Sign in to use this feature.

Years

Between: -

Subjects

remove_circle_outline
remove_circle_outline
remove_circle_outline
remove_circle_outline
remove_circle_outline
remove_circle_outline
remove_circle_outline
remove_circle_outline
remove_circle_outline

Journals

Article Types

Countries / Regions

Search Results (521)

Search Parameters:
Keywords = shield tunneling

Order results
Result details
Results per page
Select all
Export citation of selected articles as:
25 pages, 7220 KB  
Article
Effects of Conditioning Agents on the Undrained Shear Response and Pore-Scale Behavior of Sand for EPB Shield Tunneling
by Lu Wang, Jiannan Hu, Wei Zhu and Fanlu Min
Appl. Sci. 2026, 16(1), 531; https://doi.org/10.3390/app16010531 - 5 Jan 2026
Viewed by 80
Abstract
Efficient soil conditioning is critical for controlling the mechanical behavior of sandy muck in earth pressure balance (EPB) shield tunneling. This study investigates the undrained shear response of sand conditioned with slurry, a newly developed bubble–slurry, and foam under vertical stresses of 0–300 [...] Read more.
Efficient soil conditioning is critical for controlling the mechanical behavior of sandy muck in earth pressure balance (EPB) shield tunneling. This study investigates the undrained shear response of sand conditioned with slurry, a newly developed bubble–slurry, and foam under vertical stresses of 0–300 kPa, considering different injection ratios and shear rates. Under atmospheric pressure, conditioning reduces both peak and residual shear strengths by more than 90% compared with untreated sand. Foam- and bubble–slurry-conditioned sands show stable strength within 6 h; after 24 h, peak strength increases from 0.39 to 4.67 kPa for foam-conditioned sand but only from 0.67 to 0.84 kPa for bubble–slurry-conditioned sand. Shear strength increases nearly linearly with shear rate, especially for residual strength. Pore-scale mechanisms were interpreted by considering bubble proportion and size, pore-fluid rheology, and surface tension. Rheology governs whether dynamic or viscous resistance dominates at different shear rates, while surface tension influences stress transmission through bubble stability and interparticle lubrication. The void ratio range of e/emax = 1.00–1.36 was identified as achieving low shear strength and good flowability. Field application in Jinan Metro Line R2 confirmed that combined conditioning (25% foam + 13% slurry) reduced cutterhead torque by about 37% without spewing. Full article
(This article belongs to the Section Civil Engineering)
Show Figures

Figure 1

23 pages, 3395 KB  
Article
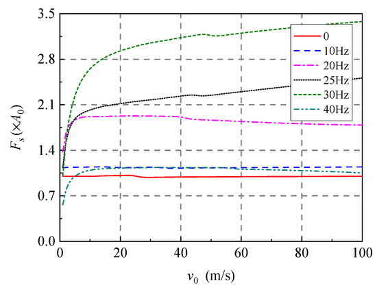
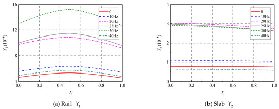
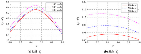
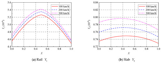
Dynamic Response of a Double-Beam System Subjected to a Harmonic Moving Load
by Mingfei Lu, Xuenan Wang and Hui Li
Appl. Sci. 2026, 16(1), 514; https://doi.org/10.3390/app16010514 - 4 Jan 2026
Viewed by 186
Abstract
The dynamic behavior of a double-beam configuration subjected to a harmonic moving load was studied in this paper. The model was built to represent the wheel–track system that was composed of two infinite Timoshenko beams joined by uniformly spaced sleepers and supported by [...] Read more.
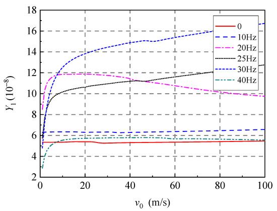
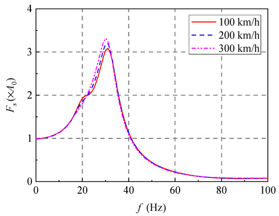
The dynamic behavior of a double-beam configuration subjected to a harmonic moving load was studied in this paper. The model was built to represent the wheel–track system that was composed of two infinite Timoshenko beams joined by uniformly spaced sleepers and supported by a continuous viscoelastic foundation. The response of the coupled beams to a moving harmonic excitation was first derived, after which the wheel–rail interaction was incorporated through a generalized Fourier series formulation. The associated Fourier coefficients were obtained from a finite system of algebraic equations imposed by the wheel–track contact conditions. The numerical simulation was carried out to compare the predictions of the Timoshenko and Euler–Bernoulli beam assumptions and to explore the influence of load speed and excitation frequency on the dynamic characteristics of the double-beam system. Comparative analysis reveals that Timoshenko beam theory predicts larger vertical displacements for rail, slab, and sleeper near the model’s cut-off frequencies (20 Hz and 30 Hz) than Euler–Bernoulli theory, with higher load velocities reducing the first cut-off frequency and amplifying peak amplitudes. The dynamic response exhibits two critical velocities at sub-cut-off frequencies, where rail displacements increase with load velocity, whereas this trend reverses when the load frequency meets or exceeds the cut-off frequencies, and no distinct peaks occur at 25 Hz and 40 Hz. The research findings are of great significance for the vibration propagation and vibration disaster prevention for shield tunnels during the train operation. Full article
Show Figures

