 | Pseudomonas sp. ZJF08 | + + - | Tween 20 was negative due to its preferable degradation by bacteria |
| [55] | Phenanthrene | Tergitol NP-10 | Pseudomonas stutzeri P16 | + | Surfactant increased dissolution rate of phenanthrene |
| [56] | Phenanthrene | Alfonic 810-60 Novel II 1412-56 | Phenanthrene-degrading enrichment culture | + + | Surfactant enhanced adsorption of phenanthrene |
| [18] | Pyrene Fluoranthene Benzo[a]pyrene | Brij 35 Igepal CA-630 Triton X-100 Tergitol NP-10 Tyloxapol | Stenotrophomonas maltophilia VUN 10,010 | + - + + + | Igepal CA-630 inhibited bacterial growth |
| [57] | Phenanthrene | Tween 20, SDS, TTAB, Citrikleen | pseudomonas aeruginosa | - | Toxicity of surfactant and solubilized substrate to bacteria |
| [58] | Naphthalene and Phenanthrene | SDS, SDBS T-maz-80, CA-620 | Microorganism acclimated to naphthalene | -, 0 | Competitive degradation between surfactants and PAHs |
| [59] | Phenanthrene and Pyrene | Tween 80 | Agropyron elongatum | + | Surfactant enhanced solubilization |
| [60] | Anthracene | Biosurfactant | Bacillus circulans | + | Enhanced solubilization |
| [61] | Naphthalene, Phenanthrene, Pyrene, Fluoranthene | Tween 80 | Phenanthrene degrading consortium | + | Increased solubility |
| [3] | Fluoranthene | Tween 80 and JBR (biosurfactant) | Pseudomonas alcaligenes PA-10 | + | Enhanced desorption of PAH from soil |
| [62] | Naphthalene and Phenanthrene | Brij 30, Tween 80 and Triton X-100 | Cultures isolated from wastewater site | + | Enhanced solubilization of PAHs |
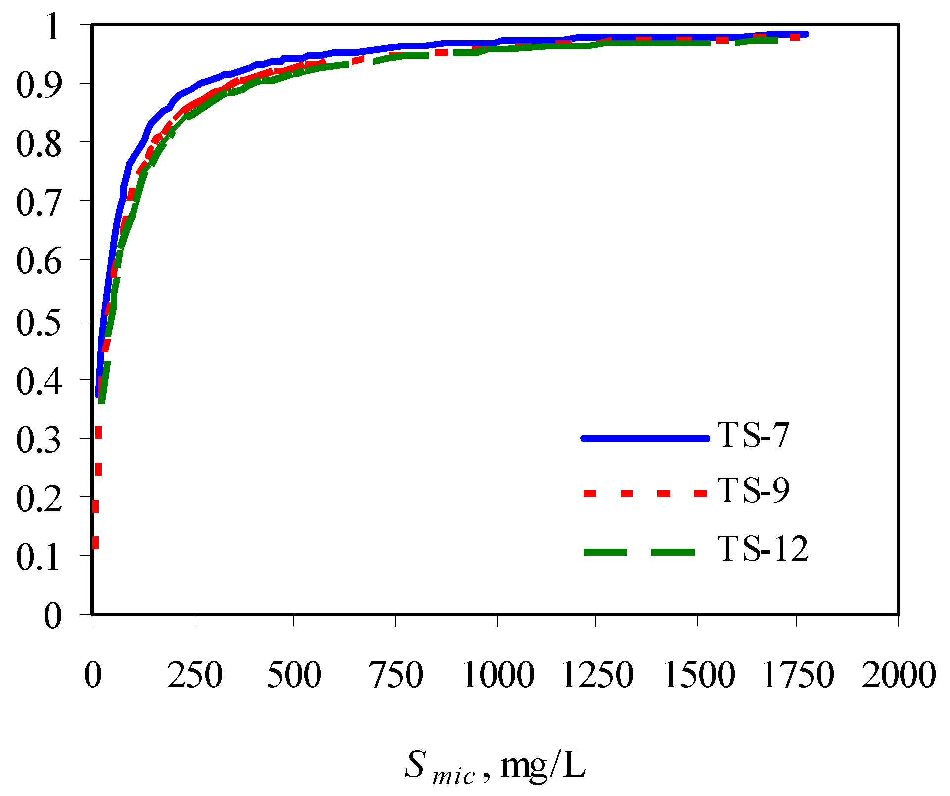
| [5, 63] | Phenanthrene | Tergitol 15-S-X (X=7,9 and 12) | Neptunomonas naphthovorans | +/- | High surfactant concentration was not beneficial to bacteria |
| [64] | Pyrene | Tween 80 | Penicillium sp. | + | Surfactant enhanced desorption |
| [31] | Pyrene, Fluoranthene, and Phenanthrene | Tween 80 | Sphingomonas paucimobilis EPA 505 | + | Direct transport of PAHs from micelles to cells |
| [65] | Anthracene, phenanthrene, and naphthalene | Microemulsion formed by Triton X-100 and oils | Escherichia coil JM109 (pPS1778) recombinant strain | + | Enhanced solulization |
| [6] | phenanthrene | SDS mixed with Brij 35, Tween80, and Triton X-100 | Bacteria isolated from activated sludge | + | Enhanced solubilization and biodegradation of phenanthrene |
| [33] | phenanthrene | Biosurfactant rhamnolipids | Pseudomonas putida CRE 7 | + | Increased bioavailability by surfactant |
| [66] | phenanthrene | Brij 30 and Brij 35 Triton X100 and Triton N101 | Mixed culture | - | Low bioavailability of substrate in micelles |
4. Mechanisms of surfactant effects on biodegradation of PAHs
4.1. Toxicity of surfactants
![]() |
| Polyethylene glycol dodecyl ether (Brij 30) (nonionic) |
![]() |
| Sodium dodecyl sulfate (SDS) (anionic) |
![]() |
| Hexadecyltrimethylammonium bromide (CTAB) (cationic) |
| C12H25N+(CH3)2CH2COO- |
| N-Dodecylbetaine (zwitterionic) |
4.2. Biodegradation of surfactants
4.3. Bioavailability of solubilized PAHs

4.4. Toxicity of PAHs at high concentrations due to solublization
5. Ways to reduce the negative effects of surfactants
