The Optimization Study of Karst-Filling Clay-Cement Grout Based on Orthogonal Experiment and Regression Analysis
Abstract
1. Introduction
2. Grouting Material Test
2.1. Background of the Experiment
2.2. Experimental Design
2.3. Test Materials and Test Methods
3. Analysis of Experimental Results
3.1. Time-Dependent Strength of Grout Slurry
3.2. Range Analysis in Orthogonal Design
3.3. Analysis of 3D Scatter Plots
4. Grout Performance Prediction Model
4.1. Model Construction
4.2. Model Fitting Equations
4.3. Regression Model Evaluation and Validation
4.3.1. Statistical Validation
4.3.2. Independent Single-Factor Experimental Validation
5. Discussion and Interpretation
6. Conclusions
- (1)
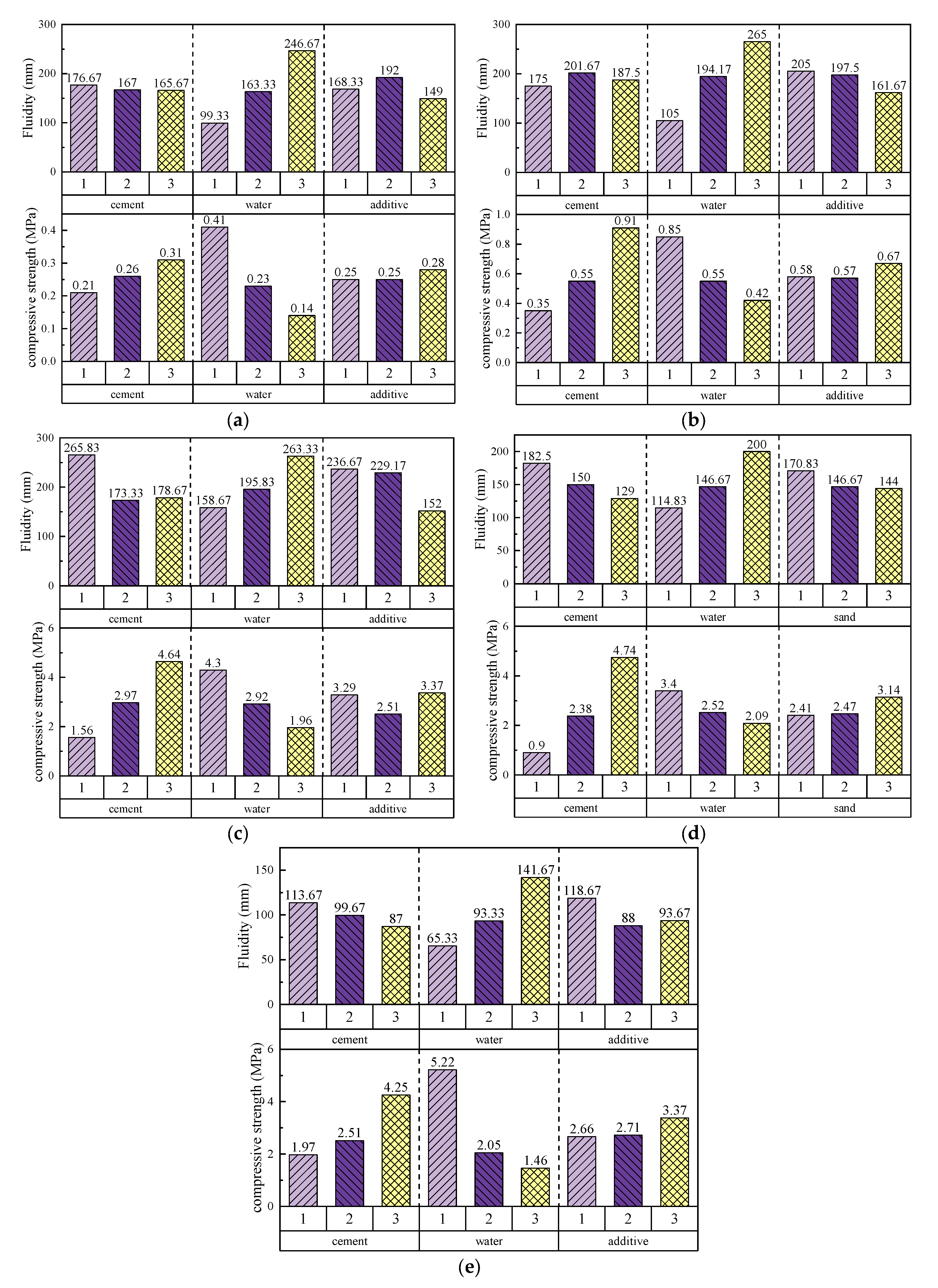
- Based on the experimental test results of the five grout systems, the lake mud-cement grout exhibited the highest average compressive strength within the test range, followed by the clay-cement grout with sand, while the on-site wet clay-cement grout was slightly lower than the former two. The compressive strength of the dry-prepared clay-cement grout was significantly low, but the preparation process was simple and suitable for simple grouting projects. Range analysis indicated that the water-to-cement ratio was the dominant factor affecting flowability, and its importance varied with the system composition. The appropriate addition of sand helps to improve strength, but excessive amounts significantly reduce flowability. The effect of additives showed a certain degree of system dependence. HY-4 effectively improved flowability, especially for low-cement systems, but its strength enhancement was limited. Sodium silicate could significantly increase strength but may reduce flowability, making it suitable for high-cement and low-water conditions. Grout performance is affected by the interaction of sand content, cement content, and water-to-cement ratio, and the formulation needs to be optimized considering the characteristics of additives to meet engineering requirements.
- (2)