Figure 1

20 pages, 2941 KB  
Article
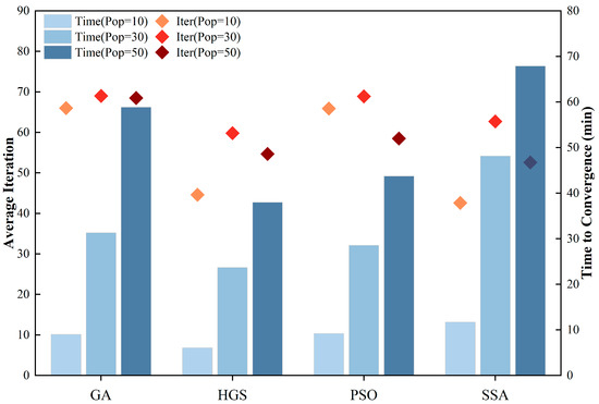
Shield Thrust Time-Series Prediction Based on BiLSTM with Intelligent Hyperparameter Optimization
by Lingbin Yao, Wei Yin, Fanchao Kong and Junqi Wang
Appl. Sci. 2026, 16(1), 325; https://doi.org/10.3390/app16010325 - 28 Dec 2025
Viewed by 144
Abstract
Shield thrust is a key control parameter for ensuring the safety and efficiency of tunnel construction. Under complex geological conditions and strong data nonlinearity, conventional prediction methods often fail to achieve sufficient accuracy. This study proposes a hybrid prediction model in which a [...] Read more.
Shield thrust is a key control parameter for ensuring the safety and efficiency of tunnel construction. Under complex geological conditions and strong data nonlinearity, conventional prediction methods often fail to achieve sufficient accuracy. This study proposes a hybrid prediction model in which a bidirectional long short-term memory (BiLSTM) network is optimized by intelligent algorithms. A multidimensional input dataset comprising tunnel geometry, geomechanical parameters and tunnelling parameters is constructed, and BiLSTM is used to capture bidirectional temporal dependencies in the tunnelling data. To adaptively determine key BiLSTM hyperparameters (number of neurons, dropout rate and learning rate), four intelligent optimization algorithms—genetic algorithm (GA), particle swarm optimization (PSO), sparrow search algorithm (SSA) and Hunger Games Search (HGS)—are employed for hyperparameter tuning, using the root-mean-square error (RMSE) between predicted and measured values as the fitness function. Four hybrid models, GA–BiLSTM, PSO–BiLSTM, SSA–BiLSTM and HGS–BiLSTM, are validated using real engineering data from Beijing Metro Line 22, Guanzhuang–Yongshun shield-driven section. The results show that HGS–BiLSTM outperforms the other models in terms of RMSE, mean absolute error (MAE), mean absolute percentage error (MAPE) and coefficient of determination (R2) and exhibits faster convergence, supporting real-time prediction and decision-making in shield thrust control. Full article
Show Figures