5.1. Biosurfactants as alternatives to synthetic surfactants
5.2. Enhancing surfactant tolerance of microorganisms
5.3. Selection of suitable combinations of surfactant and microorganisms
Summary
References and Notes
- Cort, T.L.; Song, M.S.; Bielefeldt, A.R. Nonionic surfactant effects on pentachlorophenol biodegradation. Wat. Res. 2002, 36, 1253–1261. [Google Scholar] [CrossRef]
- Seo, Y.; Bishop, P.L. Influence of nonionic surfactant on attached biofilm formation and phenanthrene bioavailability during simulated surfactant enhanced bioremediation. Environ. Sci. Technol. 2007, 41, 7107–7113. [Google Scholar] [CrossRef] [PubMed]
- Hickey, A.M.; Gordon, L.; Dobson, A.D.W.; Kelly, C.T.; Doyle, E.M. Effect of surfactants on fluoranthene degradation by Pseudomonas alcaligenes PA-10. Appl. Microbiol. Biotechnol. 2007, 74, 851–856. [Google Scholar] [CrossRef] [PubMed]
- Shin, K.H.; Kim, K.W.; Ahn, Y. Use of biosurfactant to remediate phenanthrene-contaminated soil by the combined solubilization-biodegradation process. J. Hazard. Mater. 2006, 137, 1831–1837. [Google Scholar] [CrossRef] [PubMed]
- Li, J.L.; Bai, R.B. Effect of a commercial alcohol ethoxylate surfactant (C11-15E7) on biodegradation of phenanthrene in a saline water medium by Neptunomonas naphthovorans. Biodegradation 2005, 16, 57–65. [Google Scholar] [CrossRef] [PubMed]
- Zhao, B.W.; Zhu, L.Z.; Li, W.; Chen, B.L. Solubilization and biodegradation of phenanthrene in mixed anionic-nonionic surfactant solutions. Chemosphere 2005, 58, 33–40. [Google Scholar] [CrossRef] [PubMed]
- Mulligan, C.N.; Yong, R.N.; Gibbs, B.F. Surfactant-enhanced remediation of contaminated soil: A review. Eng. Geol. 2001, 60, 371–380. [Google Scholar] [CrossRef]
- Rosen, M.J. Surfactants and Interfacial Phenomena; Wiley: New York, 1989. [Google Scholar]
- Edwards, D.A.; Luthy, R.G.; Liu, Z.B. Solubilization of polycyclic aromatic-hydrocarbons in micellar nonionic surfactant solutions. Environ. Sci. Technol. 1991, 25, 127–133. [Google Scholar] [CrossRef]
- Diallo, M.S.; Abriola, L.M.; Weber, W.J. Solubilization of nonaqueous phase liquid hydrocarbons in micellar solutions of dodecyl alcohol ethoxylates. Environ. Sci. Technol. 1994, 28, 1829–1837. [Google Scholar] [CrossRef] [PubMed]
- Pennell, K.D.; Adinolfi, A.M.; Abriola, L.M.; Diallo, M.S. Solubilization of dodecane, tetrachloroethylene, and 1,2-dichlorobenzene in micellar solutions of ethoxylated nonionic surfactants. Environ. Sci. Technol. 1997, 31, 1382–1389. [Google Scholar] [CrossRef]
- Volkering, F.; Breure, A.M.; Vanandel, J.G.; Rulkens, W.H. Influence of nonionic surfactants on bioavailability and biodegradation of polycyclic aromatic-hydrocarbons. Appl. Environ. Microbiol. 1995, 61, 1699–1705. [Google Scholar] [PubMed]
- Tiehm, A. Degradation of polycyclic aromatic-hydrocarbons in the presence of synthetic surfactants. Appl. Environ. Microbiol. 1994, 60, 258–263. [Google Scholar] [PubMed]
- Guha, S.; Jaffe, P.R.; Peters, C.A. Bioavailability of mixtures of PAHs partitioned into the micellar phase of a nonionic surfactant. Environ. Sci. Technol. 1998, 32, 2317–2324. [Google Scholar] [CrossRef]
