Reducing Sintering Temperature While Optimizing Electrical Properties of BCZT-Based Lead-Free Ceramics by Adding MnO2 as Sintering Aid
Abstract
1. Introduction
2. Experimental Procedure
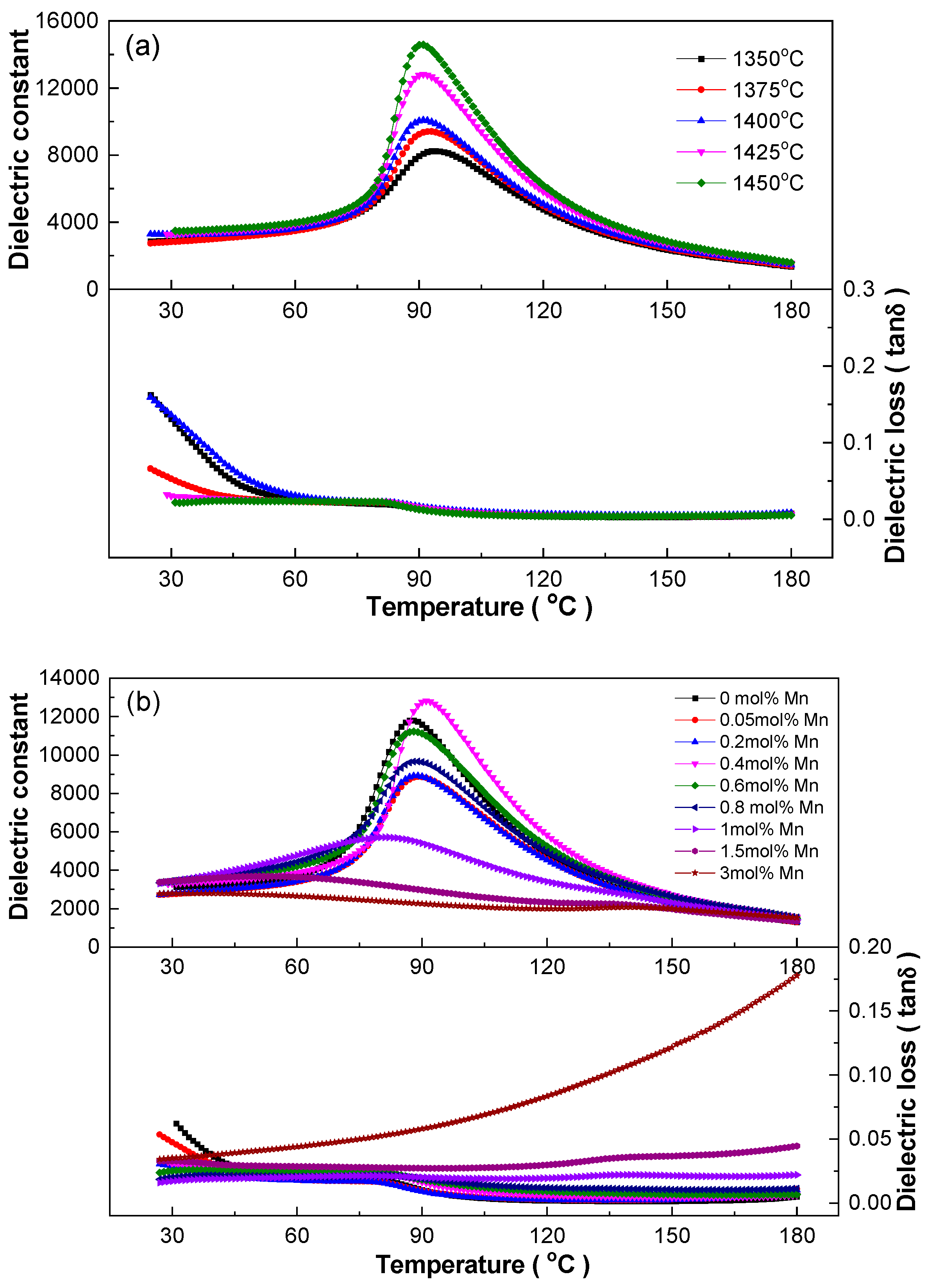
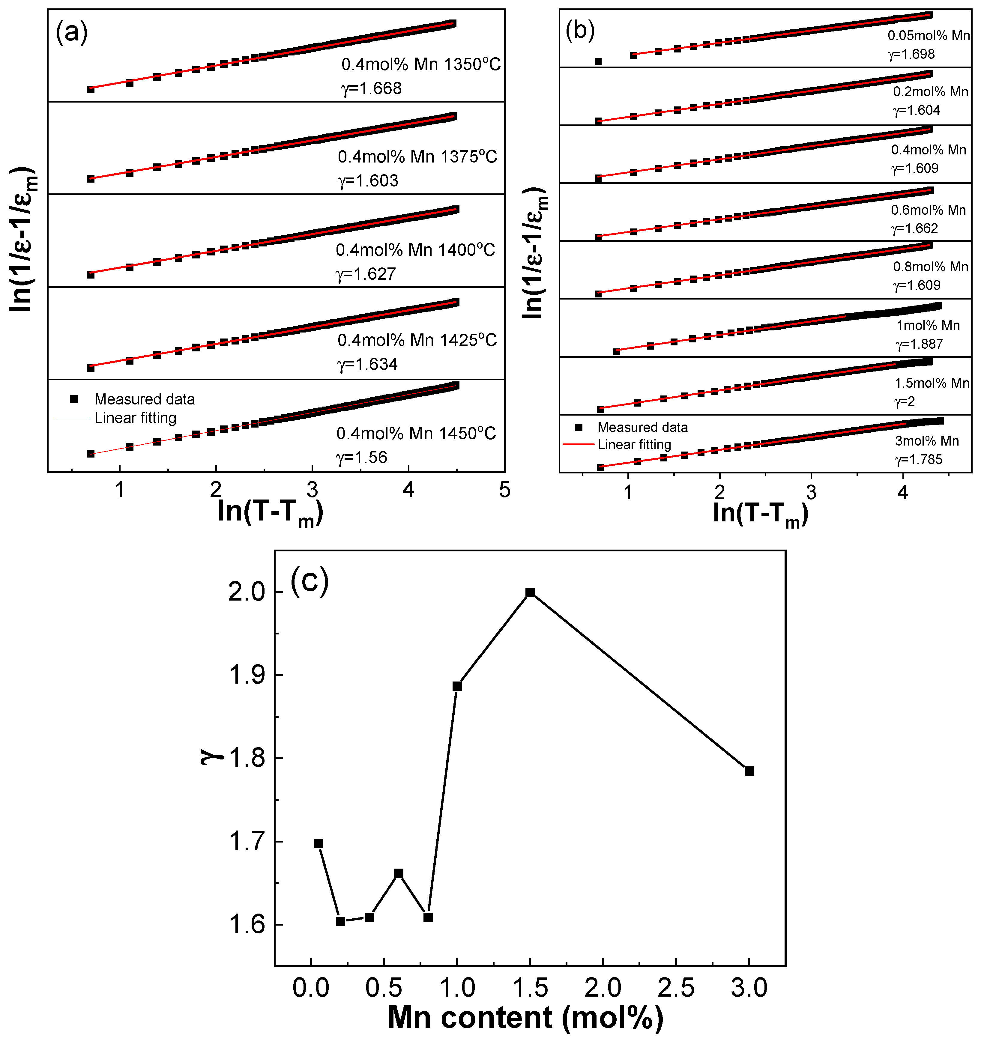
3. Results and Discussion
4. Conclusions
Supplementary Materials
Author Contributions
Funding
Institutional Review Board Statement
Informed Consent Statement
Data Availability Statement
Conflicts of Interest
References
- Yan, F.; Qian, J.; Wang, S.; Zhai, J. Progress and outlook on lead-free ceramics for energy storage applications. Nano Energy 2024, 123, 109394. [Google Scholar] [CrossRef]
- Sahoo, B.; Thejas, T.; Politova, E.; Panda, P. Effect of dopants on electrical properties of BCT-BZT lead free piezo ceramics: A review. Ferroelectrics 2021, 582, 46–62. [Google Scholar] [CrossRef]
- Panda, P.; Sahoo, B.; Thejas, T.; Krishna, M. High d33 lead-free piezoceramics: A Review. J. Electron. Mater. 2022, 51, 938–952. [Google Scholar] [CrossRef]
- Li, Z.; Yu, J.; Hao, S.; Janolin, P.-E. Enhancing properties of lead-free ferroelectric BaTiO3 through doping. J. Eur. Ceram. Soc. 2022, 42, 4693–4701. [Google Scholar] [CrossRef]
- Verma, R.; Chauhan, A.; Batoo, K.; Jasrotia, R.; Sharma, A.; Kumar, R.; Hadi, M.; Raslan, E.; Labis, J.; Imran, A. Review—Modulation of Dielectric, Ferroelectric, and Piezoelectric Properties of Lead-Free BCZT Ceramics by Doping. ECS J. Solid State Sci. Technol. 2021, 10, 073004. [Google Scholar] [CrossRef]
- Nguyen, T.N.; Thong, H.-C.; Zhu, Z.-X.; Nie, J.-K.; Liu, Y.-X.; Xu, Z.; Soon, P.-S.; Gong, W.; Wang, K. Hardening effect in lead-free piezoelectric ceramics. J. Mater. Res. 2021, 36, 996–1014. [Google Scholar] [CrossRef]
- Liu, W.; Ren, X. Large piezoelectric effect in Pb-free ceramics. Phys. Rev. Lett. 2009, 103, 257602. [Google Scholar] [CrossRef]
- Coondoo, I.; Pullar, R.C.; Miranda, G. Multifunctional lead-free piezoelectric (Ba, Ca)(Zr, Ti)O3 compounds: From energy harvesting to electrocaloric cooling and energy storage applications. Mater. Res. Bull. 2024, 179, 112924. [Google Scholar] [CrossRef]
