B-H Curve Estimation and Air Gap Optimization for High-Performance Split Core
Abstract
1. Introduction
2. Materials and Methods
2.1. Experiment
2.2. Numerical Simulation
2.3. Polishing of the Split Core
2.4. Surface Roughness Measurement
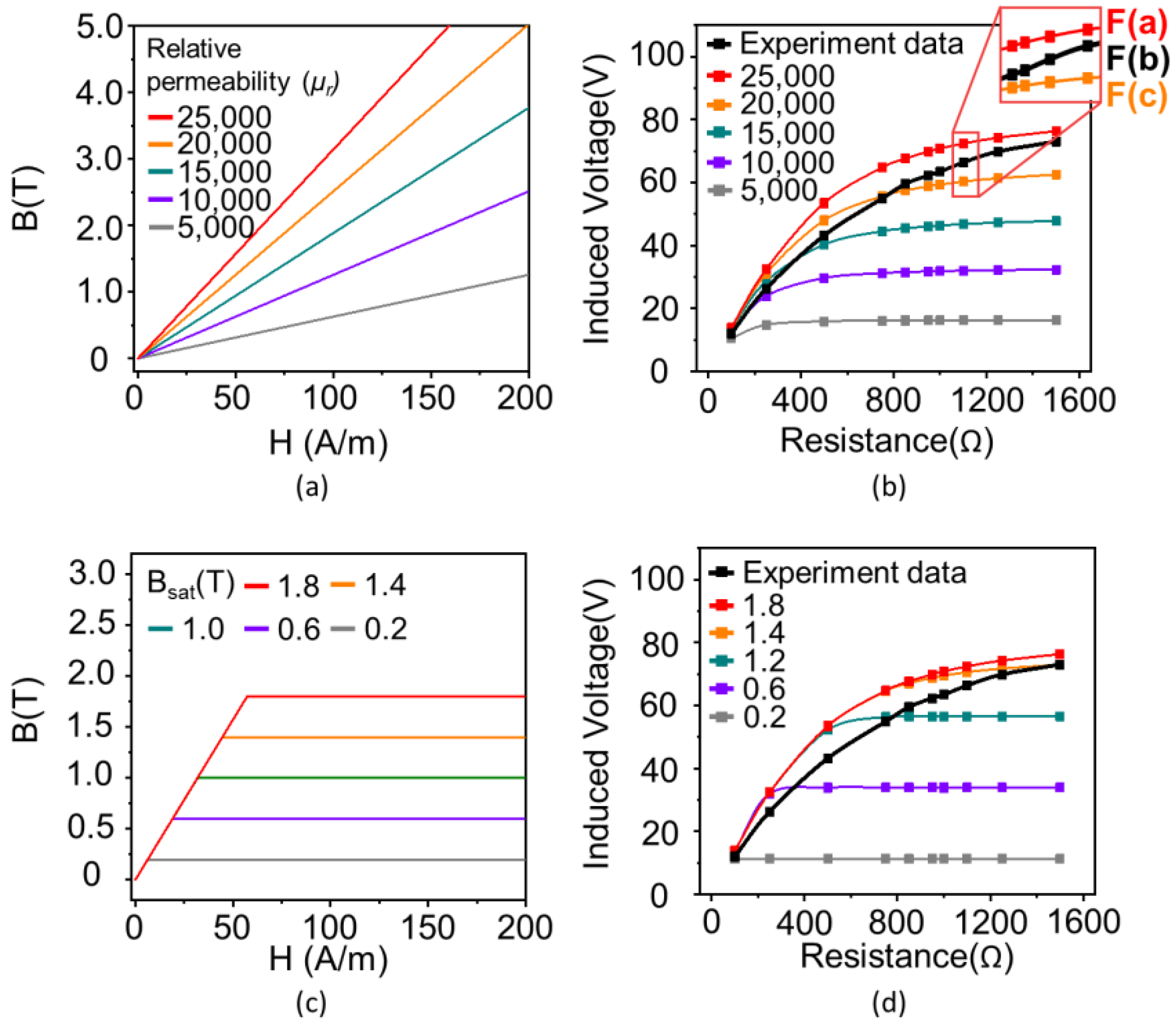
3. Results and Discussion
4. Conclusions
Supplementary Materials
Author Contributions
Funding
Institutional Review Board Statement
Informed Consent Statement
Data Availability Statement
Acknowledgments
Conflicts of Interest
References
- Frei, M.; Deb, C.; Stadler, R.; Nagy, Z.; Schlueter, A. Wireless sensor network for estimating building performance. Autom. Constr. 2020, 111, 103043. [Google Scholar] [CrossRef]
- Liu, Z.; Li, Y.; Yang, H.; Duan, N.; He, Z. An Accurate Model of Magnetic Energy Harvester in the Saturated Region for Harvesting Maximum Power: Analysis, Design, and Experimental Verification. IEEE Trans. Ind. Electron. 2023, 70, 276–285. [Google Scholar] [CrossRef]
- Du, L.; Wang, C.; Li, X.; Yang, L.; Mi, Y.; Sun, C. A Novel Power Supply of Online Monitoring Systems for Power Transmission Lines. IEEE Trans. Ind. Electron. 2010, 57, 2889–2895. [Google Scholar]
- Roscoe, N.M.; Judd, M.D. Harvesting Energy from Magnetic Fields to Power Condition Monitoring Sensors. IEEE Sens. J. 2013, 13, 2263–2270. [Google Scholar] [CrossRef]
- Park, B.; Kim, D.; Park, J. Optimization design of toroidal core for magnetic energy harvesting near power line by considering saturation effect. AIP Adv. 2018, 8, 056728. [Google Scholar] [CrossRef]
- Mohamed, S.H.; Alhazime, A.A. Suppressing photoluminescence and enhancing light absorption of TiO2 via using TiO2/TiN/TiO2 plasmonic multilayers for better solar harvesting. J. Mater. Res. Technol. 2022, 18, 4470–4478. [Google Scholar] [CrossRef]
- Lopez-Lapena, O. Time-Division Multiplexing Control of Multi-Input Converters for Low-Power Solar Energy Harvesters. IEEE Trans. Ind. Electron. 2018, 65, 9668–9676. [Google Scholar] [CrossRef]
- Hossain, M.F.T.; Dessouky, S.; Biten, A.B.; Montoya, A.; Fernandez, D. Harvesting Solar Energy from Asphalt Pavement. Sustainability 2021, 13, 12807. [Google Scholar] [CrossRef]
- Santos, M.S.; Marques Lameirinhas, R.A.; Torres, J.P.N.; Fernandes, J.F.P.; Correia, V.; Bernardo, C.P. Nanostructures for Solar Energy Harvesting. Micromachines 2023, 14, 364. [Google Scholar] [CrossRef]
- Moghaddam, I.N.; Chowdhury, B.H.; Mohajeryami, S. Predictive Operation and Optimal Sizing of Battery Energy Storage with High Wind Energy Penetration. IEEE Trans. Ind. Electron. 2018, 65, 6686–6695. [Google Scholar] [CrossRef]