- Guha, S.; Jaffe, P.R. Bioavailability of hydrophobic compounds partitioned into the micellar phase of nonionic surfactants. Environ. Sci. Technol. 1996, 30, 1382–1391. [Google Scholar] [CrossRef]
- Guha, S.; Jaffe, P.R. Biodegradation kinetics of phenanthrene partitioned into the micellar phase of nonionic surfactants. Environ. Sci. Technol. 1996, 30, 605–611. [Google Scholar] [CrossRef]
- Grimberg, S.J.; Nagel, J.; Aitken, M.D. Kinetics of phenanthrene dissolution into water in the presence of nonionic surfactants. Environ. Sci. Technol. 1995, 29, 1480–1487. [Google Scholar] [CrossRef] [PubMed]
- Boonchan, S.; Britz, M.L.; Stanley, G.A. Surfactant-enhanced biodegradation of high molecular weight polycyclic aromatic hydrocarbons by Stenotrophomonas maltophilia. Biotechnol. Bioeng. 1998, 59, 482–494. [Google Scholar] [CrossRef] [PubMed]
- Allen, C.C.R.; Boyd, D.R.; Hempenstall, F.; Larkin, M.J.; Sharma, N.D. Contrasting effects of a nonionic surfactant on the biotransformation of polycyclic aromatic hydrocarbons to cis-dihydrodiols by soil bacteria. Appl. Environ. Microbiol. 1999, 65, 1335–1339. [Google Scholar] [PubMed]
- Pennell, K.D.; Abriola, L.M.; Weber, W.J. Surfactant-enhanced solubilization of residual dodecane in soil columns.1. Experimental investigation. Environ. Sci. Technol. 1993, 27, 2332–2340. [Google Scholar] [CrossRef]
- Yeom, I.T.; Ghosh, M.M.; Cox, C.D. Kinetic aspects of surfactant solubilization of soil-bound polycyclic aromatic hydrocarbons. Environ. Sci. Technol. 1996, 30, 1589–1595. [Google Scholar] [CrossRef]
- Johnson, J.C.; Sun, S.B.; Jaffe, P.R. Surfactant enhanced perchloroethylene dissolution in porous media: The effect on mass transfer rate coefficients. Environ. Sci. Technol. 1999, 33, 1286–1292. [Google Scholar] [CrossRef]
- Billingsley, K.A.; Backus, S.M.; Wilson, S.; Singh, A.; Ward, O.P. Remediation of PCBs in soil by surfactant washing and biodegradation in the wash by Pseudomonas sp LB400. Biotechnol. Lett. 2002, 24, 1827–1832. [Google Scholar] [CrossRef]
- Garon, D.; Krivobok, S.; Wouessidjewe, D.; Seigle-Murandi, F. Influence of surfactants on solubilization and fungal degradation of fluorene. Chemosphere 2002, 47, 303–309. [Google Scholar] [CrossRef] [PubMed]
- Guerin, W.F.; Jones, G.E. Mineralization of phenanthrene by a mycobacterium Sp. Appl. Environ. Microbiol. 1988, 54, 937–944. [Google Scholar] [PubMed]
- Bury, S.J.; Miller, C.A. Effect of micellar solubilization on biodegradation rates of hydrocarbons. Environ. Sci. Technol. 1993, 27, 104–110. [Google Scholar] [CrossRef]
- Liu, Z.B.; Jacobson, A.M.; Luthy, R.G. Biodegradation of naphthalene in aqueous nonionic surfactant systems. Appl. Environ. Microbiol. 1995, 61, 145–151. [Google Scholar] [PubMed]
- Madsen, T.; Kristensen, P. Effects of bacterial inoculation and nonionic surfactants on degradation of polycyclic aromatic hydrocarbons in soil. Environ. Toxicol. Chem. 1997, 16, 631–637. [Google Scholar] [CrossRef]
- Bardi, L.; Mattei, A.; Steffan, S.; Marzona, M. Hydrocarbon degradation by a soil microbial population with beta-cyclodextrin as surfactant to enhance bioavailability. Enzyme Microb. Technol. 2000, 27, 709–713. [Google Scholar] [CrossRef] [PubMed]
