Design and Heat Transfer Analysis of Graphene-Based Electric Heating Solid Wood Composite Energy Storage Flooring
Abstract
1. Introduction
2. Overall Design of Composite Graphene Heating Floor
2.1. Structural Design of Composite Graphene Heating Floor
2.2. Design of Temperature Control System for Graphene Electric Heating Floor
3. Heat Transfer Analysis of Graphene Electric Heating Floor
3.1. Heat Transfer Mechanism of Graphene-Heated Flooring
3.2. Establishment of a Heat Transfer Model for Graphene-Based Heating Floor
- Assuming that there is good contact between layers without a temperature drop at the interlayer interface, contact thermal resistance is not introduced. Since effective heat transfer occurs only from the heating layer of the floor to the surface layer of the floor, the model is simplified as a one-dimensional heat transfer problem with heat conduction occurring only in the vertical direction, without considering other uneven heat sources and heat transfer processes;
- Assuming that the heat transferred upward and downward by the electric heating film is equal, with each accounting for 50% of the total heat, the heat loss downward through the asbestos mesh can be neglected and the heat transferred downward is stored in the substrate layer;
- Due to the use of low-temperature heating in the flooring, the amount of radiation generated is relatively small and can be absorbed by the solid wood floor. Therefore, the effect of thermal radiation on the surface layer of the floor is not considered;
- Each layer of material is isotropic and homogeneous, without considering the impact of material porosity on heat transfer. The effects of water vapor, human sweat, air humidity, etc., on the heat and mass transfer process are not considered.
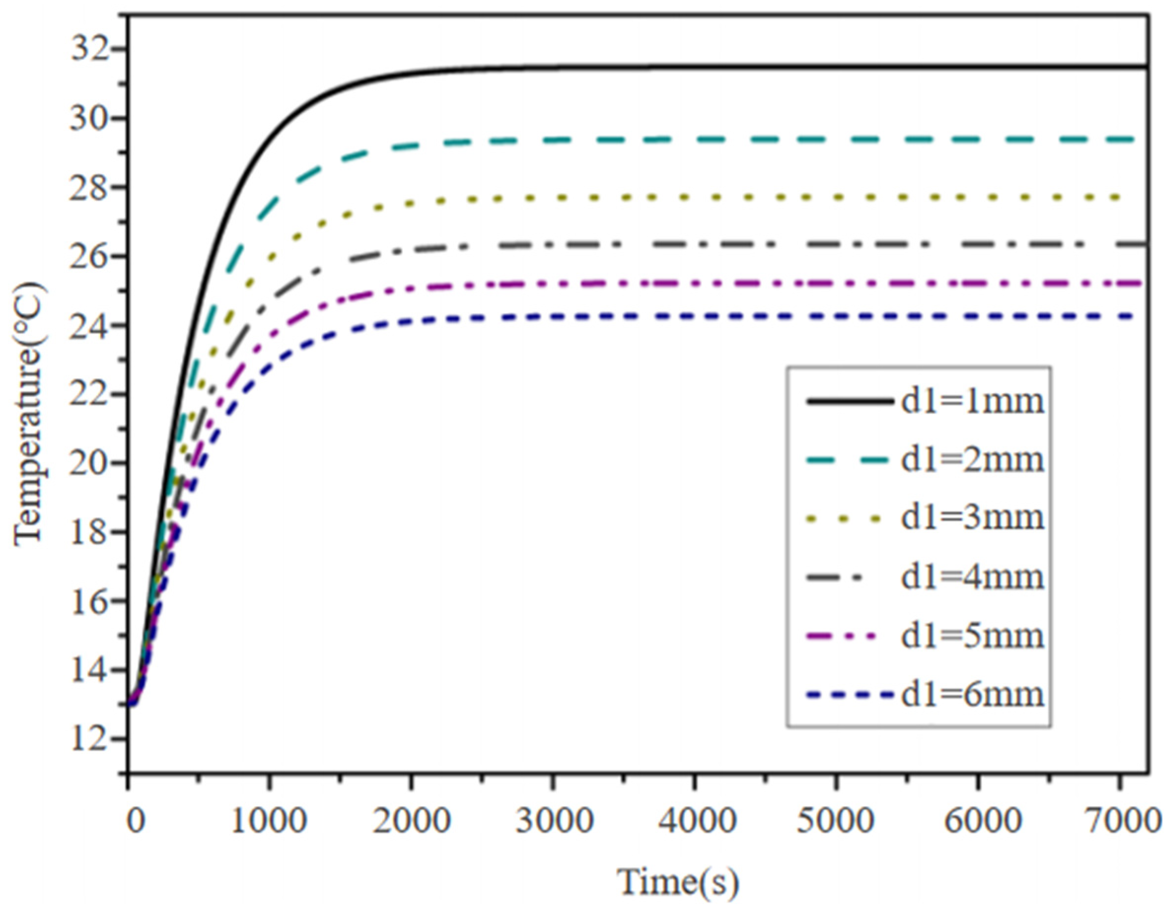
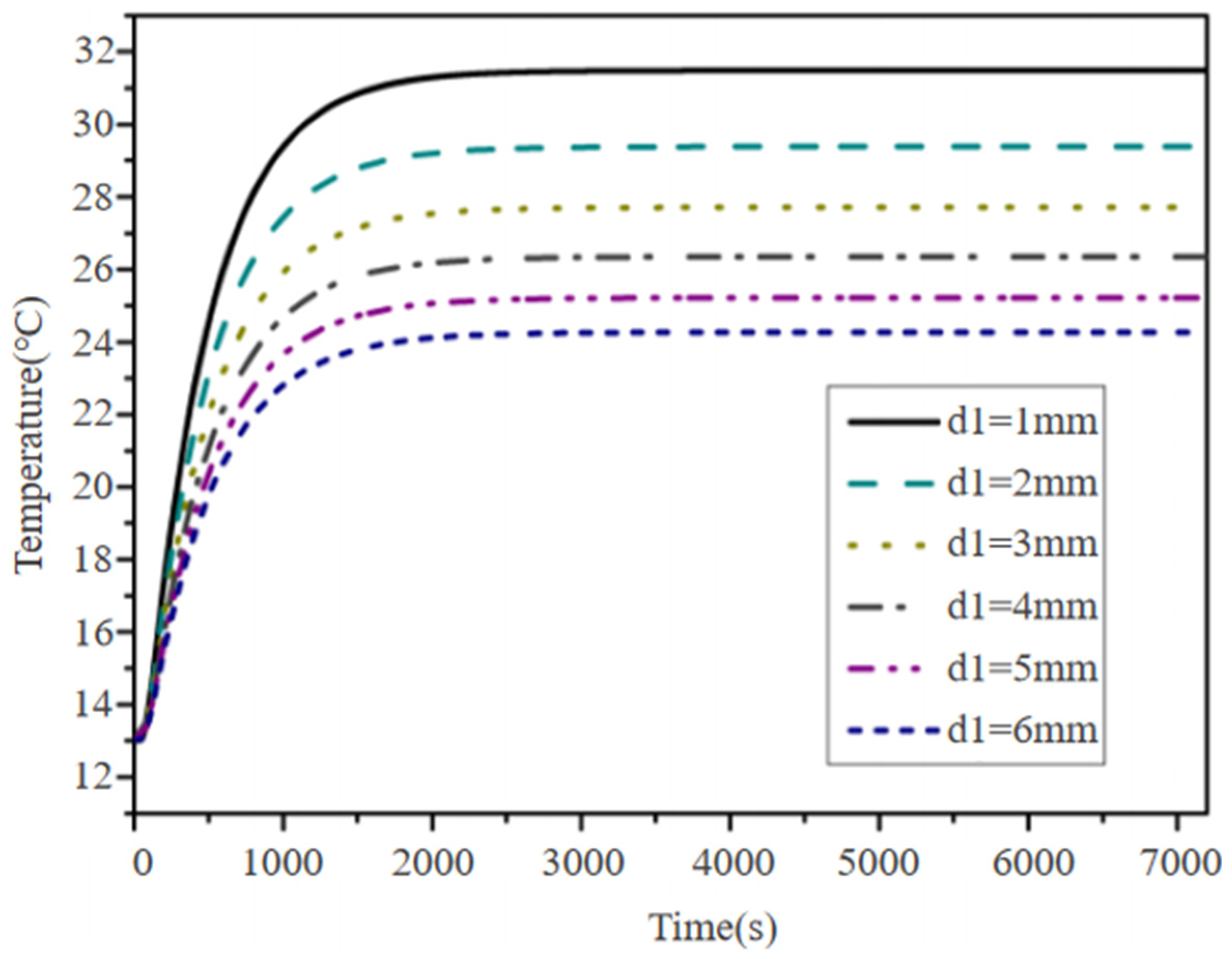
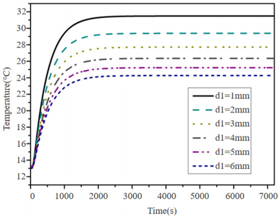
3.3. Solving the Model
4. Temperature Comparison Experiment
5. Conclusions
- (1)
- This study has designed a new type of graphene-heated composite flooring which incorporates an asbestos mesh insulation layer into the traditional sandwich structure, effectively reducing heat loss and ensuring that heat is conducted into the room as much as possible. At the same time, a temperature control system was designed for this flooring, enabling autonomous temperature regulation. The experimental design showed that this flooring has good heat storage effects and can continue to release heat for a certain period of time after the power is turned off;
