Theoretical and Experimental Studies of the Structural Chameleon EuYCuTe3
Abstract
1. Introduction
2. Materials and Methods
2.1. Materials
2.2. Synthesis
2.3. X-Ray Diffraction Analysis
2.4. Magnetic Measurements
2.5. Spectroscopy of the Raman Scattering
2.6. DFT Calculations
3. Results
3.1. Layered Crystal Structures of α- and β-EuYCuTe3
3.2. Magnetic Properties of EuYCuTe3
3.3. Raman, IR and Phonon Spectra
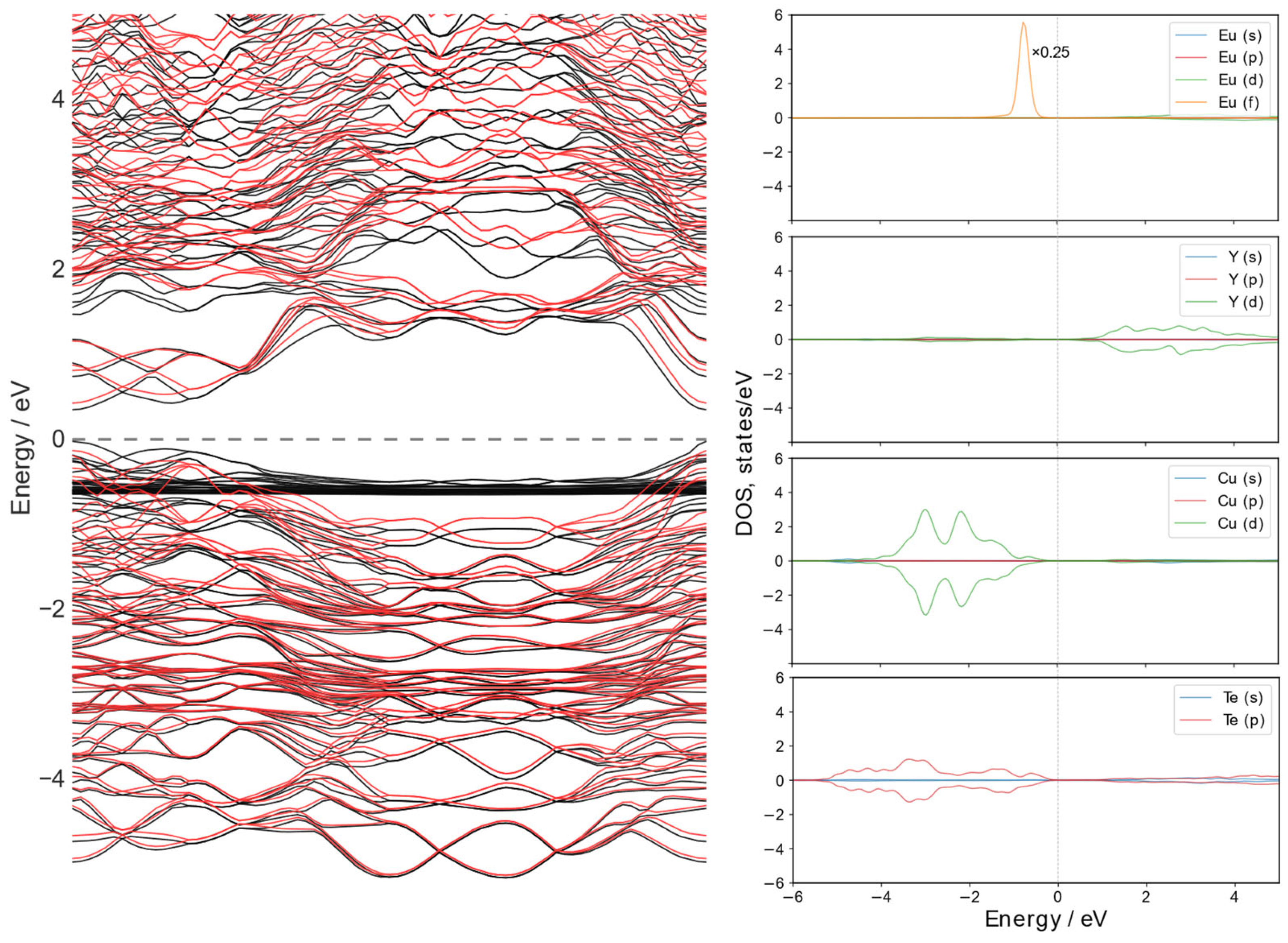
3.4. Band Structure of EuYCuTe3
3.5. Phonon Dispersion
3.6. Elastic Constants and Elastic Modulus
3.7. Layered Structure of EuYCuTe3
4. Conclusions
Supplementary Materials
Author Contributions
Funding
Institutional Review Board Statement
Informed Consent Statement
Data Availability Statement
Conflicts of Interest
References
- Fiori, G.; Bonaccorso, F.; Iannaccone, G.; Palacios, T.; Neumaier, D.; Seabaugh, A.; Banerjee, S.K.; Colombo, L. Electronics based on two-dimensional materials. Nat. Nanotechnol. 2014, 9, 768–779. [Google Scholar] [CrossRef] [PubMed]
- Navarro-Moratalla, E.; Jarillo-Herrero, P. Two-dimensional superconductivity: The Ising on the monolayer. Nat. Phys. 2016, 12, 112–113. [Google Scholar] [CrossRef]
- Cui, S.; Pu, H.; Wells, S.A.; Wen, Z.; Mao, S.; Chang, J.; Hersam, M.C.; Chen, J. Ultrahigh sensitivity and layer-dependent sensing performance of phosphorene-based gas sensors. Nat. Commun. 2015, 6, 8632. [Google Scholar] [CrossRef] [PubMed]
- Maier, S.; Prakash, J.; Berthebaud, D.; Perez, O.; Bobev, S.; Gascoin, F. Crystal structures of the four new quaternary copper(I)-selenides A0.5CuZrSe3 and ACuYSe3 (A = Sr, Ba). J. Solid State Chem. 2016, 242, 14–20. [Google Scholar] [CrossRef]
- Pal, K.; Xia, Y.; Shen, J.; He, J.; Luo, Y.; Kanatzidis, M.G.; Wolverton, C. Accelerated discovery of a large family of quaternary chalcogenides with very low lattice thermal conductivity. Comput. Mater. 2021, 7, 82. [Google Scholar] [CrossRef]
- Pal, K.; Hua, X.; Xia, Y.; Wolverton, C. Unraveling the structure-valence-property relationships in AMM′Q3 chalcogenides with promising thermoelectric performance. ACS Appl. Energy Mater. 2019, 3, 2110–2119. [Google Scholar] [CrossRef]
- Yang, Y.; Ibers, J.A. Synthesis and characterization of a series of quaternary chalcogenides BaLnMQ3 (Ln = rare earth, M = coinage metal, Q = Se or Te). J. Solid State Chem. 1999, 147, 366–371. [Google Scholar] [CrossRef]