- Tan, Y.K.; Panda, S.K. Self-Autonomous Wireless Sensor Nodes with Wind Energy Harvesting for Remote Sensing of Wind-Driven Wildfire Spread. IEEE Trans. Instrum. Meas. 2011, 60, 1367–1377. [Google Scholar] [CrossRef]
- Umar, D.A.; Yaw, C.T.; Koh, S.P.; Tiong, S.K.; Alkahtani, A.A.; Yusaf, T. Design and Optimization of a Small-Scale Horizontal Axis Wind Turbine Blade for Energy Harvesting at Low Wind Profile Areas. Energies 2022, 15, 3033. [Google Scholar] [CrossRef]
- Li, P.; Wen, Y.; Bian, L. Enhanced magnetoelectric effects in composite of piezoelectric ceramics, rare-earth iron alloys, and ultrasonic horn. Appl. Phys. Lett. 2007, 90, 022503. [Google Scholar] [CrossRef]
- Montenero, G.; Arpaia, P.; Ballarino, A.; Bottura, L. Design, Assembly, and Commissioning of a Cryogenic DC Current Transformer Designed for Measuring Currents of up to 80 kA. IEEE Trans. Appl. Supercond. 2015, 25, 1–6. [Google Scholar] [CrossRef]
- Wu, Z.; Wen, Y.; Li, P. A Power Supply of Self-Powered Online Monitoring Systems for Power Cords. IEEE Trans. Energy Convers. 2013, 28, 921–928. [Google Scholar] [CrossRef]
- Bhuiyan, R.H.; Dougal, R.A.; Ali, M. A Miniature Energy Harvesting Device for Wireless Sensors in Electric Power System. IEEE Sens. J. 2010, 10, 1249–1258. [Google Scholar] [CrossRef]
- Poulichet, P.; Costa, F.; Laboure, E. High-frequency modeling of a current transformer by finite-element simulation. IEEE Trans. Magn. 2003, 39, 998–1007. [Google Scholar] [CrossRef]
- He, J.; Huang, Z.; Xu, J. Microstructure evolution, stress state and electromagnetic performance of Fe-based nanocrystalline alloy induced by stress-annealing. J. Mater. Res. Technol. 2024, 31, 447–457. [Google Scholar] [CrossRef]
- Plotkowski, A.; Carver, K.; List, F. Design and performance of an additively manufactured high-Si transformer core. Mater. Des. 2020, 194, 108894. [Google Scholar] [CrossRef]
- Zhang, K.; Dou, R.; Zhao, P. Annealing process optimization of 3D coil core based on annealing simulation experiment and thermal mechanical coupling model. J. Mater. Res. Technol. 2023, 22, 216–229. [Google Scholar] [CrossRef]
- Li, P.; Wen, Y.; Zhang, Z.; Pan, S. A High-Efficiency Management Circuit Using Multiwinding Upconversion Current Transformer for Power-Line Energy Harvesting. IEEE Trans. Ind. Electron. 2015, 62, 6327–6335. [Google Scholar] [CrossRef]
- Bashir, S.; Paul, S.; Chang, J. Novel Core Airgap Profiles Design Scheme for Winding and Thermal Loss Reduction in High-Frequency Current Transformer Sensors. IEEE Sens. J. 2020, 20, 892–898. [Google Scholar] [CrossRef]
- Wang, R.; Du, G.; Xiao, W.; Zhang, B.; Qiu, D. Wide Range Energy Harvesting Technique for Current Transformer Based on Coil Adaptive Switching. IEEE Sens. J. 2024, 24, 41875–41884. [Google Scholar] [CrossRef]