- (2)
- This study established a three-dimensional model of a graphene electric heating floor and simulated the heat transfer process using the finite difference method. We found that for a thickness of 18 mm, it takes approximately 27 min (1620 s) for the surface to reach 22 °C; 56 min (3360 s) to reach 26 °C; and 109 min (6540 s) to reach 28 °C. After turning off the power, it takes 25 min (1500 s) for the floor surface to return to 22 °C;
- (3)
- For this type of graphene electric heating floor, experiments were designed to show that the addition of phase change materials to the composite graphene electric heating floor resulted in improved heating effects. Therefore, incorporating phase change materials during the preparation of the floor will enable it to possess excellent heat conduction and storage properties.
Author Contributions
Funding
Institutional Review Board Statement
Informed Consent Statement
Data Availability Statement
Conflicts of Interest
References
- Hasan, A.; Kurnitski, J.; Jokiranta, K. A combined low temperature water heating system consisting of radiators and floor heating. Energy Build. 2009, 41, 470–479. [Google Scholar] [CrossRef]
- Seong, Y.B.; Lee, H.H.; Song, S.Y.; Lee, J.; Lim, J.H. Heating Performance and Occupants’ Comfort Sensation of Low temperature Radiant Floor Heating System in Apartment Buildings of Korea. J. Asian Archit. Build. Eng. 2015, 14, 733–740. [Google Scholar] [CrossRef][Green Version]
- Yang, M.; Wu, X.; Lv, X.; Li, Y. Unsteady heat transfer analysis of spacecraft multilayer insulation materials. Low Temp. Supercond. 2009, 37, 45–50. [Google Scholar]
- Allison, J. Transient Radiation Heat Transfer of Thermally Compact, Lumped Bodies: An Explicit Solution. ASME J. Heat Mass Transf. 2024, 146, 122801. [Google Scholar] [CrossRef]
- Hou, N.; Li, S.; Feng, L.; Shi, J.; Guo, M.; Zhou, P. An Experimental Study on the Heat Transfer and Flow Characteristics of Aluminum Heating Elements Coated with Graphene. Energies 2024, 17, 6100. [Google Scholar] [CrossRef]
- Zhou, Y.; Li, X.; Ren, C.; Ma, Y.; Yang, C.; Bai, Y.; Deng, Y. Analysis of heat transfer effect for compound solid wood aluminum-core electro-thermal floor. Sci. Silvae Sin. 2018, 54, 1–6. [Google Scholar]
- Zhou, Y.; Song, M.; Ma, Y.; Yang, C.; Zhang, J.; Deng, Y.; Jiang, T. Design of solar energy-storage flooring and simulation analysis of heat transfer modeling. Sci. Silvae Sin. 2018, 54, 149–157. [Google Scholar]