- Wakeshima, M.; Furuuchi, F.; Hinatsu, Y. Crystal structures and magnetic properties of novel rare-earth copper sulfides, EuRCuS3 (R = Y, Gd–Lu). J. Phys. Condens. Matter. 2004, 16, 5503–5518. [Google Scholar] [CrossRef]
- Gulay, L.D.; Shemet, V.Y.; Olekseynuk, I.D. Crystal structures of the compounds YCuPbSe3, Y3CuSnSe7 and Y3Cu0.685Se6. J. Alloys Compd. 2004, 385, 160–168. [Google Scholar] [CrossRef]
- Babo, J.-M.; Schleid, T. CsCu2Sc3Te6 and CsCuY2Te4: Two new quaternary cesium copper rare-earth metal tellurides. Solid State Sci. 2010, 12, 238–245. [Google Scholar] [CrossRef]
- Ruseikina, A.V.; Andreev, O.V. Regularities of Change in the Structural Parameters of EuLnCuS3 (Ln = La–Nd, Sm, Gd, Ho). Russ. J. Inorg. Chem. 2017, 62, 160–167. [Google Scholar] [CrossRef]
- Ruseikina, A.V.; Solovyev, L.A.; Andreev, O.V.; Kislitsyn, A.A. EuNdCuS3: Crystal Structure of the High-Temperature Polymorph and Properties. Russ. J. Inorg. Chem. 2014, 59, 1109–1114. [Google Scholar] [CrossRef]
- Ruseikina, A.V.; Demchuk, Z.A. Crystal Structure and Properties of AHoCuS3 (A = Sr or Eu). Russ. J. Inorg. Chem. 2017, 62, 27–32. [Google Scholar] [CrossRef]
- Christuk, A.E.; Wu, P.; Ibers, J.A. New Quaternary Chalcogenides BaLnMQ3 (Ln = Rare Earth; M = Cu, Ag; Q = S, Se). Structures and Grinding-lnduced Journal Pre-proof 34 Phase Transition in BaLaCuQ3. J. Solid State Chem. 1994, 110, 330–336. [Google Scholar] [CrossRef]
- Yao, J.-Y.; Deng, B.; Ellis, D.E.; Ibers, J.A. Syntheses, structures, physical properties, and electronic structures of KLn2CuS4 (Ln = Y, Nd, Sm, Tb, Ho) and K2Ln4Cu4S9 (Ln = Dy, Ho). J. Solid State Chem. 2003, 176, 5–12. [Google Scholar] [CrossRef]
- Babo, J.-M. Syntheses and Crystal Structures of Quaternary Chalcogenides Containing Rare Earth and Coinage Metals. Ph.D. Thesis, University of Stuttgart, Stuttgart, Germany, 2010. [Google Scholar]
- Yadav, S.; Prakash, J. Synthesis and crystal structure of Ba2Y0.87(1)Mn1.71(1)Te5. Acta Crystallogr. 2024, C80, 9–14. [Google Scholar] [CrossRef]
- Yao, J.; Deng, B.; Sherry, L.J.; McFarland, A.D.; Ellis, D.E.; van Duyne, R.P.; Ibers, J.A. Syntheses, Structure, Some Band Gaps, and Electronic Structures of CsLnZnTe3 (Ln = La, Pr, Nd, Sm, Gd, Tb, Dy, Ho, Er, Tm, Y). Inorg. Chem. 2004, 43, 7735–7740. [Google Scholar] [CrossRef]