- Buatip, N.; Munthala, D.; Janphuang, P.; Pojprapai, S. Investigation of energy harvesting performance of BCZT piezoelectric ceramics under low frequency. Bull. Mater. Sci. 2024, 47, 25. [Google Scholar] [CrossRef]
- Thakur, N.; Gopalan, P.; Kolte, J. Structural, electrical, and dynamic scaling behavior of Ba0.85Ca0.15Zr0.10Ti0.90O3 nanoceramics synthesized at low temperature by sonochemical method. Ceram. Int. 2024, 50, 46718–46728. [Google Scholar] [CrossRef]
- Yang, P.; Zhao, L.; Shi, S.; Zheng, H.; Yu, S. Effects of multiple sintering additives on crystal structure, morphology and tunable mechanisms of BCZT ceramics. J. Mater. Sci. 2024, 59, 14482–14493. [Google Scholar] [CrossRef]
- Kumari, S.; Kumar, A.; Kumar, V.; Aggarwal, S.; Goyal, P.K.; Gaur, A.; Arya, A.; Kumar, A. Enhanced Curie temperature with a significant reduction in sintering temperature for Cu2+/Bi3+ co-doped BCZT lead-free ceramics. Mater. Sci. Eng. B 2023, 293, 116500. [Google Scholar] [CrossRef]
- Jaiban, P.; Theethuan, T.; Khumtrong, S.; Lokakaew, S.; Watcharapasorn, A. The effects of donor (Nb5+) and acceptor (Cu2+, Zn2+, Mn2+, Mg2+) doping at B-site on crystal structure, microstructure, and electrical properties of (Ba0.85Ca0.15)Zr0.1Ti0.9O3 ceramics. J. Alloys Compd. 2022, 899, 162909. [Google Scholar] [CrossRef]
- Ma, P.; Wang, J.; He, Y.; Duan, X. Dielectric and Ferroelectric Performances of Y, Mn Co-doped Barium Calcium Zirconate Titanate Based Lead-Free Piezoceramics. J. Mater. Eng. Perform. 2024, 33, 14329–14334. [Google Scholar] [CrossRef]
- Du, J.; Qiu, L.; Yang, C.; Zheng, H.; Zhu, K.; Wang, L. Structure and electrical properties in CuO-modified BCZT lead-free piezoelectric ceramics. J. Electroceram. 2022, 49, 125–134. [Google Scholar] [CrossRef]
- Yu, Y.; Guo, W.; Zhen, Y.; Cen, Z.; Ji, A.; Wu, H.; Liang, S.; Xiong, S.; Wang, X. Influence of MnO2 addition on the dielectric properties of 0.95MgTiO3-0.05CaTiO3 ceramics sintered in a reducing atmosphere. J. Eur. Ceram. Soc. 2023, 43, 378–383. [Google Scholar] [CrossRef]
- Zheng, Y.; Shi, Y.; Ren, Z.; Zhang, B.; Feng, J.; Li, H.; Dang, S.; Yang, F.; Shang, J.; Yin, S. Preparation and electrical properties of Ba0.85Ca0.15Zr0.1Ti0.9O3 ceramics by the doping of Mn ions. Physica B 2022, 643, 414140. [Google Scholar] [CrossRef]