- Zhou, Y.; Hu, H.; Jiang, X.; Yang, C. Thermodynamic model and thermal insulation efficiency analysis of solid wood composite rigid polyurethane insulation board flooring. Sci. Silvae Sin. 2018, 54, 59–65. [Google Scholar]
- Zhang, C.; Pomianowski, M.; Heiselberg, P.K.; Yu, T. A review of integrated radiant heating/cooling with ventilation systems-Thermal comfort and indoor air quality. Energy Build. 2020, 223, 110094. [Google Scholar] [CrossRef]
- Yoshino, H.; Guan, S.; Lun, Y.F.; Mochida, A.; Shigeno, T.; Yoshino, Y.; Zhang, Q.Y. Indoor thermal environment of urban residential buildings in China: Winter investigation in five major cities. Energy Build. 2004, 36, 1227–1233. [Google Scholar] [CrossRef]
- Bozkır, O.; Canbazoğlu, S. Unsteady thermal performance analysis of a room with serial and parallel duct radiant floor heating system using hot airflow. Energy Build. 2004, 36, 579–586. [Google Scholar] [CrossRef]
- Luo, X.; Ren, F.; Ma, H.; Liu, Y.; Wang, J.; Xie, Y.; Ding, R.; Jia, X. Distribution characteristics of particles in room with capillary radiant floor heating system. J. Build. Eng. 2023, 65, 105731. [Google Scholar] [CrossRef]
- Cui, P.-Y.; Wang, J.-Q.; Yang, F.; Zhao, Q.-X.; Huang, Y.-D.; Yang, Y.; Tao, W.-Q. Effects of Radiant Floor Heating Integrated with Natural Ventilation on Flow and Dispersion in a Newly Decorated Residence. Int. J. Environ. Res. Public Health 2022, 19, 16889. [Google Scholar] [CrossRef]
- Hervás-Blasco, E.; Navarro-Peris, E.; Corberán, J.M. Optimal design and operation of a central domestic hot water heat pump system for a group of dwellings employing low temperature waste heat as a source. Energy 2019, 188, 115979. [Google Scholar] [CrossRef]
- Cho, S.H.; Hong, S.K.; Li, S.C.; Zaheeruddin, M. An optimal pr Edictive control strategy for radiant floor district heating systems: Simulation and experimental study. Build. Serv. Eng. Res. Technol. 2013, 34, 295–315. [Google Scholar] [CrossRef]
- Balandin, A.A.; Ghosh, S.; Bao, W.; Calizo, I.; Teweldebrhan, D.; Miao, F.; Lau, C.N. Superior thermal conductivity of single-layer graphene. Nano Lett. 2008, 8, 902–907. [Google Scholar] [CrossRef] [PubMed]
- Ma, K.R.; Hou, N.N.; Wang, X.; Wang, X.G.; Gao, Y. Analysis and study of the effect of the direct floor radiant heating system of the air source heat pump at heating working conditions. Int. J. Simul. Syst. 2016, 17, 401–405. [Google Scholar]