Figure 1

23 pages, 5850 KB  
Article
Durability Assessment of Marine Steel-Reinforced Concrete Using Machine Vision: A Case Study on Corrosion Damage and Geometric Deformation in Shield Tunnels
by Yanzhi Qi, Xipeng Wang, Zhi Ding and Yaozhi Luo
Buildings 2026, 16(1), 107; https://doi.org/10.3390/buildings16010107 - 25 Dec 2025
Viewed by 150
Abstract
The rapid urbanization of coastal regions has intensified the demand for durable underground infrastructure like shield tunnels, where reinforced concrete (RC) structures are critical yet susceptible to long-term degradation in marine environments. This study develops an integrated machine vision-based framework for assessing the [...] Read more.
The rapid urbanization of coastal regions has intensified the demand for durable underground infrastructure like shield tunnels, where reinforced concrete (RC) structures are critical yet susceptible to long-term degradation in marine environments. This study develops an integrated machine vision-based framework for assessing the long-term durability of RC in marine shield tunnels by synergistically combining point cloud analysis and deep learning-based damage recognition. The methodology involves preprocessing tunnel point clouds to extract the centerline and cross-sections, enabling the quantification of geometric deformations, including segment misalignment and elliptical distortion. Concurrently, an advanced YOLOv8 model is employed to automatically identify and classify surface corrosion damages—specifically water leakage, cracks, and spalling—from images, achieving high detection accuracies (e.g., 95.6% for leakage). By fusing the geometric indicators with damage metrics, a quantitative risk scoring system is established to evaluate structural durability. Experimental results on a real-world tunnel segment demonstrate the framework’s effectiveness in correlating surface defects with underlying geometric irregularities. This integrated approach offers a data-driven solution for the continuous health monitoring and residual life prediction of RC tunnel linings in marine conditions, bridging the gap between visual inspection and structural performance assessment. Full article
Show Figures

Figure 1

28 pages, 5749 KB  
Article
Parameter Sensitivity Analysis and Optimization Design of Shield Lateral Shifting Launching Technology Based on Orthogonal Analysis Method
by Xin Ke, Xinyu Tian, Lingwei Lu, Yanmei Ruan, Tong Chen and Huiru Yu
Buildings 2026, 16(1), 105; https://doi.org/10.3390/buildings16010105 - 25 Dec 2025
Viewed by 235
Abstract
As an emerging construction method, the lateral launching technique for shield tunneling can ensure launching safety while significantly reducing disturbances to urban traffic. However, the influence of its design parameters on construction stability and economic performance has not yet been systematically investigated, thereby [...] Read more.
As an emerging construction method, the lateral launching technique for shield tunneling can ensure launching safety while significantly reducing disturbances to urban traffic. However, the influence of its design parameters on construction stability and economic performance has not yet been systematically investigated, thereby limiting its broader application in complex urban environments. To address this gap, this study proposes a comprehensive analytical framework integrating field monitoring, numerical modeling, orthogonal experiments, and regression-based optimization. Relying on a shield lateral launching project in a central urban district of Guangzhou, a systematic investigation is conducted. Field monitoring data are used to verify the reliability of the three-dimensional finite element model, confirming that deformations of both the retaining structures and the surrounding ground remain within a stable and controllable range. On this basis, the orthogonal experimental method is, for the first time, introduced into the parameter sensitivity analysis of the shield lateral launching technique. The analysis reveals the influence ranking of support parameters on surface settlement. Key parameters are then selected for optimization design according to the sensitivity order, followed by a comprehensive evaluation of deformation control effectiveness and economic performance of the optimized scheme. The results show that the deformation of both the retaining structures and the ground during construction remains below the control limits, indicating good structural stability. Among the supporting parameters, the sensitivity coefficients from high to low are the diaphragm wall thickness HW, the grouting reinforcement range HG, the initial support thickness of the lateral-shifting tunnel H1, the initial support thickness of the advance launching tunnel H2, and the elastic modulus of the diaphragm wall EW. Based on the sensitivity ranking, the highly sensitive parameters are selected for optimization, and the optimal parameter combination is determined to be a diaphragm wall thickness of 1000 mm, a grouting reinforcement range of 1600 mm, and an initial support thickness of 100 mm for the lateral-shifting tunnel. This combination meets the safety requirements for surface settlement while effectively reducing material consumption and improving economic performance. The study provides technical and theoretical references for shield launching under complex conditions. Full article
Show Figures

