Effect of Wet-Ground Silica Fume on High-Strength Steam-Cured Cement Concrete
Abstract
1. Introduction
2. Materials and Methods
2.1. Materials
2.2. Sample Preparation
2.2.1. Preparation of WSF
2.2.2. Concrete Sample Preparation
2.3. Test Methods
2.3.1. Particle Size Distribution
2.3.2. Zeta Potential
2.3.3. Compressive Strength Test
2.3.4. XRD Test
2.3.5. SEM Test
2.3.6. TG Test
2.3.7. BET Test
2.3.8. NMR Test
3. Results and Discussion
3.1. Particle Size Analysis of WSF
3.2. Zeta Potential Analysis
3.3. Compressive Strength Analysis
3.4. XRD Analysis
3.5. SEM Analysis
3.6. TG Analysis
3.7. Pore Structure Analysis
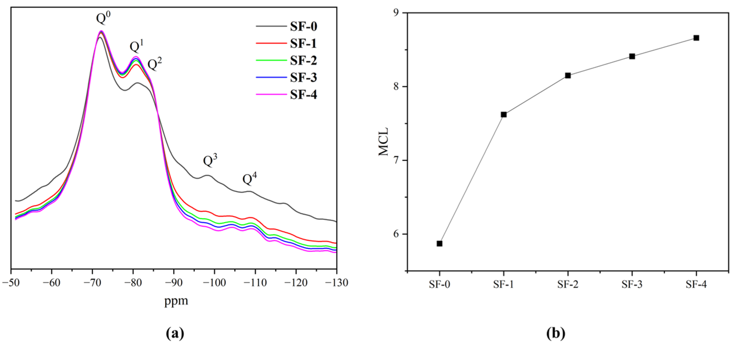
3.8. NMR Analysis
4. Conclusions
- WSF can be prepared using a wet grinding process, and the average particle size of WSF is reduced from 0.86 μm to 0.66 μm. Silica fume undergoes a hydration reaction during wet grinding to produce a low volume of CH and C-S-H gel, thereby increasing the hydration activity of WSF;
- WSF can improve the 1 d compressive strength of steam-cured high-strength concrete; The 1 d compressive strength gradually enhances with the increasing volume of WSF. When the WSF substitution is greater than 50%, the strength growth is not significant. The 1 d hydration degree of concrete added with WSF is high, which reduces the compressive strength growth after 28 d;
- WSF can reduce the harmful pores in concrete. WSF can promote the hydration development of cement to form C-S-H gel and CH. CH reacts with SF for a secondary hydration reaction to generate more C-S-H gel, which fills the pores in the concrete and contributes to the denser concrete structure;
- It can be seen from the XRD, TG, and NMR test results that WSF has a promoting effect on the 1 d strength of steam-cured high-strength concrete. The C-S-H gel content in concrete increases while the CH content decreases, indicating that WSF can promote cement hydration; with the increase in WSF content, the effect of promoting hydration is more obvious; this phenomenon is not obvious when the WSF substitution is greater than 50%.
Author Contributions
Funding
Institutional Review Board Statement
Informed Consent Statement
Data Availability Statement
Conflicts of Interest
References
- Li, B.; Gao, A.; Li, Y. Effect of silica fume content on the mechanical strengths, compressive stress–strain behavior and microstructures of geopolymeric recycled aggregate concrete. Constr. Build. Mater. 2023, 384, 131417. [Google Scholar] [CrossRef]
- Wang, Q.; Liu, R.; Liu, P. Effects of silica fume on the abrasion resistance of low-heat Portland cement concrete. Constr. Build. Mater. 2022, 329, 107439. [Google Scholar] [CrossRef]
- Shen, D.; Huang, Q.; Huang, Y. Early-age cracking failure behavior of high strength concrete with temperature rising inhibitor under different temperature histories. Constr. Build. Mater. 2024, 450, 138581. [Google Scholar] [CrossRef]
- Lei, F.; Lei, L.; Kang, Y. Effect of 2-acrylamide-2-methylpropane sulfonic acid on the early strength enhancement of calcium silicate hydrate seed. Cem. Concr. Compos. 2024, 149, 105527. [Google Scholar] [CrossRef]
- Aashay, A.; Matthew, A.; Hannah, H. Microstructural packing- and rheology-based binder selection and characterization for Ultra-high Performance Concrete (UHPC). Cem. Concr. Res. 2018, 103, 179–190. [Google Scholar]
- Zhang, Z.; Feng, Q.; Zhu, W. Influence of Sand-Cement Ratio and Polycarboxylate Superplasticizer on the Basic Properties of Mortar Based on Water Film Thickness. Materials 2021, 14, 4850. [Google Scholar] [CrossRef]