- Yin, W.; Wang, W.; Bai, L.; Feng, K.; Shi, Y.; Hao, W.; Yao, J.; Wu, Y. Syntheses, Structures, Physical Properties, and Electronic Structures of Ba2MLnTe5 (M = Ga and Ln = Sm, Gd, Dy, Er, Y.; M = In and Ln = Ce, Nd, Sm, Gd, Dy, Er, Y). Inorg. Chem. 2012, 51, 11736–11744. [Google Scholar] [CrossRef]
- Mitchell, K.; Huang, F.Q.; McFarland, A.D.; Haynes, C.L.; Somers, R.C.; Van Duyne, R.P.; Ibers, J.A. The CsLnMSe3 Semiconductors (Ln = Rare-Earth Element, Y.; M = Zn, Cd, Hg). Inorg. Chem. 2003, 42, 4109–4116. [Google Scholar] [CrossRef]
- Mitchell, K.; Haynes, C.L.; McFarland, A.D.; Van Duyne, R.P.; Ibers, J.A. Tuning of Optical Band Gaps: Syntheses, Structures, Magnetic Properties, and Optical Properties of CsLnZnSe3 (Ln = Sm, Tb, Dy, Ho, Er, Tm, Yb, and Y). Inorg. Chem. 2002, 41, 1199–1204. [Google Scholar] [CrossRef]
- Shannon, R.D. Revised effective ionic radii and systematic studies of interatomic distances in halides and chalcogenides. Acta Crystallogr. 1976, A 32, 751–767. [Google Scholar] [CrossRef]
- Azarapin, N.O. Synthesis, Structure and Properties of Compounds BaRECuS3 (RE = Rare Earth Element). Ph.D. Thesis, University of Tyumen, Tyumen, Russia, 2022. [Google Scholar]
- Ibers, J.A.; Christuk, A.E.; Wu, P. New quaternary chalcogenides BaLnMQ3 (Ln = rare earth or Sc; M = Cu, Ag; Q = S, Se). II. Structure and property variation vs rare-earth element. J. Solid State Chem. 1994, 110, 337–344. [Google Scholar]
- Eberle, M.A.; Schleid, T. Expanding the SrCuRES3 Series with the Rare-Earth Metals Scandium and Yttrium. Z. Kristallogr. 2016, S36, 71. [Google Scholar]
- Ruseikina, A.V.; Grigoriev, M.V.; Solovyov, L.A.; Molokeev, M.S.; Garmonov, A.A.; Velikanov, D.A.; Safin, D.A. Unravelling the rear-earth (RE) element-induced magnetic and optical properties in the structures of quaternary selenides SrRECuSe3. Inorg. Chem. Comm. 2023, 156, 111183. [Google Scholar] [CrossRef]
- Grigoriev, M.V.; Solovyov, L.A.; Ruseikina, A.V.; Aleksandrovsky, A.S.; Chernyshev, V.A.; Velikanov, D.A.; Garmonov, A.A.; Molokeev, M.S.; Oreshonkov, A.S.; Shestakov, N.P.; et al. Quaternary Selenides EuLnCuSe3: Synthesis, Structures, Properties and In Silico Studies. Int. J. Mol. Sci. 2022, 23, 1503. [Google Scholar] [CrossRef] [PubMed]