Figure 1

44 pages, 9379 KB  
Review
A Review of Grout Diffusion Mechanisms and Quality Assessment Techniques for Backfill Grouting in Shield Tunnels
by Chi Zhu, Jinyang Fu, Haoyu Wang, Yiqian Xia, Junsheng Yang and Shuying Wang
Buildings 2026, 16(1), 97; https://doi.org/10.3390/buildings16010097 - 25 Dec 2025
Viewed by 339
Abstract
Ground settlement is readily induced by shield–tail gaps formed during tunneling, where soil loss must be compensated through backfill grouting. However, improper grouting control may trigger tunnel uplift, segment misalignment, and, after solidification, problems such as voids, cracking, and water ingress. Ensuring construction [...] Read more.
Ground settlement is readily induced by shield–tail gaps formed during tunneling, where soil loss must be compensated through backfill grouting. However, improper grouting control may trigger tunnel uplift, segment misalignment, and, after solidification, problems such as voids, cracking, and water ingress. Ensuring construction safety and long-term serviceability requires both reliable detection of grouting effectiveness and a mechanistic understanding of grout diffusion. This review systematically synthesizes sensing technologies, diffusion modeling, and intelligent data interpretation. It highlights their interdependence and identifies emerging trends toward multimodal joint inversion and real-time grouting control. Non-destructive testing techniques can be broadly categorized into geophysical approaches and sensor-based methods. For synchronous detection, vehicle-mounted GPR systems and IoT-based monitoring platforms have been explored, although studies remain sparse. Theoretically, grout diffusion has been investigated via numerical simulation and field measurement, including the spherical diffusion theory, columnar diffusion theory, and sleeve-pipe permeation grouting theory. These theories decompose the diffusion process of the slurry into independent movements. Nevertheless, oversimplified models and sparse monitoring data hinder the development of universally applicable frameworks capable of capturing diverse engineering conditions. Existing techniques are further constrained by limited imaging resolution, insufficient detection depth, and poor adaptability to complex strata. Looking ahead, future research should integrate complementary non-destructive methods with numerical simulation and intelligent data analytics to achieve accurate inversion and dynamic monitoring of the entire process, ranging from grout diffusion and consolidation to defect evolution. Such efforts are expected to advance both synchronous grouting detection theory and intelligent and digital-twin tunnel construction. Full article
(This article belongs to the Section Building Structures)
Show Figures

Figure 1

24 pages, 3754 KB  
Article
Measured Spatiotemporal Development and Environmental Implications of Ground Settlement and Carbon Emissions Induced by Sequential Twin-Tunnel Shield Excavation
by Xin Zhou, Haosen Chen, Yijun Zhou, Lei Hou, Jianhong Wang and Sang Du
Buildings 2026, 16(1), 25; https://doi.org/10.3390/buildings16010025 - 20 Dec 2025
Viewed by 271
Abstract
Sequential twin-tunnel excavation has become increasingly common as urban rail networks expand, making both deformation control and construction-phase carbon management essential for sustainable underground development. This study investigates the spatiotemporal development of ground settlement induced by parallel Earth Pressure Balance shield tunnelling in [...] Read more.
Sequential twin-tunnel excavation has become increasingly common as urban rail networks expand, making both deformation control and construction-phase carbon management essential for sustainable underground development. This study investigates the spatiotemporal development of ground settlement induced by parallel Earth Pressure Balance shield tunnelling in a twin-tunnel section of the Hangzhou Metro, based on long-term field monitoring. The settlement process is divided into three stages—immediate construction settlement, time-dependent additional settlement, and long-term consolidation—each associated with distinct levels of energy input, grouting demand, and embodied-carbon release. Peck’s Gaussian function is used to model transverse settlement troughs, and Gaussian superposition is applied to separate the contributions of the leading and trailing tunnels. The results indicate that the trailing shield induces ahead-of-face settlement at approximately two excavation diameters and produces a deeper–narrower settlement trough due to cumulative disturbance within the overlapping interaction zone. A ratio-type indicator, the Twin-Tunnel Interaction Ratio (TIR), is proposed to quantify disturbance intensity and reveal its environmental implications. High TIR values correspond to amplified ground response, prolonged stabilization, repeated compensation grouting, and increased embodied carbon during construction. Reducing effective TIR through coordinated optimization of shield attitude, face pressure, and grouting parameters can improve both deformation control and carbon efficiency. The proposed framework links geotechnical behaviour with environmental performance and provides a practical basis for risk-controlled, energy-efficient, and low-carbon management of sequential shield tunnelling. Full article
Show Figures