- Based on experimental data, mathematical modeling was employed for analysis, and its accuracy and reliability were evaluated through statistical validation and independent experimental validation. The results show that the constructed model has a good fit, with the coefficient of determination (R2) ranging from 0.74 to 0.95, explaining 74% to 95% of the variation in the dependent variable. The regression coefficients are statistically significant (p < 0.05), there is no severe multicollinearity, and the residuals show no significant autocorrelation, thus satisfying the assumptions of linear regression. Independent single-factor experimental validation further proves that the model has strong predictive capability. The model fitting for the five grout systems is high, and the overall trends are consistent with the experimental data, providing valuable reference. The model performs more accurately in the low water-to-cement ratio range, but there is a slight deviation at high water-to-cement ratios, with the predicted compressive strength for some systems being slightly lower than the measured values. The consistency of predictions for clay-cement with sand grout and lake mud-cement grout is relatively high, especially at a 5% sodium silicate addition, where the model performs the best. Overall, the model effectively reflects the variations in flowability and compressive strength of different grout systems.
- (3)
- Based on the research results, optimized grout formulations and their applicable engineering scenarios are recommended. The lake mud-cement grout (A3B1C3 formulation) has a 28-day compressive strength of 4.74 MPa, making it suitable for reinforcement projects where low groundwater flow and stability are prioritized. The on-site wet clay-cement grout (A2B3C1 formulation) has a strength of 1.1 MPa and flowability of 292.5 mm, making it suitable for high permeability strata. Both formulations exceed the typical standard requirements, validating their applicability in grouting reinforcement in karst areas. The limitations of this study include the limited number of experimental groups, and future work may further optimize the design by incorporating computer vision and deep learning techniques.