- Schippers, C.; Gessner, K.; Muller, T.; Scheper, T. Microbial degradation of phenanthrene by addition of a sophorolipid mixture. J. Biotechnol. 2000, 83, 189–198. [Google Scholar] [CrossRef]
- Prak, D.J.L.; Pritchard, P.H. Degradation of polycyclic aromatic hydrocarbons dissolved in Tween 80 surfactant solutions by Sphingomonas paucimobilis EPA 505. Can. J. Microbiol. 2002, 48, 151–158. [Google Scholar] [CrossRef] [PubMed]
- Rodriguez, S.; Bishop, P.L. Enhancing the biodegradation of polycyclic aromatic hydrocarbons: Effects of nonionic surfactant addition on biofilm function and structure. J. Environ. Eng.-Asce 2008, 134, 505–512. [Google Scholar] [CrossRef]
- Zhang, Y.M.; Maier, W.J.; Miller, R.M. Effect of rhamnolipids on the dissolution, bioavailability and biodegradation of phenanthrene. Environ. Sci. Technol. 1997, 31, 2211–2217. [Google Scholar] [CrossRef]
- Li, X.J.; Li, P.J.; Lin, X.; Zhang, C.G.; Li, Q.; Gong, Z.Q. Biodegradation of aged polycyclic aromatic hydrocarbons (PAHs) by microbial consortia in soil and slurry phases. 2008, 150, 21–26. [Google Scholar]
- Zheng, Z.M.; Obbard, J.P. Removal of polycyclic aromatic hydrocarbons from soil using surfactant and the white rot fungus Phanerochaete chrysosporium. J. Chem. Technol. Biotechnol. 2000, 75, 1183–1189. [Google Scholar] [CrossRef]
- Zheng, Z.M.; Obbard, J.P. Effect of non-ionic surfactants on elimination of polycyclic aromatic hydrocarbons (PAHs) in soil-slurry by Phanerochaete chrysosporium. J. Chem. Technol. Biotechnol. 2001, 76, 423–429. [Google Scholar] [CrossRef]
- Miller, R.M.; Bartha, R. Evidence from liposome encapsulation for transport-limited microbial-metabolism of solid alkanes. Appl. Environ. Microbiol. 1989, 55, 269–274. [Google Scholar] [PubMed]
- Noordman, W.H.; Wachter, J.H. J.; de Boer, G.J.; Janssen, D.B. The enhancement by surfactants of hexadecane degradation by Pseudomonas aeruginosa varies with substrate availability. J. Biotechnol. 2002, 94, 195–212. [Google Scholar] [CrossRef] [PubMed]
- Rittman, B.E.; Johnson, N.M. Rapid biological cleanup of soils contaminated with lubricating oil - reply. Wat. Sci. Technol. 1989, 21, 1557–1557. [Google Scholar]
- Holden, P.A.; LaMontagne, M.G.; Bruce, A.K.; Miller, W.G.; Lindow, S.E. Assessing the role of Pseudomonas aeruginosa surface-active gene expression in hexadecane biodegradation in sand. Appl. Environ. Microbiol. 2002, 68, 2509–2518. [Google Scholar] [CrossRef] [PubMed]
- Tang, W.C.; White, J.C.; Alexander, M. Utilization of sorbed compounds by microorganisms specifically isolated for that purpose. Appl. Microbiol. Biotechnol. 1998, 49, 117–121. [Google Scholar] [CrossRef] [PubMed]
- Poeton, T.S.; Stensel, H.D.; Strand, S.E. Biodegradation of polyaromatic hydrocarbons by marine bacteria: Effect of solid phase on degradation kinetics. Water. Res. 1999, 33, 868–880. [Google Scholar] [CrossRef]
- Tiehm, A.; Fritzsche, C. Utilization of solubilized and crystalline mixtures of polycyclic aromatic-hydrocarbons by a mycobacterium Sp. Appli. Microbiol. Biotechnol. 1995, 42, 964–968. [Google Scholar] [CrossRef]