- Ishtiyak, M.; Jana, S.; Karthikeyan, R.; Ramesh, M.; Tripathy, B.; Malladi, S.K.; Niranjan, M.K.; Prakash, J. Syntheses of five new layered quaternary chalcogenides SrScCuSe3, SrScCuTe3, BaScCuSe3, BaScCuTe3, and BaScAgTe3: Crystal structures, thermoelectric properties, and electronic structures. Inorg. Chem. Front. 2021, 8, 4086–4101. [Google Scholar] [CrossRef]
- Eickmeier, K.; Poschkamp, R.; Dronskowski, R.; Steinberg, S. Exploring the impact of lone pairs on the structural features of alkaline-earth (A) transition-metal (M,M’) chalcogenides (Q) AMM’Q3. Eur. J. Inorg. Chem. 2022, 157, 28–37. [Google Scholar] [CrossRef]
- Benaadad, M.; Nafidi, A.; Melkoud, S.; Khan, M.S.; Soubane, D. First-principles investigations of structural, optoelectronic and thermoelectric properties of Cu-based chalcogenides compounds. J. Mater. Sci. 2021, 56, 15882–15897. [Google Scholar] [CrossRef]
- Sheldrick, G.M. A short history of SHELX. Acta Crystallogr. 2008, A 64, 112–122. [Google Scholar] [CrossRef]
- Spek, A.L. PLATON—A Multipurpose Crystallographic Tool; Utrecht University: Utrecht, The Netherlands, 2008. [Google Scholar]
- Dovesi, R.; Saunders, V.R.; Roetti, C.; Orlando, R.; Zicovich-Wilson, C.M.; Pascale, F.; Civalleri, B.; Doll, K.; Harrison, N.M.; Bush, I.J.; et al. 2018 CRYSTAL17 User’s Manual. Available online: http://www.crystal.unito.it/Manuals/crystal17.pdf (accessed on 31 December 2022).
- Crystal. Available online: http://www.crystal.unito.it/index.php (accessed on 31 December 2022).
- Gonze, X.; Beuken, J.M.; Caracas, R.; Detraux, F.; Fuchs, M.; Rignanese, G.M.; Sindic, L.; Verstraete, M.; Zerah, G.; Jollet, F.; et al. First-principles computation of material properties: The ABINIT software project. Comput. Mater. Sci. 2002, 25, 478–492. [Google Scholar] [CrossRef]
- Dolg, M.; Stoll, H.; Savin, A.; Preuss, H. Energy-adjusted pseudopotentials for the rare earth elements. Theor. Chim. Acta 1989, 75, 173–194. [Google Scholar] [CrossRef]
- Dolg, M.; Stoll, H.; Preuss, H.A. Combination of quasi-relativistic pseudo-potential and ligand field calculations for lanthanoid compounds. Theor. Chim. Acta 1993, 85, 441–450. [Google Scholar] [CrossRef]
- Energy-consistent Pseudopotentials of the Stuttgart/Cologne Group. Available online: http://www.tc.uni-koeln.de/PP/clickpse.en.html (accessed on 24 July 2024).
- Towler, M. CRYSTAL Resources Page. Available online: https://vallico.net/mike_towler/crystal.html (accessed on 24 July 2024).