- Kar, K.S.; Chandrasekhar, M.; Rao, L.T.; Harshavardhan, V.; Kumar, P. Effect of MnO2 addition on structure, electrical and optical properties of Ba(Fe0.5Nb0.5)O3 ceramics. Process. Appl. Ceram. 2024, 18, 323–329. [Google Scholar] [CrossRef]
- Peng, W.; Li, L.; Yu, S.; Yang, P.; Xu, K. Dielectric properties, microstructure and charge compensation of MnO2-doped BaTiO3-based ceramics in a reducing atmosphere. Ceram. Int. 2021, 47, 29191–29196. [Google Scholar] [CrossRef]
- Li, Z.; Xun, W.; Huang, X.; Wan, Y.; Liu, Y.; Gu, S.; He, W.; Yang, W.; Lin, Z.; Wang, B. Significant enhancement of ferroelectric performance in lead-free NaNbO3 ceramics. Ceram. Int. 2024, 50, 36487–36494. [Google Scholar] [CrossRef]
- Lin, J.; Qin, S.; Cui, B.; Cheng, J.; Chen, J. Reduced dielectric loss and improved electric thermal stability of BF–PT–BT ceramics by Mn additions. J. Mater. Sci. 2023, 58, 4031–4040. [Google Scholar] [CrossRef]
- Mekonnen, M.A.; Tadesse, M.Z. Low temperature sintering of (Ba0.85Ca0.15)(Ti0.90Zr0.10)O3 lead-free piezoceramic with the additive of MnO2. J. Electroceram. 2021, 46, 115–123. [Google Scholar] [CrossRef]
- Wang, R.; Cheng, Y.; Xu, S.; Zhang, G.; Zhang, H.; Li, W. Tb3+/Dy3+ doped glass ceramics containing Bi2Ti2O7 crystal phases for luminescence and temperature sensing. Ceram. Int. 2025, 51, 1143–1152. [Google Scholar] [CrossRef]
- Ke, L.; Ren, K.; Cai, X.; Zhang, Y. Energy transfer and color tunability in high-thermal-stability Dy3+/Tb3+ co-doped K3YF6 transparent oxyfluoride glass ceramics. J. Alloys Compd. 2024, 1004, 175808. [Google Scholar] [CrossRef]
- Kim, T.W.; Lee, G.; Ichimura, M.; Koh, J.-H. Enhanced soft piezoelectric properties of Sb2O3 doped 0.5Ba(Zr0.2Ti0.8)O3-0.5(Ba0.7Ca0.3)TiO3 materials. J. Alloys Compd. 2024, 987, 174163. [Google Scholar] [CrossRef]
- Zhang, L.; Zhang, M.; Wang, L.; Zhou, C.; Zhang, Z.; Yao, Y.; Zhang, L.; Xue, D.; Lou, X.; Ren, X. Phase transitions and the piezoelectricity around morphotropic phase boundary in Ba (Zr0.2Ti0.8)O3-x(Ba0.7Ca0.3)TiO3 lead-free solid solution. Appl. Phys. Lett. 2014, 105, 162908. [Google Scholar] [CrossRef]