- Aronstein, B.N.; Calvillo, Y.M.; Alexander, M. Effect of surfactants at low concentrations on the desorption and biodegradation of sorbed aromatic-compounds in soil. Environ. Sci. Technol. 1991, 25, 1728–1731. [Google Scholar] [CrossRef]
- Tsomides, H.J.; Hughes, J.B.; Thomas, J.M.; Ward, C.H. Effect of surfactant addition on phenanthrene biodegradation in sediments. Environ. Toxicol. Chem. 1995, 14, 953–959. [Google Scholar] [CrossRef]
- Mosche, M.; Meyer, U. Toxicity of linear alkylbenzene sulfonate in anaerobic digestion: Influence of exposure time. Wat. Res. 2002, 36, 3253–3260. [Google Scholar] [CrossRef]
- Laha, S.; Luthy, R.G. Effects of nonionic surfactants on the solubilization and mineralization of phenanthrene in soil-water systems. Biotechnol. Bioeng. 1992, 40, 1367–1380. [Google Scholar] [CrossRef]
- Laha, S.; Luthy, R.G. Inhibition of phenanthrene mineralization by nonionic surfactants in soil-water systems. Environ. Sci. Technol. 1991, 25, 1920–1930. [Google Scholar] [CrossRef]
- Foght, J.M.; Gutnick, D.L.; Westlake, D.W.S. Effect of emulsan on biodegradation of crude-oil by pure and mixed bacterial cultures. App. Environ. Microbiol. 1989, 55, 36–42. [Google Scholar]
- Efroymson, R.A.; Alexander, M. Biodegradation by an arthrobacter species of hydrocarbons partitioned into an organic-solvent. Appl. Environ. Microbiol. 1991, 57, 1441–1447. [Google Scholar] [PubMed]
- Zhou, Y.; Zhang, J.G.; Su, E.Z.; Wei, G.D.; Ma, Y.S.; Wei, D.Z. Phenanthrene biodegradation by an indigenous Pseudomonas sp ZJF08 with TX100 as surfactant. Ann. Microbiol. 2008, 58, 439–442. [Google Scholar] [CrossRef]
- Partearroyo, M.A.; Ostolaza, H.; Goni, F.M.; Barberaguillem, E. Surfactant-induced cell toxicity and Cell-Lysis - A study using B16 Melanoma-Cells. Biochem. Pharmacol. 1990, 40, 1323–1328. [Google Scholar] [CrossRef]
- Perani, A.; Gerardin, C.; Stacey, G.; Infante, M.R.; Vinardell, P.; Rodehuser, L.; Selve, C.; Maugras, M. Interactions of surfactants with living cells. Induction of apoptosis by detergents containing a beta-lactam moiety. Amino Acids 2001, 21, 185–194. [Google Scholar] [CrossRef] [PubMed]
- Mulder, H.; Wassink, G.R.; Breure, A.M.; van Andel, J.G.; Rulkens, W.H. Effect of nonionic surfactants on naphthalene dissolution and biodegradation. Biotechnol. Bioeng. 1998, 60, 397–407. [Google Scholar] [CrossRef] [PubMed]
- Grimberg, S.J.; Stringfellow, W.T.; Aitken, M.D. Quantifying the biodegradation of phenanthrene by Pseudomonas stutzeri P16 in the presence of a nonionic surfactant. Appl. Environ. Microbiol. 1996, 62, 2387–2392. [Google Scholar] [PubMed]
- Aronstein, B.N.; Alexander, M. Surfactants at low concentrations stimulate biodegradation of sorbed hydrocarbons in samples of aquifer sands and soil slurries. Environ. Toxicol. Chem. 1992, 11, 1227–1233. [Google Scholar] [CrossRef]
- Bramwell, D.A.P.; Laha, S. Effects of surfactant addition on the biomineralization and microbial toxicity of phenanthrene. Biodegradation 2000, 11, 263–277. [Google Scholar] [CrossRef] [PubMed]
- Chen, G.; Strevett, K.A.; Vanegas, B.A. Naphthalene, phenanthrene and surfactant biodegradation. Biodegradation 2001, 12, 433–442. [Google Scholar] [CrossRef] [PubMed]