- Dovesi, R.; Erba, A.; Orlando, R.; Zicovich-Wilson, C.M.; Civalleri, B.; Maschio, L.; Rérat, M.; Casassa, S.; Baima, J.; Salustro, S.; et al. Quantum-mechanical condensed matter simulations with CRYSTAL. Wiley Interdiscipl. Rev. Comput. Mol. Sci. 2018, 8, e1360. [Google Scholar] [CrossRef]
- Becke, A.D. Density-Functional Thermochemistry. III. The Role of Exact Exchange. J. Chem. Phys. 1993, 98, 5648–5652. [Google Scholar] [CrossRef]
- De la Pierre, M.; Orlando, R.; Maschio, L.; Doll, K.; Ugliengo, P.; Dovesi, R. Performance of six functionals (LDA, PBE, PBESOL, B3LYP, PBE0, and WC1LYP) in the simulation of vibrational and dielectric properties of crystalline compounds. The case of forsterite Mg2SiO4. J. Comput. Chem. 2011, 32, 1775–1784. [Google Scholar] [CrossRef]
- Togo, A.; Chaput, L.; Tadano, T.; Tanaka, I. Implementation strategies in phonopy and phono3py. J. Phys. Condens. Matter 2023, 35, 353001. [Google Scholar] [CrossRef]
- Hjorth Larsen, A.; Jørgen Mortensen, J.; Blomqvist, J.; Castelli, I.E.; Christensen, R.; Dułak, M.; Friis, J.; Groves, M.N.; Hammer, B.; Hargus, C.; et al. The atomic simulation environment—A Python library for working with atoms. J. Phys. Condens. Matter 2017, 29, 273002. [Google Scholar] [CrossRef]
- Yang, L.; Powell, D.R.; Houser, R.P. Structural variation in copper(I) complexes with pyridylmethylamide ligands: Structural analysis with a new four-coordinate geometry index, τ4. Dalton Trans. 2007, 9, 955–964. [Google Scholar] [CrossRef]
- Ruseikina, A.V.; Solov’ev, L.A.; Andreev, O.V. Crystal Structures of α- and β-EuPrCuS3. Russ. J. Inorg. Chem. 2013, 58, 1231–1236. [Google Scholar] [CrossRef]
- Ruseikina, A.V.; Solov’ev, L.A. Crystal Structures of α- and β-SrCeCuS3. Russ. J. Inorg. Chem. 2016, 61, 482–487. [Google Scholar] [CrossRef]
- Hinuma, Y.; Pizzi, G.; Kumagai, Y.; Oba, F.; Tanaka, I. Band structure diagram paths based on crystallography. Comput. Mater. Sci. 2017, 128, 140–184. [Google Scholar] [CrossRef]
- Aroyo, M.I.; Kirov, A.; Capillas, C.; Perez-Mato, J.M.; Wondratschek, H. Bilbao Crystallographic Server II: Representations of crystallographic point groups and space groups. Acta Crystallogr. 2006, A 62, 115–128. [Google Scholar] [CrossRef]
- Morelli, D.T.; Slack, G.A. High Lattice Thermal Conductivity Solids. In High Thermal Conductivity Materials; Shindé, S.L., Goela, J.S., Eds.; Springer: Berlin, Germany, 2006; pp. 37–68. [Google Scholar]
- Ranganathan, S.I.; Ostoja-Starzewski, M. Universal Anisotropy Index. Phys. Rev. Lett. 2008, 101, 055504. [Google Scholar] [CrossRef] [PubMed]
- De la Flor, G.; Orobengoa, D.; Evarestov, R.A.; Kitaev, Y.; Tasci, E.; Aroyo, M.I. The site-symmetry induced representations of layer groups on the Bilbao Crystallographic Server. J. Appl. Crystallogr. 2019, 52, 1214–1221. [Google Scholar] [CrossRef] [PubMed]