- Acosta, M.; Khakpash, N.; Someya, T.; Novak, N.; Jo, W.; Nagata, H.; Rossetti Jr, G.A.; Rödel, J. Origin of the large piezoelectric activity in (1− x)Ba(Zr0.2Ti0.8)O3-x(Ba0.7Ca0.3)TiO3 ceramics. Phys. Rev. B 2015, 91, 104108. [Google Scholar] [CrossRef]
- Coondoo, I.; Panwar, N.; Krylova, S.; Krylov, A.; Alikin, D.; Jakka, S.K.; Turygin, A.; Shur, V.Y.; Kholkin, A.L. Temperature-dependent Raman spectroscopy, domain morphology and photoluminescence studies in lead-free BCZT ceramic. Ceram. Int. 2021, 47, 2828–2838. [Google Scholar] [CrossRef]
- Dhifallah, N.; Hentati, M.A.; Khemakhem, H. Orthorhombic–tetragonal phase coexistence and enhanced piezoelectric properties at room temperature in Zn and Ta modified (Ba0.95Ca0.05)(Zr0.05Ti0.95)O3 ceramics through the synergistic effect of lattice distortion. RSC Adv. 2024, 14, 27042–27059. [Google Scholar] [CrossRef]
- Fang, Y.; Shui, A.; Yu, H.; Zhong, X. High energy storage performance in SrZrO3-modified quaternary relaxor ferroelectric ceramics. Ceram. Int. 2024, 50, 55639–55649. [Google Scholar] [CrossRef]
- Yan, G.; Sun, J.; Yan, J.; Deng, T.; Fang, B.; Hao, J.; Zhang, S.; Lu, X.; Zhao, X.; Ding, J. Pulse energy-storage performance and temperature stability of Bi2O3-added BaTiO3 based ceramics. Ceram. Int. 2023, 49, 33057–33072. [Google Scholar] [CrossRef]
- Kröger, F.A.; Vink, H.J. Relations between the concentrations of imperfections in crystalline solids. Solid State Phys. 1956, 3, 307–435. [Google Scholar]
- Yu, Y.; Zheng, T.; Zhang, N.; Wu, J. Review of Sintering Aids in Lead-Free (K, Na)NbO₃-Based Ceramics. IEEE Trans. Ultrason. Ferroelectr. Freq. Control 2022, 69, 3003–3012. [Google Scholar] [CrossRef] [PubMed]
- Yang, Z.; Yin, Z.; Wang, D.; Wang, H.; Song, H.; Zhao, Z.; Zhang, G.; Qing, G.; Wu, H.; Jin, H. Effects of ternary sintering aids and sintering parameters on properties of alumina ceramics based on orthogonal test method. Mater. Chem. Phys. 2020, 241, 122453. [Google Scholar] [CrossRef]
- Ben, F.; Xu, D.; Zhou, X.; Yu, T.; Wei, J.; Zhao, W. Crystalline structure and dielectric relaxor behavior of MnO2-modified 0.8BaTiO3-0.2BiScO3 ceramics for energy storage application. Mater. Chem. Phys. 2025, 329, 130119. [Google Scholar] [CrossRef]