- Cheng, K.Y.; Lai, K.M.; Wong, J.W.C. Effects of pig manure compost and nonionic-surfactant Tween 80 on phenanthrene and pyrene removal from soil vegetated with Agropyron elongatum. Chemosphere 2008, 73, 791–797. [Google Scholar] [CrossRef] [PubMed]
- Das, P.; Mukherjee, S.; Sen, R. Improved bioavailability and biodegradation of a model polyaromatic hydrocarbon by a biosurfactant producing bacterium of marine origin. Chemosphere 2008, 72, 1229–1234. [Google Scholar] [CrossRef] [PubMed]
- Di Gennaro, P.; Franzetti, A.; Bestetti, G.; Lasagni, M.; Pitea, D.; Collina, E. Slurry phase bioremediation of PAHs in industrial landfill samples at laboratory scale. Waste Manag. 2008, 28, 1338–1345. [Google Scholar] [CrossRef] [PubMed]
- Kim, I.S.; Park, J.S.; Kim, K.W. Enhanced biodegradation of polycyclic aromatic hydrocarbons using nonionic surfactants in soil slurry. Appl. Geochem. 2001, 16, 1419–1428. [Google Scholar] [CrossRef]
- Li, J.L.; Chen, B.H. Effect of nonionic surfactants on biodegradation of phenanthrene by a marine bacteria of Neptunomonas naphthovorans. J. Hazard. Mater. 2008, 162, 66–73. [Google Scholar] [CrossRef] [PubMed]
- Pinto, L.J.; Moore, M.M. Release of polycyclic aromatic hydrocarbons from contaminated soils by surfactant and remediation of this effluent by Penicillium spp. Environ. Toxicol. Chem. 2000, 19, 1741–1748. [Google Scholar] [CrossRef]
- Randazzo, D.; Berti, D.; Briganti, F.; Baglioni, P.; Scozzafava, A.; Di Gennaro, P.; Galli, E.; Bestetti, G. Efficient polycyclic aromatic hydrocarbons dihydroxylation in direct micellar systems. Biotechnol. Bioeng. 2001, 74, 240–248. [Google Scholar] [CrossRef] [PubMed]
- Yuan, S.Y.; Wei, S.H.; Chang, B.V. Biodegradation of polycyclic aromatic hydrocarbons by a mixed culture. Chemosphere 2000, 41, 1463–1468. [Google Scholar] [CrossRef] [PubMed]
- Jin, D.Y.; Jiang, X.; Jing, X.; Ou, Z.Q. Effects of concentration, head group, and structure of surfactants on the degradation of phenanthrene. J. Hazard. Mater. 2007, 144, 215–221. [Google Scholar] [CrossRef] [PubMed]
- Mori, M.; Kawakubo, N.; Wakabayashi, M. Cytotoxicity, of surfactants to the FHM-sp cell line. Fisheries Sci. 2002, 68, 1124–1128. [Google Scholar] [CrossRef]
- Sasaki, K.; Tanaka, N.; Watanabe, M.; Yamada, M. Comparison of cytotoxic effects of chemicals in 4 different cell-types. Toxicol. In Vitro 1991, 5, 403–406. [Google Scholar] [CrossRef] [PubMed]
- Vanderwerf, M.J.; Hartmans, S.; Vandentweel, W.J.J. Permeabilization and lysis of pseudomonas pseudoalcaligenes cells by Triton X-100 for efficient production of D-Malate. Appl. Microbiol. Biotechnol. 1995, 43, 590–594. [Google Scholar] [CrossRef]
- Lee, H.J.; Lee, M.W.; Lee, D.S.; Woo, S.H.; Park, J.M. Estimation of direct-contact fraction for phenanthrene in surfactant solutions by toxicity measurement. J. Biotechnol. 2007, 131, 448–457. [Google Scholar] [CrossRef] [PubMed]
- Willumsen, P.A.; Arvin, E. Kinetics of degradation of surfactant-solubilized fluoranthene by a Sphingomonas paucimobilis. Environ. Sci. Technol. 1999, 33, 2571–2578. [Google Scholar] [CrossRef]