- Choudhary, K.; Kalish, I.; Beams, R.; Tavazza, F. High-throughput Identification and Characterization of Two-dimensional Materials using Density functional theory. Sci. Rep. 2017, 7, 5179. [Google Scholar] [CrossRef]
- Sansone, G.; Maschio, L.; Usvyat, D.; Schütz, M.; Karttunen, A. Toward an Accurate Estimate of the Exfoliation Energy of Black Phosphorus: A Periodic Quantum Chemical Approach. J. Phys. Chem. Lett. 2016, 7, 131–136. [Google Scholar] [CrossRef]
- Benedict, L.X.; Chopra, N.G.; Cohen, M.L.; Zettl, A.; Louie, S.G.; Crespi, V.H. Microscopic Determination of the Interlayer Binding Energy in Graphite. Chem. Phys. Lett. 1998, 286, 490–496. [Google Scholar] [CrossRef]















| α-EuYCuTe3 | β-EuYCuTe3 | |
|---|---|---|
| Molecular weight (g/mol) | 687.21 | |
| Space group | Pnma (no. 62) | Cmcm (no. 63) |
| Structure type | Eu2CuS3 | KZrCuS3 |
| Z | 4 | |
| a (Å) | 11.2730(7) | 4.3231(3) |
| b (Å) | 4.3214(3) | 14.3328(9) |
| c (Å) | 14.3271(9) | 11.2843(7) |
| V (Å3) | 697.95(8) | 699.20(8) |
| ρcal (g/cm3) | 6.540 | 6.528 |
| μ (mm−1) | 32.30 | 32.24 |
| Reflections measured | 14005 | 6391 |
| Reflections independent | 908 | 482 |
| Reflections with Fo > 4σ(Fo) | 745 | 386 |
| θmax (◦) | 27.38 | 27.45 |
| h, k, l limits | ±14, ±5, ±18 | ±5, ±18, ±14 |
| Rint | 0.083 | 0.121 |
| Refinement results | ||
| Number of refinement parameters | 38 | 24 |
| R1 with Fo > 4σ (Fo) | 0.027 | 0.045 |
| wR2 | 0.061 | 0.112 |
| Goof | 1.070 | 1.019 |
| Δρmax (e/Å3) | 1.329 | 1.438 |
| Δρmin (e/Å3) | −1.278 | −1.386 |
| Extinction coefficient, ε | 0.0023(1) | 0.0026(2) |
| CSD-number | 2355695 | 2355696 |
| α-EuYCuTe3 | |||||
|---|---|---|---|---|---|
| Bond lengths | |||||
| Eu–Te3 i | 3.3075(7) | Y–Te3 | 3.044(1) | Cu–Te2 | 2.634(1) |
| Eu–Te3 ii | 3.3075(7) | Y–Te2 iv | 3.0509(8) | Cu–Te1 | 2.657(1) |
| Eu–Te1 iii | 3.3432(6) | Y–Te2 iii | 3.0509(8) | Cu–Te3 ii | 2.673(1) |
| Eu–Te1 iv | 3.3432(6) | Y–Te3 vi | 3.052(1) | Cu–Te3 i | 2.673(1) |
| Eu–Te2 iv | 3.3552(6) | Y–Te1 vii | 3.0661(9) | ||
| Eu–Te2i ii | 3.3552(6) | Y–Te1 viii | 3.0661(9) | ||
| Eu–Te1 v | 3.6442(8) | ||||
| Bond angles | |||||
| Te3i–Eu–Te3 ii | 81.58(2) | Te3–Y–Te2 iv | 92.74(3) | Te2–Cu–Te1 | 104.24(5) |
| Te3i–Eu–Te1 iii | 144.84(2) | Te3–Y–Te2 iii | 92.74(3) | Te2–Cu–Te3 ii | 112.46(3) |
| Te3 ii–Eu–Te1 iii | 88.46(1) | Te2 iv–Y–Te2 iii | 90.18(3) | Te1–Cu–Te3 ii | 109.89(3) |
| Te3 i–Eu–Te1 iv | 88.46(1) | Te3–Y–Te3 vi | 178.03(4) | Te2–Cu–Te3 i | 112.46(3) |
| Te3 ii–Eu–Te1 iv | 144.84(2) | Te2 iv–Y–Te3 vi | 88.66(3) | Te1–Cu–Te3 i | 109.89(3) |
