Structure and Mixed Proton–Electronic Conductivity in Pr and Nb-Substituted La5.4MoO12−δ Ceramics
Abstract
1. Introduction
2. Materials and Methods
2.1. Synthesis
2.2. Structural and Microstructural Characterization
2.3. Electrical Characterisation
3. Results
3.1. Phase Formation
3.2. Structural Analysis
3.3. XPS Analysis
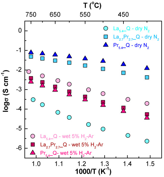
3.4. Microstructural and Electrical Characterization
4. Conclusions
Supplementary Materials
Author Contributions
Funding
Institutional Review Board Statement
Informed Consent Statement
Data Availability Statement
Conflicts of Interest
References
- Kim, D.; Lee, T.K.; Han, S.; Jung, Y.; Lee, D.G.; Choi, M.; Lee, W. Advances and challenges in developing protonic ceramic cells. Mater. Today Energy 2023, 36, 101365. [Google Scholar] [CrossRef]
- Cheng, S.; Li, X.; Huang, X.; Ling, Y.; Liu, S.; Li, T. Hydrogen separation via proton conducting ceramic membranes: A review. Int. J. Hydrog. Energy 2024, 70, 654–665. [Google Scholar] [CrossRef]
- Dou, J.; Wang, S.; Yao, Z. Mixed protonic–electronic conducting ceramic membranes for hydrogen separation: A review on recent advances in structure optimization and preparation. Sep. Purif. Technol. 2025, 355, 129582. [Google Scholar] [CrossRef]
- Zhang, W.; Liu, M.; Gu, X.; Shi, Y.; Deng, Z.; Cai, N. Water electrolysis toward elevated temperature: Advances, challenges and frontiers. Chem. Rev. 2023, 123, 7119–7192. [Google Scholar] [CrossRef]
- Vignesh, D.; Rout, E. Technological challenges and advancement in proton conductors: A review. Energy Fuels 2023, 37, 3428–3469. [Google Scholar] [CrossRef]
- Matkin, D.E.; Starostina, I.A.; Hanif, M.B.; Medvedev, D.A. Revisiting the ionic conductivity of solid oxide electrolytes: A technical review. J. Mater. Chem. A 2024, 12, 25696–25714. [Google Scholar] [CrossRef]
- Hossain, M.K.; Biswas, M.C.; Chanda, R.K.; Rubel, M.H.K.; Khan, M.I.; Hashizume, K. A review on experimental and theoretical studies of perovskite barium zirconate proton conductors. Emergent Mater. 2021, 4, 999–1027. [Google Scholar] [CrossRef]
- Mohd Rashid, N.L.; Abdul Samat, A.; Jais, A.A.; Somalu, M.R.; Muchtar, A.; Baharuddin, N.A.; Wan Isahak, W.N.R. Review on zirconate-cerate-based electrolytes for proton-conducting solid oxide fuel cell. Ceram. Int. 2019, 45, 6605–6615. [Google Scholar] [CrossRef]
- Danilov, N.A.; Starostina, I.A.; Starostin, G.N.; Kasyanova, A.V.; Medvedev, D.A.; Shao, Z. Fundamental understanding and applications of protonic Y- and Yb-Coped Ba(Ce,Zr)O3 perovskites: State-of-the-art and perspectives. Adv. Energy Mater. 2023, 13, 2302175. [Google Scholar] [CrossRef]
- Fang, S.; Brinkman, K.S.; Chen, F. Hydrogen permeability and chemical stability of Ni–BaZr0.1Ce0.7Y0.1Yb0.1O3−δ membrane in concentrated H2O and CO2. J. Membr. Sci. 2014, 467, 85–92. [Google Scholar] [CrossRef]
- Yang, C.; Cao, W.; Shen, Q.; Li, J.; Wang, L.; Yao, W.; Liang, Y.; Wang, K. Electrochemical properties of Sr-doped La2−xSrxCe2O7−δ hydrogen separation membrane. Int. J. Hydrog. Energy 2024, 63, 720–730. [Google Scholar] [CrossRef]
- Lucid, A.K.; Keating, P.R.L.; Allen, J.P.; Watson, G.W. Structure and Reducibility of CeO2 Doped with Trivalent Cations. J. Phys. Chem. C 2016, 120, 23430. [Google Scholar] [CrossRef]
- Norby, T.; Magrasó, A. On the development of proton ceramic fuel cells based on Ca-doped LaNbO4 as electrolyte. J. Power Sources 2015, 282, 28–33. [Google Scholar] [CrossRef]
- Magrasó, A.; Haugsrud, R. Effects of the La/W ratio and doping on the structure, defect structure, stability and functional properties of proton-conducting lanthanum tungstate La28−xW4+xO54+δ. A review. J. Mater. Chem. A 2014, 2, 12630–12641. [Google Scholar] [CrossRef]