Research Prospects
Author Contributions
Funding
Institutional Review Board Statement
Informed Consent Statement
Data Availability Statement
Conflicts of Interest
References
- Deng, C.; Li, L.-X.; Hu, H.-X.; Xu, Z.-C.; Zhou, Y.; Yin, Q.; Chen, J. Effect of magnetized water on the fundamental grouting properties of cement grout under varying magnetization conditions. Sci. Rep. 2025, 15, 700. [Google Scholar] [CrossRef] [PubMed]
- Hu, H.-X.; Gan, B.-Q.; Deng, C.; Xie, Z.-L.; Lu, Y.; Cai, Y.-H. Experimental Study on the Effect of Water-Cement Ratios on the Diffusion Behavior of Sand Soil Grouting. Bull. Eng. Geol. Environ. 2024, 83, 80. [Google Scholar] [CrossRef]
- Zheng, G.; Huang, J.-Y.; Diao, Y.; Ma, A.-Y.; Su, Y.-M.; Chen, H. Formulation and Performance of Slow-Setting Cement-Based Grouting Paste (SCGP) for Capsule Grouting Technology Using Orthogonal Test. Constr. Build. Mater. 2021, 182, 1964–1971. [Google Scholar] [CrossRef]
- Du, X.-M.; Li, Z.-L.; Fang, H.-Y.; Wang, S.-Y.; Li, B.; Du, M.-R.; Wang, N.N.; Xue, B.-H.; Zhao, X.-H. Numerical and practical investigation of the multiple hole grouting repair law of underground drainage pipeline defects. Bull. Eng. Geol. Environ. 2023, 82, 44. [Google Scholar] [CrossRef]
- Zhang, W.-Q.; Zhu, X.-X.; Xu, S.-X.; Wang, Z.-Y.; Li, W. Experimental study on properties of a new type of grouting material for the reinforcement of fractured seam floor. J. Mater. Res. Technol. 2019, 8, 5271–5282. [Google Scholar] [CrossRef]
- Zhang, J.; Li, S.-C.; Li, Z.-F.; Gao, Y.-F.; Liu, C.; Qi, Y.-H. Workability and microstructural properties of red-mud-based geopolymer with different particle sizes. Adv. Cem. Res. 2021, 33, 210–223. [Google Scholar] [CrossRef]
- Khayat, K.H.; Yahia, A.; Sayed, M. Effect of Supplementary Cementitious Materials on Rheological Properties, Bleeding, and Strength of Structural Grout. ACI Mater. J. 2008, 105, 467–475. [Google Scholar]
- Mahmood, W.; Mohammed, A.; Ghafor, K. Viscosity, Yield Stress and Compressive Strength of Cement-Based Grout Modified with Polymers. Results Mater. 2019, 2, 100024. [Google Scholar] [CrossRef]
- Celik, F.; Canakci, H. An Investigation of Rheological Properties of Cement-Based Grout Mixed with Rice Husk Ash (RHA). Constr. Build. Mater. 2015, 93, 613–621. [Google Scholar] [CrossRef]
- Schokker, A.J.; Hamilton, H.; Schupack, M. Estimating Post-Tensioning Grout Bleed Resistance Using a Pressure-Filter Test. PCI J. 2002, 47, 32–39. [Google Scholar] [CrossRef]
- Sonebi, M. Rheological Properties of Grouts with Viscosity Modifying Agents as Diutan Gum and Welan Gum Incorporating Pulverised Fly Ash. Cem. Concr. Res. 2006, 36, 1609–1618. [Google Scholar] [CrossRef]
- Mao, J.-H.; Yuan, D.-J.; Jin, D.-L.; Zeng, J.-F. Optimization and Application of Backfill Grouting Material for Submarine Tunnel. Constr. Build. Mater. 2020, 228, 680–686. [Google Scholar] [CrossRef]
- Liu, X.-W.; Wang, S.; Liu, B.; Liu, Q.-S.; Zhou, Y.; Chen, J.-X.; Luo, J. Cement-Based Grouting Material Development and Prediction of Material Properties Using PSO-RBF Machine Learning. Constr. Build. Mater. 2024, 469, 135–140. [Google Scholar] [CrossRef]
- Wu, Y.; Qiao, W.-G.; Liu, H.-N.; Li, Y.-Z.; Zhang, S.; Xi, K.; Zhang, L. Research on Sustainable Development of Fine-Grained Material Cement Slurry. Constr. Build. Mater. 2021, 302, 124155. [Google Scholar] [CrossRef]