Figure 1

17 pages, 4771 KB  
Article
Influence of Segment Width on Tunnel Deformation and Ground Settlement in Shield Tunneling Beneath Residential Areas
by Pengjie Song and Xiankai Bao
Appl. Sci. 2026, 16(1), 47; https://doi.org/10.3390/app16010047 - 19 Dec 2025
Viewed by 282
Abstract
To investigate the influence of segmental lining width on ground and tunnel deformation during shield tunneling beneath residential buildings, a numerical analysis model was established using Midas GTS NX based on the engineering context of the Guangzhou Metro Guanggang Xincheng depot tunnel underpassing [...] Read more.
To investigate the influence of segmental lining width on ground and tunnel deformation during shield tunneling beneath residential buildings, a numerical analysis model was established using Midas GTS NX based on the engineering context of the Guangzhou Metro Guanggang Xincheng depot tunnel underpassing residential structures. The simulation results were validated through comparison with field monitoring data, and a gray relational analysis was employed to quantitatively assess the sensitivity of various deformation indicators to segment width. The findings indicate that, under the engineering scenario of a shield tunnel crossing beneath residential buildings, the use of 1.2 m-wide segments is more effective in controlling ground settlement and structural deformation of the tunnel compared with 1.5 m-wide segments. The deformation process associated with the 1.2 m segments exhibits a more stable settlement pattern, whereas the 1.5 m segments tend to induce repeated settlement–heave cycles in the surrounding ground, with a potential risk of segmental displacement exceeding warning thresholds. Sensitivity analysis shows that different deformation indicators respond unevenly to changes in segment width. From most to least sensitive, the indicators rank as follows: maximum ground deformation, maximum displacement during the post-excavation stage, and maximum displacement during the excavation stage. The results of this study provide theoretical support and reference for selecting segmental lining width in shield tunnels constructed beneath residential buildings. Full article
Show Figures

Figure 1

26 pages, 10802 KB  
Article
Indirect Vision-Based Localization of Cutter Bolts for Shield Machine Cutter Changing Robots
by Sijin Liu, Zilu Shi, Yuyang Ma, Yang Meng, Jun Wang, Qianchen Sha, Yingjie Wei and Xingqiao Yu
Sensors 2025, 25(24), 7685; https://doi.org/10.3390/s25247685 - 18 Dec 2025
Viewed by 403
Abstract
In operations involving the replacement of shield machine disc cutters, challenges such as limited space, poor lighting, and slurry contamination frequently lead to occlusions and incomplete data when using direct point cloud-based localization for disc cutter bolts. To overcome these issues, this study [...] Read more.
In operations involving the replacement of shield machine disc cutters, challenges such as limited space, poor lighting, and slurry contamination frequently lead to occlusions and incomplete data when using direct point cloud-based localization for disc cutter bolts. To overcome these issues, this study introduces an indirect visual localization technique for bolts that utilizes image-point cloud fusion. Initially, an SCMamba-YOLO instance segmentation model is developed to extract feature surface masks from the cutterbox. This model, trained on the self-constructed HCB-Dataset, delivers a mAP50 of 90.7% and a mAP50-95 of 82.2%, which indicates a strong balance between its accuracy and real-time performance. Following this, a non-overlapping point cloud registration framework that integrates image and point cloud data is established. By linking dual-camera coordinate systems and applying filtering through feature surface masks, essential corner coordinates are identified for pose calibration, allowing for the estimation of the three-dimensional coordinates of the bolts. Experimental results demonstrate that the proposed method achieves a localization error of less than 2 mm in both ideal and simulated tunnel environments, significantly enhancing stability in low-overlap and complex settings. This approach offers a viable technical foundation for the precise operation of shield disc cutter changing robots and the intelligent advancement of tunnel boring equipment. Full article
Show Figures