| Te1 iii–Eu–Te1 iv | 80.53(2) | Te2 iii–Y–Te3 vi | 88.66(3) | Te3 ii–Cu–Te3 i | 107.86(6) |
| Te3 i–Eu–Te2 iv | 81.17(2) | Te3–Y–Te1 vii | 87.61(3) | ||
| Te3 ii–Eu–Te2 iv | 133.46(2) | Te2 iv–Y–Te1 vii | 179.55(3) | ||
| Te1 iii–Eu–Te2 iv | 127.57(2) | Te2 iii–Y–Te1 vii | 90.10(1) | ||
| Te1 iv–Eu–Te2 iv | 77.14(2) | Te3 vi–Y–Te1 vii | 90.99(2) | ||
| Te3 i–Eu–Te2 iii | 133.46(2) | Te3–Y–Te1 viii | 87.61(3) | ||
| Te3 ii–Eu–Te2 iii | 81.17(2) | Te2 iv–Y–Te1 viii | 90.10(1) | ||
| Te1 iii–Eu–Te2 iii | 77.14(2) | Te2 iii–Y–Te1 viii | 179.55(3) | ||
| Te1 iv–Eu–Te2 iii | 127.57(2) | Te3 vi–Y–Te1 viii | 90.99(2) | ||
| Te2 iv–Eu–Te2 iii | 80.18(2) | Te1 vii–Y–Te1 viii | 89.61(3) | ||
| Te3 i–Eu–Te1 v | 74.77(2) | ||||
| Te3 ii–Eu–Te1 v | 74.77(2) | ||||
| Te1 iii–Eu–Te1 v | 70.07(2) | ||||
| Te1 iv–Eu–Te1 v | 70.07(2) | ||||
| Te2 iv–Eu–Te1 v | 139.38(1) | ||||
| Te2 iii–Eu–Te1 v | 139.38(1) | ||||
| Symmetry codes: (i) −x + 1/2, −y, z−1/2; (ii) −x + 1/2, −y + 1, z−1/2; (iii) −x + 1/2, −y + 1, z + 1/2; (iv) −x + 1/2, −y, z + 1/2; (v) x + 1/2, y, −z + 1/2; (vi) x−1/2, y, −z + 3/2; (vii) −x, −y + 1, −z + 1; (viii) −x, −y, −z + 1 | |||||
| β-EuYCuTe3 | |||||
| Bond lengths | |||||
| Eu–Te1 i | 3.296(1) | Y–Te1 v | 3.0501(6) | Cu–Te2 x | 2.645(2) |
| Eu–Te1 ii | 3.296(1) | Y–Te1 | 3.0501(6) | Cu–Te2 | 2.645(2) |
| Eu–Te2 iii | 3.350(1) | Y–Te2 vi | 3.0609(8) | Cu–Te1 ii | 2.676(2) |
| Eu–Te2 i | 3.350(1) | Y–Te2 vii | 3.0609(8) | Cu–Te1 i | 2.676(2) |
| Eu–Te2 ii | 3.350(1) | Y–Te2 viii | 3.0609(7) | ||
| Eu–Te2 iv | 3.350(1) | Y–Te2 ix | 3.0609(7) | ||
| Bond angles | |||||
| Te1 i–Eu–Te1 ii | 81.96(4) | Te1 v–Y–Te2 vi | 91.84(3) | Te2 x–Cu–Te2 | 104.3(1) |
| Te1 i–Eu–Te2 iii | 139.14(2) | Te1–Y–Te2 vi | 88.16(3) | Te2 x–Cu–Te1 ii | 111.19(2) |
| Te1 ii–Eu–Te2 iii | 84.84(2) | Te1 v–Y–Te2 vii | 88.16(3) | Te2–Cu–Te1 ii | 111.19(2) |
| Te1 i–Eu–Te2 i | 84.84(2) | Te1–Y–Te2 vii | 91.84(3) | Te2 x–Cu–Te1 i | 111.19(2) |
| Te1 ii–Eu–Te2i | 139.14(2) | Te2 vi–Y–Te2 vii | 180.00(5) | Te2–Cu–Te1 i | 111.19(2) |
| Te2 iii–Eu–Te2i | 127.62(5) | Te1 v–Y–Te2 viii | 88.16(3) | Te1 ii–Cu–Te1 i | 107.8(1) |
| Te1 i–Eu–Te2 ii | 139.14(2) | Te1–Y–Te2 viii | 91.84(3) | ||
| Te1 ii–Eu–Te2 ii | 84.84(2) | Te2 vi–Y–Te2 viii | 90.15(3) | ||
| Te2 iii–Eu–Te2 ii | 77.16(3) | Te2 vii–Y–Te2 viii | 89.85(3) | ||
| Te2 i–Eu–Te2 ii | 80.37(3) | Te1 v–Y–Te2 ix | 91.84(3) | ||
| Te1 i–Eu–Te2 iv | 84.84(2) | Te1–Y–Te2 ix | 88.16(3) | ||
| Te1 ii–Eu–Te2 iv | 139.14(2) | Te2 vi–Y–Te2 ix | 89.85(3) | ||
| Te2 iii–Eu–Te2 iv | 80.37(3) | Te2 vii–Y–Te2 ix | 90.15(3) | ||
| Te2 i–Eu–Te2 iv | 77.16(3) | Te2 viii–Y–Te2 ix | 180.00(3) | ||
| Te2 ii–Eu–Te2 iv | 127.62(5) | Te1 v–Y–Te1 | 180.0 | ||