- Lignola, G.P.; Flora, A.; Manfredi, G. Simple Method for the Design of Jet Grouted Umbrellas in Tunneling. J. Geotech. Geoenviron. Eng. 2008, 134, 1778–1790. [Google Scholar] [CrossRef]
- Sonebi, M.; Malinov, S. Neural Network Modeling of Rheological Parameters of Grouts Containing Viscosity-Modifying Agent. ACI Mater. J. 2011, 108, 650–658. [Google Scholar]
- Wang, X.; Li, L.; Wei, M.; Xiang, Y.; Wu, Y.-X.; Zhou, B.; Sun, Y.-W.; Cheng, W.-D. Experimental study on the mechanical properties of short-cut basalt fiber reinforced concrete under large eccentric compression. Sci. Rep. 2025, 15, 10845. [Google Scholar] [CrossRef]
- Hallal, A.; Kadri, E.H.; Ezziane, K.; Kadri, A.; Khelafi, H. Combined Effect of Mineral Admixtures with Superplasticizers on the Fluidity of the Blended Cement Paste. Constr. Build. Mater. 2010, 24, 1418–1423. [Google Scholar] [CrossRef]
- Basu, P.; Gupta, R.C.; Agrawal, V. Effects of Sandstone Slurry, the Dosage of Superplasticizer and Water/Binder Ratio on the Fresh Properties and Compressive Strength of Self-Compacting Concrete. Mater. Today Proc. 2020, 21, 1250–1254. [Google Scholar] [CrossRef]
- Liu, J.-T.; Li, Q.-H.; Xu, S.-L. Influence of Nanoparticles on Fluidity and Mechanical Properties of Cement Mortar. Constr. Build. Mater. 2015, 101, 892–901. [Google Scholar] [CrossRef]
- Zhao, K.-Y.; Zhao, L.-J.; Hou, J.-R.; Zhang, X.-B.; Feng, Z.-X.; Yang, S.-M. Effect of Vibratory Mixing on the Slump, Compressive Strength, and Density of Concrete with Different Mix Proportions. J. Mater. Res. Technol. 2021, 15, 4208–4219. [Google Scholar] [CrossRef]
- Fang, B.-W.; Xu, T.; Shi, S. Laboratory Study on Cement Slurry Formulation and Its Strength Mechanism for Semi-Flexible Pavement. J. Test. Eval. 2016, 44, 907–913. [Google Scholar] [CrossRef]
- Zhang, G.; Li, G.-X.; Li, Y.-C. Effects of Superplasticizers and Retarders on the Fluidity and Strength of Sulphoaluminate Cement. Constr. Build. Mater. 2016, 126, 44–54. [Google Scholar] [CrossRef]
- Chang, W.; Zheng, W.-Z. Effects of Key Parameters on Fluidity and Compressive Strength of Ultra-High Performance Concrete. Struct. Concr. 2019, 21, 747–760. [Google Scholar] [CrossRef]
- Svermova, L.; Sonebi, M.; Bartos, P.J.M. Influence of Mix Proportions on Rheology of Cement Grouts Containing Limestone Powder. Cem. Concr. Compos. 2003, 25, 737–749. [Google Scholar] [CrossRef]
- Du, K.; Liu, M.-H.; Zhou, J.; Khandelwal, M. Investigating the Slurry Fluidity and Strength Characteristics of Cemented Backfill and Strength Prediction Models by Developing Hybrid GA-SVR and PSO-SVR. Min. Metall. Explor. 2022, 39, 433–452. [Google Scholar] [CrossRef]
- JTG/T 3373-2024; Highway Karst Tunnel Design and Construction Technical Specification. Ministry of Transport of the People’s Republic of China: Beijing, China, 2024.
- GB/T 51438-2021; Shield Tunnel Engineering Design Standard. State Administration for Market Regulation: Beijing, China, 2021.
- ASTM C939; Standard Test Method for Flow of Grout for Preplaced-Aggregate Concrete. ASTM International: West Conshohocken, PA, USA, 2019.
- EN 206:2013+A2:2021; Concrete—Specification, Performance, Production and Conformity. European Committee for Standardization: Brussels, Belgium, 2021.