Figure 1

31 pages, 6882 KB  
Article
Ground-Type Classification from Earth-Pressure-Balance Shield Operational Data with Uncertainty Quantification
by Shuai Huang, Yuxin Chen, Manoj Khandelwal and Jian Zhou
Appl. Sci. 2025, 15(24), 13234; https://doi.org/10.3390/app152413234 - 17 Dec 2025
Viewed by 227
Abstract
In urban underground space construction using shield tunnelling, the geological conditions ahead of the tunnel face are often uncertain. Without timely and accurate classification of the ground type, mismatches in operational parameters, uncontrolled costs, and schedule risks are likely to occur. Using observations [...] Read more.
In urban underground space construction using shield tunnelling, the geological conditions ahead of the tunnel face are often uncertain. Without timely and accurate classification of the ground type, mismatches in operational parameters, uncontrolled costs, and schedule risks are likely to occur. Using observations from an earth pressure balance (EPB) project on an urban railway, a data-driven classification framework is developed that integrates shield tunnelling operating measurements with physically derived quantities to discriminate among soft soil, hard rock, and mixed strata. Principal component analysis (PCA) is performed on the training set, followed by a systematic comparison of tree-based classifiers and hyperparameter optimization strategies to explore the attainable performance. Under unified evaluation criteria, a categorical bosting (CatBoost) model optimized by a Nevergrad combination strategy (NGOpt) attains the highest test accuracy of 0.9625, with macro-averaged precision and macro-averaged recall of 0.9715 and 0.9716, respectively. To mitigate optimism from single-point estimates, stratified bootstrap intervals are reported for the test set. A Monte Carlo experiment applies independent perturbations to the PCA-transformed features, producing low label-flip rates across the three classes, with only minor changes in probability calibration metrics, which suggests consistent decisions under sensor noise and sampling bias. Overall, within the scope of the considered EPB project, the study delivers a compact workflow that demonstrates the feasibility of uncertainty-aware ground-type classification and provides a methodological reference for developing decision-support tools in underground tunnel construction. Full article
(This article belongs to the Special Issue Latest Advances in Rock Mechanics and Geotechnical Engineering)
Show Figures

Figure 1

22 pages, 13983 KB  
Article
Numerical Studies for the Application of the Methodology for Volume Loss of Cohesionless (Loose) Soils (VL,LSR) and the Additional Settlement (Smax) During Shield Tunneling
by Armen Z. Ter-Martirosyan, Ilnaz I. Mustakhimov and Ivan A. Tikhoniuk
Buildings 2025, 15(24), 4555; https://doi.org/10.3390/buildings15244555 - 17 Dec 2025
Viewed by 260
Abstract
This paper presents results of numerical modeling of tunneling using mechanized tunnel boring machines (TBMs) based on a methodology for determining the volume loss cohesionless (loose) soils, denoted as VL,LSR, for shallow tunnels in dispersive soils to estimate surface [...] Read more.
This paper presents results of numerical modeling of tunneling using mechanized tunnel boring machines (TBMs) based on a methodology for determining the volume loss cohesionless (loose) soils, denoted as VL,LSR, for shallow tunnels in dispersive soils to estimate surface and foundation on settlement natural ground. Existing methods for estimating ground surface and structural settlements have significant drawbacks, caused by several factors, including the complexity of determining volume loss using the proposed methodologies, a limited number of empirical parameters describing the technological features of TBM operations, the absence of methods in Russian regulatory documentation for determining volume loss in tunnels with diameters of 6 m or more, among other issues. The study aims to validate a previously developed method for estimating VL,LSR and an empirical equation for predicting surface settlements, Smax, to assess additional settlements induced by tunneling. The proposed volume loss methodology and the modified Smax expression from Peck R.B. (1969), derived from monitoring data, are used in empirical calculations and numerical modeling of surface and building settlements during TBM tunneling. Validation results include back-analysis of geotechnical “tunnel–ground–structure” interaction models, comparisons of additional settlements from design calculations and field monitoring data, as well as comparisons with existing empirical relationships and relevant regulatory documents, followed by recommendations for their integrated application. The validated methods demonstrate good agreement with observed monitoring data, while providing sufficient engineering safety margins, confirming the applicability of the VL,LSR and the modified Smax expression by Peck R.B. (1969) for predicting settlements of tunneling and identifying directions for further research. Full article
Show Figures