- Yuan, S.; Huang, Y.; Zhou, J.; Xu, Q.; Song, C.; Thompson, P. Magnetic Field Energy Harvesting Under Overhead Power Lines. IEEE Trans. Power Electron. 2015, 30, 6191–6202. [Google Scholar] [CrossRef]
- Wang, J.; Chen, W. Output Characteristics Analysis of Energy Harvesting Current Transformer. IEEE Sens. J. 2021, 21, 22595–22602. [Google Scholar] [CrossRef]
- Das, J.C.; Mullikin, R. Design and Application of a Low-Ratio High-Accuracy Split-Core Core-Balance Current Transformer. IEEE Trans. Ind. Appl. 2010, 46, 1856–1865. [Google Scholar] [CrossRef]
- Sima, W.; Zeng, L.; Yang, M.; Yuan, T.; Sun, P. Improving the Temperature and Vibration Robustness of Fiber Optic Current Transformer Using Fiber Polarization Rotator. IEEE Trans. Instrum. Meas. 2022, 71, 1–12. [Google Scholar] [CrossRef]
- Zhu, M.; Tang, H.; He, Z.; Liao, Y.; Tang, B.; Zhang, Q.; Shu, H.; Deng, Y.; Zeng, F.; Cao, P. Field Test Method and Equivalence Analysis of Delay Characteristics of DC Electronic Current Transformer. Energies 2023, 16, 5727. [Google Scholar] [CrossRef]
- Kaczmarek, M.; Pacholczyk, B. Development of Inductive Current Transformer 400/5/1 of Class 0.2 S for Frequency Range 50 Hz–5 kHz. Sensors 2024, 24, 8011. [Google Scholar] [CrossRef]
- Chen, F.; Yang, C.; Guo, Z.; Wang, Y.; Ma, X. A Magnetically Controlled Current Transformer for Stable Energy Harvesting. IEEE Trans. Power Deliv. 2022, 38, 212–221. [Google Scholar] [CrossRef]
- Lesniewska, E. Influence of the Selection of the Core Shape and Winding Arrangement on the Accuracy of Current Transformers with Through-Going Primary Cable. Energies 2021, 14, 1932. [Google Scholar] [CrossRef]
- Wang, W.; Huang, X.; Tan, L.; Guo, J.; Liu, H. Optimization Design of an Inductive Energy Harvesting Device for Wireless Power Supply System Overhead High-Voltage Power Lines. Energies 2016, 9, 242. [Google Scholar] [CrossRef]
- Oliveira, L.; Chaves, P.; Mozena, A.; Branquinho, O.; Morais, F.; Manera, L. Development of an Electromagnetic Energy Harvesting System Based on a Current Transformer for Use in Industrial Electric Motors. IEEE Lat. Am. Trans. 2023, 21, 976–983. [Google Scholar] [CrossRef]
- Toussaint, K.; Pouliot, N.; Montambault, S. Transmission line maintenance robots capable of crossing obstacles: State-of-the-art review and challenges ahead. J. Field Robot. 2009, 26, 477–499. [Google Scholar] [CrossRef]
- Maharjan, P.; Salauddin, M.; Cho, H.; Park, J.Y. An indoor power line based magnetic field energy harvester for self-powered wireless sensors in smart home applications. Appl. Energy 2018, 232, 398–408. [Google Scholar] [CrossRef]