- Zhang, J.; Ma, Y.; Wang, J. A novel shrinkage-reducing polycarboxylate superplasticizer for cement-based materials: Synthesis, performance and mechanisms. Constr. Build. Mater. 2022, 321, 126342. [Google Scholar] [CrossRef]
- Kanchanason, V.; Plank, J. Role of pH on the structure, composition and morphology of C-S-H-PCE nanocomposites and their effect on early strength development of Portland cement. Cem. Concr. Res. 2017, 102, 98. [Google Scholar] [CrossRef]
- Lei, L.; Zhang, Y.; Li, R. Specific molecular design of polycarboxylate polymers exhibiting optimal compatibility with clay contaminants in concrete. Cem. Concr. Res. 2021, 147, 106504. [Google Scholar] [CrossRef]
- Douglas, H.; Kay, W. Stabilizing dispersed colloidal nanosilica exposed to an ultra-high performance concrete environment. Constr. Build. Mater. 2023, 409, 133975. [Google Scholar]
- Chen, X.; Li, S.; Mezari, B. Effect of highly dispersed colloidal olivine nano-silica on early age properties of ultra-high performance concrete. Cem. Concr. Compos. 2022, 131, 104564. [Google Scholar] [CrossRef]
- Li, Y.; Fang, J.; Cheng, L. Mechanical performance, hydration characteristics and microstructures of high volume blast furnace ferronickel slag cement mortar by wet grinding activation. Constr. Build. Mater. 2022, 320, 126148. [Google Scholar] [CrossRef]
- Wang, Y.; Tan, H.; Gu, X. Preparation of nano-kaolin by wet-grinding process and its application as accelerator in Portland cement. J. Build. Eng. 2021, 44, 103401. [Google Scholar] [CrossRef]
- Liu, X.; Ma, B.; Tan, H. Preparation of ultrafine fly ash by wet grinding and its utilization for immobilizing chloride ions in cement paste. Waste Manag. 2020, 113, 456–468. [Google Scholar] [CrossRef]
- Yang, J.; Yang, M.; He, X. Green reaction-type nucleation seed accelerator prepared from coal fly ash ground in water environment. Constr. Build. Mater. 2021, 306, 124840. [Google Scholar] [CrossRef]
- Tan, H.; Du, H.; Li, M. Enhancement of compressive strength of high-volume fly ash cement paste by wet grinded cement: Towards low carbon cementitious materials. Constr. Build. Mater. 2022, 323, 126458. [Google Scholar] [CrossRef]
- Wang, S.; Zhao, P.; Tian, Y. Effects of C-S-H Seed Prepared by Wet Grinding on the Properties of Cement Containing Large Amounts of Silica Fume. Polymers 2024, 16, 2769. [Google Scholar] [CrossRef]
- Li, M.; Tan, H.; He, X. Preparation of nano cement particles by wet-grinding and its effect on hydration of cementitious system. Constr. Build. Mater. 2021, 307, 125051. [Google Scholar] [CrossRef]
- Ji, G.; Peng, X.; Wang, S. Influence of ground quartz sand finesses on the formation of poorly ordered calcium silicate hydrate prepared by dynamically hydrothermal synthesis. Case Stud. Constr. Mater. 2024, 20, e02746. [Google Scholar] [CrossRef]
- Gu, X.; Tan, H.; He, X. Nano C-S-H seeds prepared from ground granulated blast-furnace slag-carbide slag and its application in Portland cement. Constr. Build. Mater. 2022, 329, 127204. [Google Scholar] [CrossRef]
- Thomas, J.; Hamlin, M.; Jennings, J. Influence of Nucleation Seeding on the Hydration Mechanisms of Tricalcium Silicate and Cement. J. Phys. Chem. 2009, 113, 4327–4334. [Google Scholar] [CrossRef]
- Li, Y.; Tang, E. Research on C-S-H and C-S-H Dehydration Relative to Cement Stone Structure Modification. J. Ceram. 1991, 4, 373–380. [Google Scholar]
- Li, J.; Tang, E. Effect of synthetic C-S-H gel on the interface zone between cement stone and aggregate. J. Wuhan Univ. Technol. 1997, 2, 9–12. [Google Scholar]