- Liu, L.P.; Que, Y.Z. Research and prospect of solar heat pump low temperature floor radiant heating system. Energy Sav. Technol. 2007, 6, 550–553. [Google Scholar]
- GB/T18103-2022; Engineered Wood Flooring. Standardization Administration of the People’s Republic of China: Beijing, China, 2022.
- Sun, J.; Zhuang, J.; Shi, J.; Kormakov, S.; Liu, Y.; Yang, Z.; Wu, D. Highly elastic and ultrathin nanopaper-based nanocomposites with superior electric and thermal characteristics. J. Mater. Sci. 2019, 54, 8436–8449. [Google Scholar] [CrossRef]
- Ou, B.; Wang, C.; Yan, J.; Pan, L.; Lu, L.; Sun, L.; Han, P. Heat transfer characterization and simulation of graphene modified phase change expanded polyurethane. Packag. Eng. 2021, 42, 87–95. [Google Scholar]
- Mingione, E.; Salvi, D.; Almonti, D.; Ponticelli, G.S. Improvement of thermal, electrical, and tribological performances of GnPs composites produced by selective laser sintering. Polym. Compos. 2025, 1–15. [Google Scholar] [CrossRef]
- Kumar, S.; Saha, A. Graphene nanoplatelets/organic wood dust hybrid composites: Physical, mechanical and thermal characterization. Iran. Polym. J. 2021, 30, 935–951. [Google Scholar] [CrossRef]
- Author, Y.W.; Author, G.X.G.; Author, P.D.G. Heat transfer analysis of low temperature floor radiation heating. Build. Technol. 2016, 47, 970–973. [Google Scholar] [CrossRef]
- Author, D.J.W.; Author, Z.F.J.; Author, Q.J.L. Present status of electric heating technology in highly cold areas. Heilongjiang Electr. Power 2002, 3, 192–195. [Google Scholar]
- Jang, L.; Li, B. Effect of structural characteristics on heat transfer performance of spiral shell-tube heat exchangers. Packag. Eng. 2020, 41, 197–203. [Google Scholar]
- Hu, Y.; Hu, C.; Lu, L.; Xiang, Y.; Mao, Y.; Li, M. Heat transfer characteristics of products containing heat source under different storage conditions. Packag. Eng. 2019, 40, 78–82. [Google Scholar]
- Author, S.C.E. Matlab implementation of finite difference method for heat conduction equation. J. Xianyang Norm. Univ. 2009, 24, 27–36. [Google Scholar]
- Author, C.S. Experimental and Simulation Research on Electric Heating Floor Radiation Heating System Based on Phase Change Materials. Master’s Thesis, South China University of Technology, Guangzhou, China, 2014. [Google Scholar]