| Symmetry codes: (i) x−1/2, y + 1/2, z; (ii) x + 1/2, y + 1/2, z; (iii) x + 1/2, y + 1/2, −z + 1/2; (iv) x−1/2, y + 1/2, −z + 1/2; (v) −x, −y, −z; (vi) −x + 1/2, −y + 1/2, −z; (vii) x−1/2, y−1/2, z; (viii) x + 1/2, y−1/2, z; (ix) −x−1/2, −y + 1/2, −z; (x) x, y, −z + 1/2 | |||||
| Space Group | C11 | C12 | C13 | C22 | C23 | C33 | C44 | C55 | C66 | Averaging Scheme | B | Y | G | P.r. | AU |
|---|---|---|---|---|---|---|---|---|---|---|---|---|---|---|---|
| 116 | 52 | 38 | 90 | 43 | 110 | 5 | 30 | 40 | Voigt | 64.1 | 71.9 | 27.4 | 0.313 | 4.02 | |
| Cmcm | Reuss | 63.7 | 42.2 | 15.2 | 0.390 | ||||||||||
| Hill | 63.9 | 57.5 | 21.3 | 0.350 | |||||||||||
| 100 | 42 | 43 | 113 | 47 | 88 | 36 | 15 | 29 | Voigt | 62.8 | 71.5 | 27.3 | 0.310 | ||
| Pnma | Reuss | 62.2 | 65.4 | 24.7 | 0.325 | 0.54 | |||||||||
| Hill | 62.5 | 68.5 | 26.0 | 0.318 |
| Atom | Site | x/a | y/b | z, Å |
|---|---|---|---|---|
| Eu | 2b | 1/2 | 0.235 | 2.443 |
| Y | 2b | 1/2 | 0.483 | 0.038 |
| Cu | 2a | 0 | 0.1711 | 0.067 |
| Te1 | 2b | 1/2 | 0.7369 | 0.941 |
| Te2 | 2a | 0 | 0.4323 | 2.072 |
| Te3 | 2a | 0 | 0.03159 | 2.077 |
Disclaimer/Publisher’s Note: The statements, opinions and data contained in all publications are solely those of the individual author(s) and contributor(s) and not of MDPI and/or the editor(s). MDPI and/or the editor(s) disclaim responsibility for any injury to people or property resulting from any ideas, methods, instructions or products referred to in the content. |
© 2025 by the authors. Licensee MDPI, Basel, Switzerland. This article is an open access article distributed under the terms and conditions of the Creative Commons Attribution (CC BY) license (https://creativecommons.org/licenses/by/4.0/).
Share and Cite
Ruseikina, A.V.; Grigoriev, M.V.; Chernyshev, V.A.; Roginskii, E.M.; Garmonov, A.A.; Locke, R.J.C.; Schleid, T. Theoretical and Experimental Studies of the Structural Chameleon EuYCuTe3. Materials 2025, 18, 820. https://doi.org/10.3390/ma18040820
Ruseikina AV, Grigoriev MV, Chernyshev VA, Roginskii EM, Garmonov AA, Locke RJC, Schleid T. Theoretical and Experimental Studies of the Structural Chameleon EuYCuTe3. Materials. 2025; 18(4):820. https://doi.org/10.3390/ma18040820
Chicago/Turabian StyleRuseikina, Anna V., Maxim V. Grigoriev, Vladimir A. Chernyshev, Evgenii M. Roginskii, Alexander A. Garmonov, Ralf J. C. Locke, and Thomas Schleid. 2025. "Theoretical and Experimental Studies of the Structural Chameleon EuYCuTe3" Materials 18, no. 4: 820. https://doi.org/10.3390/ma18040820
APA StyleRuseikina, A. V., Grigoriev, M. V., Chernyshev, V. A., Roginskii, E. M., Garmonov, A. A., Locke, R. J. C., & Schleid, T. (2025). Theoretical and Experimental Studies of the Structural Chameleon EuYCuTe3. Materials, 18(4), 820. https://doi.org/10.3390/ma18040820