- Zheng, S.; Liu, T.; Jiang, G. Direct evidence of pore structural effects on the compressive strength of lightweight cement slurry containing nano silica fume and hollow glass microspheres. Constr. Build. Mater. 2024, 411, 134703. [Google Scholar] [CrossRef]
- Basit, M.; Nasir, S. Enhancing the mechanical and environmental performance of engineered cementitious composite with metakaolin, silica fume, and graphene nanoplatelets. Constr. Build. Mater. 2023, 404, 133187. [Google Scholar]
- Blotevogel, S.; Doussang, L.; Poirier, M. The influence of Al2O3, CaO, MgO and TiO2 content on the early-age reactivity of GGBS in blended cements, alkali-activated materials and supersulfated cements. Cem. Concr. Res. 2024, 178, 107439. [Google Scholar] [CrossRef]
- Jiang, J.; Miao, Y.; Wang, H. In-situ dispersion of nano-TiO2 to highly reinforce cement paste. Constr. Build. Mater. 2023, 409, 133962. [Google Scholar] [CrossRef]
- Abo-El-Enein, S.; El-Hosiny, F.; El-Gamal, S. Gamma radiation shielding, fire resistance and physicochemical characteristics of Portland cement pastes modified with synthesized Fe2O3 and ZnO nanoparticles. Constr. Build. Mater. 2018, 706, 173687. [Google Scholar] [CrossRef]
- Han, B.; Wang, Z.; Zeng, S. Properties and modification mechanisms of nano-zirconia filled reactive powder concrete. Constr. Build. Mater. 2017, 434, 141426. [Google Scholar] [CrossRef]
- Marrero, R.; Corr, J.; Espinosa, H.; Shah, S. Characterization of adhesion strength between carbon nanotubes and cementitious materials. Cem. Concr. Compos. 2023, 138, 104953. [Google Scholar] [CrossRef]
- Uthaman, S.; Vishwakarma, V.; George, R. Enhancement of strength and durability of fly ash concrete in seawater environments: Synergistic effect of nanoparticles. Constr. Build. Mater. 2018, 459, 187448. [Google Scholar] [CrossRef]
- Tao, M.; Qiang, Y.; Hu, A. Effect of compound nano-CaCO3 addition on strength development and microstructure of cement-stabilized soil in the marine environment. Constr. Build. Mater. 2017, 81, 151775. [Google Scholar]
- Li, W.; Wang, R.; Wang, Y.; Zuo, W. The acceleration effect of nano C-S-H-PCE on the microstructure formation and evolution at early age of cement paste. Mater. Struct. 2023, 56, 4. [Google Scholar] [CrossRef]
- Tian, H.; Stephan, D.; Lothenbach, B. Influence of foreign ions on calcium silicate hydrate under hydrothermal conditions: A review. Constr. Build. Mater. 2021, 301, 124071. [Google Scholar] [CrossRef]
- Panithi, W.; Pitipak, B.; Wanwisa, K. Synthesis of low crystalline thermally insulating calcium silicate hydrate via a simple template-assisted sol–gel method. Constr. Build. Mater. 2022, 353, 129081. [Google Scholar]
- Shen, W.; Yuan, Q.; Shi, C. Influence of pumping on the resistivity evolution of high-strength concrete and its relation to the rheology. Constr. Build. Mater. 2021, 302, 124095. [Google Scholar] [CrossRef]
- Reches, Y. Nanoparticles as concrete additives: Review and perspectives. Constr. Build. Mater. 2018, 495, 175483. [Google Scholar] [CrossRef]
- Yang, J.; Zeng, J.; He, X. Sustainable clinker-free solid waste binder produced from wet-ground granulated blast-furnace slag, phosphogypsum and carbide slag. Constr. Build. Mater. 2022, 330, 127218. [Google Scholar] [CrossRef]
- GB/T 31387-2015; Reactive Power Concrete. General Administration of Quality Supervision, Inspection and Quarantine of the People’s Republic of China: Beijing, China, 2015.
- GB/T 13476-2023; Pretensioned Spun Concrete Piles. General Administration of Quality Supervision, Inspection and Quarantine of the People’s Republic of China: Beijing, China, 2023.