- Zalba, B.; Marin, J.M.; Cabeza, L.F.; Mehling, H. Review on thermal energy storage with phase change: Materaials, heat transfer analysis and applications. Appl. Therm. Energy Eng. 2003, 23, 251–283. [Google Scholar] [CrossRef]
- ISO 12567-1:2010; Thermal Performance of Windows and Doors—Determination of Thermal Transmittance by the Hot-Box Method. International Organization for Standardization: Geneva, Switzerland, 2010.















| Material | Graphene | Ag | Cu | Al | Steel |
|---|---|---|---|---|---|
| Thermal conductivity | 5000 W/(m·K) | 429 W/(m·K) | 401 W/(m·K) | 226 W/(m·K) | 73.3 W/(m·K) |
| Phase Transition Temperature/(K) | Latent Heat/(kJ·kg−1) | Specific Heat Capacity/kJ·(kg·K)−1 | Density/kg·m−3 | Thermal Conductivity/W (m2·K) |
|---|---|---|---|---|
| 302 | 234.33 | 3.71 | 1034 | 2.58 |
Disclaimer/Publisher’s Note: The statements, opinions and data contained in all publications are solely those of the individual author(s) and contributor(s) and not of MDPI and/or the editor(s). MDPI and/or the editor(s) disclaim responsibility for any injury to people or property resulting from any ideas, methods, instructions or products referred to in the content. |
© 2025 by the authors. Licensee MDPI, Basel, Switzerland. This article is an open access article distributed under the terms and conditions of the Creative Commons Attribution (CC BY) license (https://creativecommons.org/licenses/by/4.0/).
Share and Cite
Guan, B.; Qu, W.; Tian, X.; Zhang, Z.; Sun, G.; Zhou, S.; Feng, X.; Sun, C.; Yang, C. Design and Heat Transfer Analysis of Graphene-Based Electric Heating Solid Wood Composite Energy Storage Flooring. Materials 2025, 18, 698. https://doi.org/10.3390/ma18030698
Guan B, Qu W, Tian X, Zhang Z, Sun G, Zhou S, Feng X, Sun C, Yang C. Design and Heat Transfer Analysis of Graphene-Based Electric Heating Solid Wood Composite Energy Storage Flooring. Materials. 2025; 18(3):698. https://doi.org/10.3390/ma18030698
Chicago/Turabian StyleGuan, Bo, Wen Qu, Xinchi Tian, Zihao Zhang, Guoyu Sun, Siman Zhou, Xiaoyu Feng, Chengwen Sun, and Chunmei Yang. 2025. "Design and Heat Transfer Analysis of Graphene-Based Electric Heating Solid Wood Composite Energy Storage Flooring" Materials 18, no. 3: 698. https://doi.org/10.3390/ma18030698
APA StyleGuan, B., Qu, W., Tian, X., Zhang, Z., Sun, G., Zhou, S., Feng, X., Sun, C., & Yang, C. (2025). Design and Heat Transfer Analysis of Graphene-Based Electric Heating Solid Wood Composite Energy Storage Flooring. Materials, 18(3), 698. https://doi.org/10.3390/ma18030698