- Sun, J.; Yang, Y.; Fang, B.; Zhang, S.; Lu, X.; Ding, J. Improving multifunctional performance of Dy-doped (Ba0.85Ca0.15)(Zr0.1Ti0.9)O3 ceramics via tailoring Dy-doping amount and ceramic processing. Ferroelectrics 2024, 618, 655–670. [Google Scholar] [CrossRef]
- Sun, M.; Du, J.; Chen, C.; Fu, P.; Li, P.; Hao, J.; Yue, Z.; Li, W. Enhanced piezoelectric properties in M (M = Co or Zn)-doped Ba0.99Ca0.01Ti0.98Zr0.02O3 ceramics. Ceram. Int. 2020, 46, 17351–17360. [Google Scholar] [CrossRef]
- Amorín, H.; Venet, M.; García, J.E.; Ochoa, D.A.; Ramos, P.; López-Sánchez, J.; Rubio-Zuazo, J.; Castro, A.; Algueró, M. Insights into the Early Size Effects of Lead-Free Piezoelectric Ba0.85Ca0.15Zr0.1Ti0.9O3. Adv. Electron. Mater. 2024, 10, 2300556. [Google Scholar] [CrossRef]
- Hao, J.; Bai, W.; Li, W.; Zhai, J. Correlation between the microstructure and electrical properties in high-performance (Ba0.85Ca0.15)(Zr0.1Ti0.9)O3 lead-free piezoelectric ceramics. J. Am. Ceram. Soc. 2012, 95, 1998–2006. [Google Scholar] [CrossRef]
- Shang, M.; Ren, P.; Wan, Y.; Lu, X. Tailoring Curie temperature and dielectric properties by changing the doping sites of Y ions in (Ba, Ca)(Zr, Ti)O3 ceramics. J. Eur. Ceram. Soc. 2023, 43, 2488–2497. [Google Scholar] [CrossRef]
- Wang, L.; Bai, W.; Zhao, X.; Ding, Y.; Wu, S.; Zheng, P.; Li, P.; Zhai, J. Influences of rare earth site engineering on piezoelectric and electromechanical response of (Ba0.85Ca0.15)(Zr0.1Ti0.9)O3 lead-free ceramics. J. Mater. Sci. Mater. Electron. 2020, 31, 6560–6573. [Google Scholar] [CrossRef]
- Sun, J.; Yan, G.; Fang, B.; Zhang, S.; Lu, X.; Ding, J. Improving energy storage performance of BLLMT ceramic by doping BZT combining with defect engineering and film scraping process. J. Alloys Compd. 2024, 971, 172708. [Google Scholar] [CrossRef]
- Belkhadir, S.; Moumen, S.B.; Asbani, B.; Amjoud, M.; Mezzane, D.; Luk’Yanchuk, I.A.; Choukri, E.; Hajji, L.; Gagou, Y.; El Marssi, M. Impedance spectroscopy analysis of the diffuse phase transition in lead-free (Ba0.85Ca0.15)(Zr0.1Ti0.9)O3 ceramic elaborated by sol-gel method. Superlattices Microstruct. 2019, 127, 71–79. [Google Scholar] [CrossRef]