- Li, J.L. The Influence of Surfactants on the Solubilization, Extraction and Biodegradation of Model Polycyclic Aromatic Hydrocarbons. PhD thesis, National University of Singapore, Singapore, 2004. [Google Scholar]
- Garcia, J.M.; Wick, L.Y.; Harms, H. Influence of the nonionic surfactant Brij 35 on the bioavailability of solid and sorbed dibenzofuran. Eviron. Sci. Technol. 2001, 35, 2033–2039. [Google Scholar] [CrossRef]
- Deshpande, S.; Shiau, B.J.; Wade, D.; Sabatini, D.A.; Harwell, J.H. Surfactant selection for enhancing ex situ soil washing. Wat. Res. 1999, 33, 351–360. [Google Scholar] [CrossRef]
- Jang, S.A.; Lee, D.S.; Lee, M.W.; Woo, S.H. Toxicity of phenanthrene dissolved in nonionic surfactant solutions to Pseudomonas putida P2. Fems Microbiol. Lett. 2007, 267, 194–199. [Google Scholar] [CrossRef] [PubMed]
- Garcia-Junco, M.; Gomez-Lahoz, C.; Niqui-Arroyo, J.L.; Ortega-Calvo, J.J. Biosurfactant- and biodegradation-enhanced partitioning of polycyclic aromatic hydrocarbons from nonaqueous-phase liquids. Environ. Sci. Technol. 2003, 37, 2988–2996. [Google Scholar] [CrossRef] [PubMed]
- Cheng, K.Y.; Zhao, Z.Y.; Wong, J.W.C. Solubilization and desorption of PAHs in soil-aqueous system by biosurfactants produced from Pseudomonas aeruginosa P-CG3 under thermophilic condition. Environ. Technol. 2004, 25, 1159–1165. [Google Scholar] [CrossRef] [PubMed]
- Makkar, R.S.; Rockne, K.J. Comparison of synthetic surfactants and biosurfactants in enhancing biodegradation of polycyclic aromatic hydrocarbons. Environ. Toxicol. Chem. 2003, 22, 2280–2292. [Google Scholar] [CrossRef] [PubMed]
- Kosaric, N. Biosurfactants and their application for soil bioremediation. Food Technol. Biotechnol. 2001, 39, 295–304. [Google Scholar]
- Sotirova, A.V.; Spasova, D.I.; Galabova, D.N.; Karpenko, E.; Shulga, A. Rhamnolipid-biosurfactant permeabilizing effects on gram-positive and gram-negative bacterial strains. Current Microbiol. 2008, 56, 639–644. [Google Scholar] [CrossRef] [PubMed]
- Willumsen, P.A.; Karlson, U. Effect of calcium on the surfactant tolerance of a fluoranthene degrading bacterium. Biodegradation 1998, 9, 369–379. [Google Scholar] [CrossRef] [PubMed]
© 2009 by the authors; licensee Molecular Diversity Preservation International, Basel, Switzerland. This article is an open-access article distributed under the terms and conditions of the Creative Commons Attribution license (http://creativecommons.org/licenses/by/3.0/).
Share and Cite
Li, J.-L.; Chen, B.-H. Surfactant-mediated Biodegradation of Polycyclic Aromatic Hydrocarbons. Materials 2009, 2, 76-94. https://doi.org/10.3390/ma2010076
Li J-L, Chen B-H. Surfactant-mediated Biodegradation of Polycyclic Aromatic Hydrocarbons. Materials. 2009; 2(1):76-94. https://doi.org/10.3390/ma2010076
Chicago/Turabian StyleLi, Jing-Liang, and Bing-Hung Chen. 2009. "Surfactant-mediated Biodegradation of Polycyclic Aromatic Hydrocarbons" Materials 2, no. 1: 76-94. https://doi.org/10.3390/ma2010076
APA StyleLi, J.-L., & Chen, B.-H. (2009). Surfactant-mediated Biodegradation of Polycyclic Aromatic Hydrocarbons. Materials, 2(1), 76-94. https://doi.org/10.3390/ma2010076