- Kabir, H.; Wu, J.; Dahal, S.; Joo, T. Automated estimation of cementitious sorptivity via computer vision. Nat. Commun. 2024, 15, 9935. [Google Scholar] [CrossRef]
- Song, Z.; Zou, S.; Zhou, W.; Huang, Y.; Shao, L.; Yuan, J.; Gou, X.; Jin, W.; Wang, Z.; Chen, X.; et al. Clinically applicable histopathological diagnosis system for gastric cancer detection using deep learning. Nat. Commun. 2020, 11, 4294. [Google Scholar] [CrossRef]










| No. | Admixture/% | ||
|---|---|---|---|
| Cement | Water | Additives/Sand | |
| 1 | 1 | 1 | 1 |
| 2 | 1 | 2 | 2 |
| 3 | 1 | 3 | 3 |
| 4 | 2 | 1 | 2 |
| 5 | 2 | 2 | 3 |
| 6 | 2 | 3 | 1 |
| 7 | 3 | 1 | 3 |
| 8 | 3 | 2 | 1 |
| 9 | 3 | 3 | 2 |
| (a) | |||
|---|---|---|---|
| Factor | Level | ||
| 1 | 2 | 3 | |
| Clay/% | 100 | 100 | 100 |
| A: Cement/% | 20 | 25 | 30 |
| B: Water/% | 60 | 70 | 80 |
| C: Additives/% | 0 | HY-4 (5%) | waterglass (5%) |
| (b) | |||
| Factor | Level | ||
| 1 | 2 | 3 | |
| Clay /% | 100 | 100 | 100 |
| A: Cement /% | 5 | 10 | 15 |
| B: Water /% | 50 | 60 | 70 |
| C: Additives /% | 0 | HY-4 (5%) | waterglass (5%) |
| (c) | |||
| Factor | Level | ||
| 1 | 2 | 3 | |
| Clay/% | 100 | 100 | 100 |
| A: Cement/% | 80 | 100 | 120 |
| B: Water/% | 100 | 120 | 140 |
| C: Additives/% | 0 | HY-4 (5%) | waterglass (5%) |
| (d) | |||
| Factor | Level | ||
| 1 | 2 | 3 | |
| Clay /% | 100 | 100 | 100 |
| A: Cement /% | 40 | 60 | 80 |
| B: Water /% | 80 | 90 | 100 |
| C: Sand /% | 50 | 100 | 150 |
| (e) | |||
| Factor | Level | ||
| 1 | 2 | 3 | |
| lake mud /% | 100 | 100 | 100 |
| A: Cement /% | 80 | 100 | 120 |
| B: Water /% | 120 | 150 | 180 |
| C: Additives /% | 0 | HY-4 (5%) | waterglass (5%) |
| R-Value Statistics | Fluidity | Compressive Strength | ||||
|---|---|---|---|---|---|---|
| Cement | Water | Additives/Sand | Cement | Water | Additives/Sand | |
| Clay-cement-based paste (low cement content) | 11 | 147.33 | 43 | 0.1 | 0.27 | 0.04 |
| Clay-cement-based paste (high cement content) | 26.67 | 160 | 43.33 | 0.57 | 0.43 | 0.1 |
| On-site wet clay-cement paste | 92.5 | 104.67 | 84.67 | 0.1 | 0.11 | 0.02 |
| Clay-cement with sand paste | 53.5 | 85.17 | 26.83 | 3.84 | 1.31 | 0.73 |
| Lake mud-cement paste | 26.67 | 76.33 | 30.67 | 2.28 | 3.75 | 0.71 |
| No. | D1 | D2 | Additive |
|---|---|---|---|
| 1 | 0 | 0 | additive-free |
| 2 | 1 | 0 | HY-4 (5%) |
| 3 | 1 | 1 | waterglass (5%) |
| Paste System | Implicit Variable | Regression Fitted Formula |
|---|---|---|
| Clay-cement-based paste (low cement content) | fluidity | Ya(w) = −262.667 − 110C + 736.7W + 23.667AHY-4 − 19.333ASS |
| compressive strength | Ya(fc,28) = 0.948 + 1.012C − 1.3W + 0.002AHY-4 − 0.038Ass | |
| Clay-cement-based paste (high cement content) | fluidity | Yb(w) = −386.25 − 125C + 800W + 7.5AHY-4 − 43.333Ass |
| compressive strength | Yb(fc,28) = 0.683 + 5.653C − 2.17W − 0.011AHY-4 − 0.092ASS | |
| On-site wet clay-cement paste | fluidity | Yc(w) = 64.417 − 57.083C + 136.25W + 24.167AHY-4 − 3.833Ass |
| compressive strength | Yc(fc,28) = 2.087 + 0.54C − 1.41W − 0.004AHY-4 − 0.08ASS | |
| Clay-cement with sand paste | fluidity | Yd(w) = −495.808 − 70.444C + 822.554W − 38.172S |
| compressive strength | Yd(fc,28) = 1.302 + 0.234C − 1.295W + 0.12S | |