- Wang, X.; Huan, Y.; Zhu, Y.; Zhang, P.; Yang, W.; Li, P.; Wei, T.; Li, L.; Wang, X. Defect engineering of BCZT-based piezoelectric ceramics with high piezoelectric properties. J. Adv. Ceram. 2022, 11, 184–195. [Google Scholar] [CrossRef]













| Sample | Space Group | a (Å) | b (Å) | c (Å) | Phase Fraction (%) | Rwp (%) | χ2 (%) |
|---|---|---|---|---|---|---|---|
| x = 0.05 | Amm2 | 3.9962 | 5.6772 | 5.7035 | 68.5 | 7.55 | 2.452 |
| R3m | 4.0149 | 4.0149 | 4.0149 | 13.4 | |||
| P4mm | 3.9991 | 3.9991 | 4.0174 | 18.1 | |||
| x = 0.2 | Amm2 | 3.9908 | 5.6906 | 5.7291 | 50.9 | 9.2 | 3.654 |
| R3m | 4.0012 | 4.0012 | 4.0012 | 7.5 | |||
| P4mm | 3.9994 | 3.9994 | 4.0152 | 41.6 | |||
| x = 0.4 | Amm2 | 3.9957 | 5.6984 | 5.6742 | 41.7 | 9.28 | 3.502 |
| R3m | 4.0197 | 4.0197 | 4.0197 | 14.1 | |||
| P4mm | 3.9992 | 3.9992 | 4.0174 | 44.2 | |||
| x = 0.6 | Amm2 | 3.9967 | 5.6848 | 5.6712 | 45.1 | 9.74 | 3.784 |
| R3m | 4.0141 | 4.0141 | 4.0141 | 30.5 | |||
| P4mm | 3.9952 | 3.9952 | 4.0297 | 24.4 | |||
| x = 0.8 | Amm2 | 3.9834 | 5.7211 | 5.6771 | 54.2 | 9.99 | 4.643 |
| R3m | 4.0111 | 4.0111 | 4.0111 | 34.2 | |||
| P4mm | 3.9953 | 3.9953 | 4.0203 | 11.6 | |||
| x = 1 | Amm2 | 3.9899 | 5.7178 | 5.6792 | 49.8 | 9.76 | 4.212 |
| R3m | 4.019 | 4.019 | 4.019 | 8 | |||
| P4mm | 3.9911 | 3.9911 | 4.0476 | 17.6 | |||
| Pm3m | 4.0093 | 4.0093 | 4.0093 | 24.6 | |||
| x = 1.5 | Amm2 | 3.9949 | 5.6664 | 5.721 | 65.4 | 9.98 | 4.357 |
| R3m | 4.0051 | 4.0051 | 4.0051 | 12.8 | |||
| P4mm | 3.9837 | 3.9837 | 4.0367 | 15.1 | |||
| Pm3m | 4.0129 | 4.0129 | 4.0129 | 6.7 | |||
| x = 3 | Amm2 | 3.988 | 5.7029 | 5.7409 | 68.1 | 9.99 | 4.135 |
| R3m | 4.0051 | 4.0051 | 4.0051 | 9.2 | |||
| P4mm | 3.9957 | 3.9957 | 4.0378 | 1 | |||
| Pm3m | 4.0145 | 4.0145 | 4.0145 | 21.7 |
| Sintering Temperature | Pmax (µC/cm2) | Pr (µC/cm2) | Ec (kV/cm) | Smax (%) | Hys (%) | d33* (pm/V) |
|---|---|---|---|---|---|---|
| 1350 °C | 17.09 | 10.87 | 3.58 | 0.099 | 0.33 | 406.6 |
| 1375 °C | 17.42 | 11.00 | 3.19 | 0.105 | 1.90 | 429.5 |
| 1400 °C | 17.57 | 10.78 | 2.80 | 0.110 | 0.30 | 451.8 |
| 1425 °C | 17.68 | 10.64 | 2.59 | 0.118 | 2.66 | 480.9 |
| 1450 °C | 17.7 | 11.37 | 2.44 | 0.127 | 1.73 | 517.2 |