Figure 1

19 pages, 3897 KB  
Article
Research on Cutter Anomaly Identification in Slightly Weathered Metamorphic Rock Formations Based on BO-Light GBM Model
by Qixing Wu and Junfeng Zhang
Appl. Sci. 2025, 15(24), 13167; https://doi.org/10.3390/app152413167 - 15 Dec 2025
Viewed by 208
Abstract
Accurate and timely identification of cutter anomalies is crucial for ensuring the safety and efficiency of shield tunneling. To address the issues of poor timeliness and high costs associated with traditional periodic manual inspection methods, this study establishes a cutter anomaly identification model [...] Read more.
Accurate and timely identification of cutter anomalies is crucial for ensuring the safety and efficiency of shield tunneling. To address the issues of poor timeliness and high costs associated with traditional periodic manual inspection methods, this study establishes a cutter anomaly identification model based on the BO-Light GBM algorithm, focusing on slightly weathered metamorphic rock formations. Six parameters closely related to the tunneling state were selected to construct the feature set, and one-class support vector machines (SVMs) were employed to remove anomalous samples. On this basis, a baseline Light GBM model with preset hyperparameters was developed, achieving a preliminary accuracy of 96.04%. Further hyperparameter tuning using Bayesian optimization boosted the overall accuracy of the final BO-Light GBM model to 99.40% while improving training efficiency by approximately 50% compared to exhaustive grid search. Interpretability analysis conducted via SHAP values revealed that chamber pressure, cutterhead rotation speed, total thrust, and cutterhead torque were the primary contributing features, with patterns consistent with actual tunneling conditions, confirming the accuracy of the model’s predictions. The research outcomes provide valuable theoretical guidance and technical support for similar engineering applications. Full article
Show Figures

Figure 1

22 pages, 8720 KB  
Article
Investigation into the Mechanical Response of Shield Lining Under Simultaneous Construction of Subway Station and Tunnel
by Xusu He, Yang Liu, Shilin Zhang, Xuantao Shi, Yanhua Cao, Xiaowei Li and Sulei Zhang
Processes 2025, 13(12), 3968; https://doi.org/10.3390/pr13123968 - 8 Dec 2025
Viewed by 283
Abstract
To reduce downtime of the Tunnel Boring Machine and improve construction efficiency of subway tunnels, the tunnel–station synchronous construction method was implemented in the Qingdao metro. In this method, the TBM advanced continuously through the station, while the upper station was excavated in [...] Read more.
To reduce downtime of the Tunnel Boring Machine and improve construction efficiency of subway tunnels, the tunnel–station synchronous construction method was implemented in the Qingdao metro. In this method, the TBM advanced continuously through the station, while the upper station was excavated in stages using the primary support arch covering technique. Focusing on a construction scheme with low-grade temporary segments, this study develops a three-dimensional numerical model to investigate the mechanical response of shield lining during the simultaneous construction of a subway station and tunnel. The Mohr–Coulomb model and the Elastic model were employed to represent the mechanical behavior of the surrounding rock and support structure, respectively. The deformation, bending moment, axial force, and residual bearing capacity coefficients of the shield lining were systematically examined across six distinct construction stages. The results showed that asymmetric gradual unloading of the surrounding rock at the arch part caused the vertical displacement of the shield lining to be predominantly upward, with a maximum heave of 1.51 mm. Horizontal displacement exhibited significant asymmetry. During station arch excavation, asymmetric unloading led to an increase and clockwise shift in the bending moments of the shield lining. The axial forces transitioned from compression to tension at specific locations (40° and 240°), whereas the removal of temporary supports had only a minor influence. The maximum tensile stress of the shield lining increased by 3.35 times in Stage III and reached 0.69 MPa in Stage V, representing a 1.65-fold increase compared to the previous stage. Although the residual bearing capacity coefficient generally satisfied safety requirements throughout the construction process, it decreased to a minimum of 0.88 in Stage V, a 7% reduction relative to Stage IV, necessitating close monitoring. This study not only confirmed the safety of using temporary segments made of lower-grade concrete (C30) in tunnel–station synchronous construction but also provided valuable insights for optimizing construction schemes and controlling key risks, such as structural deformation, in similarly complex urban environments. Full article
(This article belongs to the Section Process Control and Monitoring)
Show Figures