- Luc, N.; Alexander, E.; Matthias, K. A kinetic analysis of the role of polymers in mineral nucleation. The example of gypsum. Cem. Concr. Res. 2019, 124, 105837. [Google Scholar]
- Pao, R.; Oh, T.; Kim, W. Enhanced microstructure and mechanical properties of cementless ultra high performance fiber-reinforced alkali activated concrete with silicon dioxide nanoparticles. Constr. Build. Mater. 2023, 398, 132514. [Google Scholar] [CrossRef]
- Plank, J.; Hirsch, C. Impact of zeta potential of early cement hydration phases on superplasticizer adsorption. Cem. Concr. Res. 2007, 37, 537–542. [Google Scholar] [CrossRef]
- Yu, J.; Wang, K.; Yang, P. Simulation of calcium carbonate nucleation processes in confined C-S-H nanopores with different calcium-silicon ratios. Constr. Build. Mater. 2024, 438, 137157. [Google Scholar] [CrossRef]
- Shen, X.; Feng, P.; Zhang, Y. Multi-step nucleation of C-S-H: DFT simulation on silicate oligomerization and Si(Qn) evolution dynamics. Constr. Build. Mater. 2024, 439, 137372. [Google Scholar] [CrossRef]
- Feng, X.; Zhuo, C.; Yin, S. Synthesizing high-quality C-S-H seeds using the impinging stream precipitation method. J. Sustain. Cem.-Based Mater. 2024, 13, 841–853. [Google Scholar] [CrossRef]
- Anoni, G.; Haach, G.; Khazanovich, L. Image reconstruction in concrete ultrasound tomography: A systematic review. Constr. Build. Mater. 2024, 441, 137472. [Google Scholar] [CrossRef]
- Zhao, D.; Xu, J.; Han, Z. Study on the correlation between pore structure characterization and early mechanical properties of foamed concrete based on X-CT. Constr. Build. Mater. 2024, 450, 138603. [Google Scholar] [CrossRef]
- Xu, J.; Zhao, D.; Wang, S. Quantitative analysis of pore structure’s impact on early mechanical properties and durability of foam concrete: Macroscopic and mesoscopic insights. Constr. Build. Mater. 2025, 459, 139775. [Google Scholar] [CrossRef]
- Wang, Y.; He, F.; Wang, J. Effects of Calcium Bicarbonate on the Properties of Ordinary Portland Cement Paste. Constr. Build. Mater. 2019, 225, 591–600. [Google Scholar] [CrossRef]
- Kaya, K.; Yilmaz, K.; Karahan, O. Mechanical properties of class C and F fly ash geopolymer mortars. Gradevinar 2020, 72, 297–309. [Google Scholar]












| Type | SiO2 | Al2O3 | CaO | Fe2O3 | SO3 | MgO | LOI |
|---|---|---|---|---|---|---|---|
| Cement | 25.64 | 4.08 | 60.11 | 4.01 | 2.23 | 2.81 | 1.12 |
| GGBS | 33.75 | 12.84 | 41.79 | 1.31 | 2.08 | 7.02 | 1.21 |
| SF | 91.08 | 0.22 | 1.46 | 5.31 | 0.23 | 0.91 | 0.79 |
| Type | Cement | GGBS | SF | WSF | Fin Aggregate | Coarse Aggregate | Water |
|---|---|---|---|---|---|---|---|
| SF-0 | 320 | 85 | 40 | 0 | 620 | 1380 | 110 |
| SF-1 | 320 | 85 | 30 | 10 | 620 | 1380 | 110 |
| SF-2 | 320 | 85 | 20 | 20 | 620 | 1380 | 110 |
| SF-3 | 320 | 85 | 10 | 30 | 620 | 1380 | 110 |
| SF-4 | 320 | 85 | 0 | 40 | 620 | 1380 | 110 |
Disclaimer/Publisher’s Note: The statements, opinions and data contained in all publications are solely those of the individual author(s) and contributor(s) and not of MDPI and/or the editor(s). MDPI and/or the editor(s) disclaim responsibility for any injury to people or property resulting from any ideas, methods, instructions or products referred to in the content. |
© 2025 by the authors. Licensee MDPI, Basel, Switzerland. This article is an open access article distributed under the terms and conditions of the Creative Commons Attribution (CC BY) license (https://creativecommons.org/licenses/by/4.0/).
Share and Cite
Wang, S.; Zhao, P.; Tian, Y. Effect of Wet-Ground Silica Fume on High-Strength Steam-Cured Cement Concrete. Materials 2025, 18, 1105. https://doi.org/10.3390/ma18051105
Wang S, Zhao P, Tian Y. Effect of Wet-Ground Silica Fume on High-Strength Steam-Cured Cement Concrete. Materials. 2025; 18(5):1105. https://doi.org/10.3390/ma18051105
Chicago/Turabian StyleWang, Shiheng, Peng Zhao, and Yaogang Tian. 2025. "Effect of Wet-Ground Silica Fume on High-Strength Steam-Cured Cement Concrete" Materials 18, no. 5: 1105. https://doi.org/10.3390/ma18051105
APA StyleWang, S., Zhao, P., & Tian, Y. (2025). Effect of Wet-Ground Silica Fume on High-Strength Steam-Cured Cement Concrete. Materials, 18(5), 1105. https://doi.org/10.3390/ma18051105