| Lake mud-cement paste | fluidity | Ye(w) = 121.857 − 74.2C + 46.1W + 11.333AHY-4 − 6.667Ass |
| compressive strength | Ye(fc,28) = 6.908 + 5.7C − 6.5W + 0.048AHY-4 − 0.71Ass |
| Paste System | Implicit Variable | R2 | P | VIF | Durbin-Watson |
|---|---|---|---|---|---|
| Clay-cement-based paste (low cement content) | fluidity | 0.896 | 0.030 | 1/1/1.333/1.333 | 2.037 |
| compressive strength | 0.953 | 0.007 | 1/1/1.333/1.333 | 2.678 | |
| Clay-cement-based paste (high cement content) | fluidity | 0.975 | 0.002 | 1/1/1.333/1.333 | 1.378 |
| compressive strength | 0.945 | 0.009 | 1/1/1.333/1.333 | 2.065 | |
| On-site wet clay-cement paste | fluidity | 0.792 | 0.005 | 1/1/1.333/1.333 | 2.055 |
| compressive strength | 0.953 | 0.007 | 1/1/1.333/1.333 | 2.678 | |
| Clay-cement with sand paste | fluidity | 0.869 | 0.012 | 1.261/1.261/1.523 | 3.178 |
| compressive strength | 0.935 | 0.002 | 1.261/1.261/1.523 | 3.016 | |
| Lake mud-cement paste | fluidity | 0.74 | 0.049 | 1/1/1.333/1.333 | 2.533 |
| compressive strength | 0.909 | 0.024 | 1/1/1.333/1.333 | 2.462 |
| Liquidity-Driven | Strength-Driven | |
|---|---|---|
| Clay-cement-based paste (low cement content) | A1B3C2 | A3B1C3 |
| Clay-cement-based paste (high cement content) | A2B3C1 | A3B1C3 |
| On-site wet clay-cement paste | A1B3C1 | A3B1C3 |
| Clay-cement with sand paste | A1B3C1 | A3B1C3 |
| Lake mud-cement paste | A1B3C1 | A3B1C3 |
| Suggested Engineering Scenarios | Uniformly distributed and penetration demanding works | Works where stability and settlement characteristics are critical |
Disclaimer/Publisher’s Note: The statements, opinions and data contained in all publications are solely those of the individual author(s) and contributor(s) and not of MDPI and/or the editor(s). MDPI and/or the editor(s) disclaim responsibility for any injury to people or property resulting from any ideas, methods, instructions or products referred to in the content. |
© 2025 by the authors. Licensee MDPI, Basel, Switzerland. This article is an open access article distributed under the terms and conditions of the Creative Commons Attribution (CC BY) license (https://creativecommons.org/licenses/by/4.0/).
Share and Cite
Yan, W.; Deng, C.; Cai, Y.; Chu, A.; Shen, S.; Wu, X. The Optimization Study of Karst-Filling Clay-Cement Grout Based on Orthogonal Experiment and Regression Analysis. Materials 2025, 18, 1943. https://doi.org/10.3390/ma18091943
Yan W, Deng C, Cai Y, Chu A, Shen S, Wu X. The Optimization Study of Karst-Filling Clay-Cement Grout Based on Orthogonal Experiment and Regression Analysis. Materials. 2025; 18(9):1943. https://doi.org/10.3390/ma18091943
Chicago/Turabian StyleYan, Wenqin, Chao Deng, Yuehui Cai, Aikun Chu, Shifan Shen, and Xuanyu Wu. 2025. "The Optimization Study of Karst-Filling Clay-Cement Grout Based on Orthogonal Experiment and Regression Analysis" Materials 18, no. 9: 1943. https://doi.org/10.3390/ma18091943
APA StyleYan, W., Deng, C., Cai, Y., Chu, A., Shen, S., & Wu, X. (2025). The Optimization Study of Karst-Filling Clay-Cement Grout Based on Orthogonal Experiment and Regression Analysis. Materials, 18(9), 1943. https://doi.org/10.3390/ma18091943