| Sample | Pmax (µC/cm2) | Pr (µC/cm2) | Ec (kV/cm) | Smax (%) | Hys (%) | d33* (pm/V) |
|---|---|---|---|---|---|---|
| x = 0.05 | 15.27 | 8.92 | 3.18 | 0.115 | 1.07 | 468.1 |
| x = 0.2 | 15.71 | 8.95 | 2.83 | 0.113 | 1.11 | 462.5 |
| x = 0.6 | 16.79 | 8.64 | 2.45 | 0.121 | 0.97 | 495.1 |
| x = 0.8 | 17.05 | 8.02 | 2.51 | 0.118 | 2.43 | 481.1 |
| x = 1 | 14.39 | 4.82 | 1.91 | 0.082 | 8.06 | 335.0 |
| x = 1.5 | 11.61 | 2.99 | 2.20 | 0.051 | 11.40 | 208.8 |
| x = 3 | 10.92 | 3.00 | 4.22 | 0.034 | 15.40 | 140.1 |
Disclaimer/Publisher’s Note: The statements, opinions and data contained in all publications are solely those of the individual author(s) and contributor(s) and not of MDPI and/or the editor(s). MDPI and/or the editor(s) disclaim responsibility for any injury to people or property resulting from any ideas, methods, instructions or products referred to in the content. |
© 2025 by the authors. Licensee MDPI, Basel, Switzerland. This article is an open access article distributed under the terms and conditions of the Creative Commons Attribution (CC BY) license (https://creativecommons.org/licenses/by/4.0/).
Share and Cite
Yang, X.; Fang, B.; Zhang, S.; Lu, X.; Ding, J. Reducing Sintering Temperature While Optimizing Electrical Properties of BCZT-Based Lead-Free Ceramics by Adding MnO2 as Sintering Aid. Materials 2025, 18, 1888. https://doi.org/10.3390/ma18081888
Yang X, Fang B, Zhang S, Lu X, Ding J. Reducing Sintering Temperature While Optimizing Electrical Properties of BCZT-Based Lead-Free Ceramics by Adding MnO2 as Sintering Aid. Materials. 2025; 18(8):1888. https://doi.org/10.3390/ma18081888
Chicago/Turabian StyleYang, Xinlin, Bijun Fang, Shuai Zhang, Xiaolong Lu, and Jianning Ding. 2025. "Reducing Sintering Temperature While Optimizing Electrical Properties of BCZT-Based Lead-Free Ceramics by Adding MnO2 as Sintering Aid" Materials 18, no. 8: 1888. https://doi.org/10.3390/ma18081888
APA StyleYang, X., Fang, B., Zhang, S., Lu, X., & Ding, J. (2025). Reducing Sintering Temperature While Optimizing Electrical Properties of BCZT-Based Lead-Free Ceramics by Adding MnO2 as Sintering Aid. Materials, 18(8), 1888. https://doi.org/10.3390/ma18081888