- Akbaba, M. A modified froelich’s type equation for accurate modeling of magnetising characteristic of magnetic cores. Electr. Mach. Power Syst. 1991, 19, 303–311. [Google Scholar] [CrossRef]
- Middleton, F.H. Analytic Hysteresis Function. J. Appl. Phys. 1961, 32, S251–S252. [Google Scholar] [CrossRef]
- El-Sherbiny, M. Representation of the magnetization characteristic by a sum of exponentials. IEEE Trans. Magn. 1973, 9, 60–61. [Google Scholar] [CrossRef]
- Macfadyen, W.K. Representation of magnetization curves by exponential series. Proc. Inst. Electr. Eng. 1973, 120, 902–904. [Google Scholar] [CrossRef]
- Widger, G.F.T. Representation of magnetisation curves over extensive range by rational-fraction approximations. Proc. Inst. Electr. Eng. 1969, 116, 156. [Google Scholar] [CrossRef]
- Trutt, F.; Erdelyi, E.; Hopkins, R. Representation of the Magnetization Characteristic of DC Machines for Computer Use. IEEE Trans. Power Appar. Syst. 1968, PAS-87, 665–669. [Google Scholar] [CrossRef]
- Huang, P.H.; Chang, Y.S. Qualitative Modeling for Magnetization Curve. J. Mar. Sci. Technol. 2000, 8, 1. [Google Scholar] [CrossRef]
- Ionita, V.; Cazacu, E. Correction of Measured Magnetization Curves Using Finite Element Method. IEEE Trans. Magn. 2009, 45, 1174–1177. [Google Scholar] [CrossRef]
- Vatandoost, H.; Sedaghati, R.; Rakheja, S. A novel methodology for accurate estimation of magnetic permeability of magnetorheological elastomers. J. Magn. Magn. Mater. 2022, 560, 169669. [Google Scholar] [CrossRef]
- Umenei, A.E.; Melikhov, Y.; Jiles, D.C. Models for Extrapolation of Magnetization Data on Magnetic Cores to High Fields. IEEE Trans. Magn. 2011, 47, 4707–4711. [Google Scholar] [CrossRef]
- Rao, D.K.; Kuptsov, V. Effective Use of Magnetization Data in the Design of Electric Machines with Overfluxed Regions. IEEE Trans. Magn. 2015, 51, 1–9. [Google Scholar] [CrossRef]
- Wang, L.; Ding, F.; Yang, D.; Wang, K.; Jiao, B.; Chen, Q. A fitting-extrapolation method of B-H curve for magnetic saturation applications. COMPEL-Int. J. Comput. Math. Electr. Electron. Eng. 2023, 42, 494–505. [Google Scholar] [CrossRef]
- O’Driscoll, E.; O’Donnell, G.E. Industrial power and energy metering—A state-of-the-art review. J. Clean. Prod. 2013, 41, 53–64. [Google Scholar] [CrossRef]
- Jalmuzny, W.; Lesniewska, E. Influence of the number of core air gaps on transient state parameters of TPZ class protective current transformers. IET Sci. Meas. Technol. 2009, 3, 105–112. [Google Scholar]
- Odawara, S.; Yamamoto, S.; Sawatari, K. Iron Loss Evaluation of Reactor Core with Air Gaps by Magnetic Field Analysis Under High-Frequency Excitation. IEEE Trans. Magn. 2015, 51, 1–4. [Google Scholar] [CrossRef]