Figure 1

17 pages, 12048 KB  
Article
Optimization and Field Validation of Soil Conditioning Scheme for EPB Shield Tunneling in Cobble–Boulder Stratum: Case Study on Beijing Metro Line 16
by Zhiyong Yang, Xiaokang Shao, Zhe Liu, Zhiqiang Bai and Yusheng Jiang
Buildings 2025, 15(24), 4429; https://doi.org/10.3390/buildings15244429 - 8 Dec 2025
Viewed by 345
Abstract
As laboratory experiments evaluating soil strata conditioning schemes for earth pressure balance shield (EPBS) tunneling are limited by the size of the test equipment, large pebbles and boulders are typically replaced by an equal mass of smaller pebbles (≦40 mm), resulting in behaviors [...] Read more.
As laboratory experiments evaluating soil strata conditioning schemes for earth pressure balance shield (EPBS) tunneling are limited by the size of the test equipment, large pebbles and boulders are typically replaced by an equal mass of smaller pebbles (≦40 mm), resulting in behaviors that differ significantly from those of the in situ soil and causing the obtained conditioning scheme to perform poorly during actual tunnel construction. This study applied a laboratory-obtained conditioning scheme during EPBS tunneling in the boulder- and pebble-rich soil strata between Yushuzhuang and Wanpingcheng on Beijing Metro Line 16 to determine the optimal soil conditioning scheme using the upper soil chamber pressure, cutterhead torque, tunneling speed, and total thrust tunneling parameters as evaluation indices. The optimized soil conditioning scheme provided a better soil conditioning effect than the laboratory-obtained scheme and confirmed that the considered parameters reflected the soil conditioning effects. Finally, the correlations between these three soil conditioning factors and the four tunneling parameters were analyzed using a full factorial experimental design to obtain contour plots of their quantitative relationships for use in similar tunneling projects. Full article
(This article belongs to the Section Construction Management, and Computers & Digitization)
Show Figures

Figure 1

20 pages, 4499 KB  
Article
Theoretical Study on Soil Deformation Induced by Shield Tunneling Through Soil–Rock Composite Strata
by Jie Yin, Hangkai Zhu, Yongjie Qi, Jian Zhou, Bin Chen, Xijie Zhu and Feng Chen
Symmetry 2025, 17(12), 2104; https://doi.org/10.3390/sym17122104 - 8 Dec 2025
Viewed by 275
Abstract
To investigate the soil displacement rule caused by shield tunneling in soil–rock composite strata, the convergence mode of the shield excavation surface was analyzed. The research accounts for the variations in the slopes of the tunnel and the rock–soil interface along the excavation [...] Read more.
To investigate the soil displacement rule caused by shield tunneling in soil–rock composite strata, the convergence mode of the shield excavation surface was analyzed. The research accounts for the variations in the slopes of the tunnel and the rock–soil interface along the excavation direction. Based on the stochastic medium theory, the calculation formula of soil displacement under different depths is derived. Surface subsidence was computed and evaluated using three engineering case studies. The results show that the calculated surface subsidence curves exhibit strong symmetry and are similar to the distribution pattern of the measured data. When tunneling through composite strata, the segments are prone to an upward floating motion, leading to a convergence pattern in the cross-section that tends toward a non-equal radial convergence mode with top tangency. Within the same project context, the grouting filling rate (δ) diminishes as the hard rock ratio (B) increases, exhibiting an approximate linear correlation. An increase in the hard rock ratio results in reduced values for lateral and longitudinal subsidence, the width of the lateral subsidence trough, and the main impact zone of the shield tunneling operations. Full article
(This article belongs to the Section Engineering and Materials)
Show Figures

Figure 1

Back to TopTop