- Li, Y.; Liu, H.; Sun, H.; Wan, Z. High-Frequency Loss Modeling of Amorphous and Nanocrystalline Cores with Different Air Gaps. IEEE Trans. Magn. 2021, 58, 1–5. [Google Scholar] [CrossRef]
- Zeng, X.; Chen, W.; Yang, L.; Chen, Q.; Huang, Y. An Accurate Calculation Method for Inductor Air Gap Length in High Power DC–DC Converters. Sci. Rep. 2024, 14, 3473. [Google Scholar] [CrossRef] [PubMed]
- Starodubtsev, Y.N.; Tsepelev, V.S.; Belozerov, V.Y.; Zelenin, V.A. Permeability of Magnetic Cores with Air Gaps. Materials 2022, 15, 1217. [Google Scholar] [CrossRef] [PubMed]


















| Resistance (Ω) | B (T) | µ (H/m) | H (A/m) |
|---|---|---|---|
| 100 | 0.312 | 0.01 | 30.898 |
| 250 | 0.49 | 0.016 | 31.165 |
| 500 | 0.802 | 0.021 | 37.856 |
| 750 | 0.974 | 0.025 | 39.399 |
| 850 | 1.114 | 0.026 | 42.197 |
| 950 | 1.187 | 0.027 | 43.799 |
| 1000 | 1.212 | 0.027 | 44.305 |
| 1100 | 1.28 | 0.028 | 45.251 |
| 1250 | 1.35 | 0.029 | 46.12 |
| 1500 | 1.411 | 0.03 | 47.181 |
| Current (A) | MAE | MSE | RMSE |
|---|---|---|---|
| 10 | 0.38 | 0.17 | 0.41 |
| 20 | 0.62 | 0.7 | 0.89 |
| 30 | 2 | 4.76 | 2.04 |
| 40 | 3.64 | 14.94 | 3.87 |
| 50 | 4.48 | 24.1 | 4.91 |
| Current (A) | MAE | MSE | RMSE |
|---|---|---|---|
| 10 | 0.14 | 0.05 | 0.22 |
| 20 | 0.41 | 0.44 | 0.66 |
| 30 | 0.98 | 2.22 | 1.49 |
Disclaimer/Publisher’s Note: The statements, opinions and data contained in all publications are solely those of the individual author(s) and contributor(s) and not of MDPI and/or the editor(s). MDPI and/or the editor(s) disclaim responsibility for any injury to people or property resulting from any ideas, methods, instructions or products referred to in the content. |
© 2025 by the authors. Licensee MDPI, Basel, Switzerland. This article is an open access article distributed under the terms and conditions of the Creative Commons Attribution (CC BY) license (https://creativecommons.org/licenses/by/4.0/).
Share and Cite
Kim, M.; Lee, M.; Lee, S.; Lee, J.; Song, J. B-H Curve Estimation and Air Gap Optimization for High-Performance Split Core. Materials 2025, 18, 644. https://doi.org/10.3390/ma18030644
Kim M, Lee M, Lee S, Lee J, Song J. B-H Curve Estimation and Air Gap Optimization for High-Performance Split Core. Materials. 2025; 18(3):644. https://doi.org/10.3390/ma18030644
Chicago/Turabian StyleKim, Minjoong, Myungseo Lee, Sijeong Lee, Jaeyun Lee, and Jihwan Song. 2025. "B-H Curve Estimation and Air Gap Optimization for High-Performance Split Core" Materials 18, no. 3: 644. https://doi.org/10.3390/ma18030644
APA StyleKim, M., Lee, M., Lee, S., Lee, J., & Song, J. (2025). B-H Curve Estimation and Air Gap Optimization for High-Performance Split Core. Materials, 18(3), 644. https://doi.org/10.3390/ma18030644