- Gil, V.; Gurauskis, J.; Kjølseth, C.; Wiik, K.; Einarsrud, M.-A. Hydrogen permeation in asymmetric La28−xW4+xO54+3x/2 membranes. Int. J. Hydrog. Energy 2013, 38, 3087–3091. [Google Scholar] [CrossRef]
- Escolástico, S.; Solís, C.; Scherb, T.; Schumacher, G.; Serra, J.M. Hydrogen separation in La5.5WO11.25−δ membranes. J. Membr. Sci. 2013, 444, 276–284. [Google Scholar] [CrossRef]
- Gil, V.; Gurauskis, J.; Einarsrud, M.-A. Asymmetric supported dense lanthanum tungstate membranes. J. Eur. Ceram. Soc. 2014, 34, 3783–3790. [Google Scholar] [CrossRef][Green Version]
- Vøllestad, E.; Vigen, C.K.; Magrasó, A.; Haugsrud, R. Hydrogen permeation characteristics of La27Mo1.5W3.5O55.5. J. Membr. Sci. 2014, 461, 81–88. [Google Scholar] [CrossRef]
- Chen, Y.; Liao, Q.; Li, Z.; Wang, H.; Wei, Y.; Feldhoff, A.; Caro, J. A CO2-stable hollow-fiber membrane with high hydrogen permeation flux. AIChE J. 2015, 61, 1997–2007. [Google Scholar] [CrossRef]
- Polfus, J.M.; Xing, W.; Fontaine, M.L.; Denonville, C.; Henriksen, P.P.; Bredesen, R. Hydrogen separation membranes based on dense ceramic composites in the La27W5O55.5−LaCrO3 system. J. Membr. Sci. 2015, 479, 39–45. [Google Scholar] [CrossRef]
- López-Vergara, A.; Porras-Vázquez, J.M.; Infantes-Molina, A.; Canales-Vázquez, J.; Cabeza, A.; Losilla, E.R.; Marrero-López, D. Effect of preparation conditions on the polymorphism and transport properties of La6−xMoO12−δ (0 ≤ x ≤ 0.8). Chem. Mater. 2017, 29, 6966–6975. [Google Scholar] [CrossRef]
- López-Vergara, A.; Vizcaíno-Anaya, L.; Porras-Vázquez, J.M.; Baldinozzi, G.; dos Santos-Gómez, L.; Canales-Vazquez, J.; Marrero-López, D.; Losilla, E.R. Unravelling crystal superstructures and transformations in the La6−xMoO12−δ (0.6 ≤ x ≤ 3.0) series: A system with tailored ionic/electronic conductivity. Chem. Mater. 2020, 32, 7052–7062. [Google Scholar] [CrossRef]
- Dan Vu, T.; Krichen, F.; Barré, M.; Coste, S.; Jouanneaux, A.; Suard, E.; Fitch, A.; Goutenoire, F. Ab-initio structure determination of La34Mo8O75 using powder X-ray and neutron diffraction data. Cryst. Growth Des. 2019, 19, 6074–6081. [Google Scholar] [CrossRef]
- López-Vergara, A.; Porras-Vázquez, J.M.; Vøllestad, E.; Canales-Vázquez, J.; Losilla, E.R.; Marrero-López, D. Metal-Doping of La5.4MoO11.1 Proton Conductors: Impact on the Structure and Electrical Properties. Inorg. Chem. 2018, 57, 12811–12819. [Google Scholar] [CrossRef]
- Savvin, S.N.; Shlyakhtina, A.V.; Kolbanev, I.V.; Knotko, A.V.; Belov, D.A.; Shcherbakova, L.G.; Nuñez, P. Zr-doped samarium molybdates—Potential mixed electron–proton conductors. Solid State Ion. 2014, 262, 713–718. [Google Scholar] [CrossRef]
- Shlyakhtina, A.V.; Savvin, S.N.; Lyskov, N.V.; Kolbanev, I.V.; Karyagina, O.K.; Chernyak, S.A.; Shcherbakova, L.G.; Nuñez, P. Polymorphism in the family of Ln6−xMoO12−δ (Ln = La, Gd–Lu; x = 0, 0.5) oxygen ion- and proton-conducting materials. J. Mater. Chem. A 2017, 5, 7618–7630. [Google Scholar] [CrossRef]
- Rubio-Vives, R.; Porras-Vázquez, J.M.; dos Santos-Gómez, L.; Zamudio-García, J.; Infantes-Molina, A.; Canales-Vazquez, J.; Marrero-López, D.; Losilla, E.R. Impact of the lanthanide size on the polymorphism and electrical properties of Ln5.4MoO11.1 (Ln = Nd, Sm and Gd). Ceram. Int. 2023, 49, 12805–12813. [Google Scholar] [CrossRef]
- Chen, D.J.; Ran, R.; Zhang, K.; Wang, J.; Shao, Z.P. Intermediate-temperature electrochemical performance of a polycrystalline PrBaCo2O5+δ cathode on samarium-doped ceria electrolyte. J. Power Sources 2009, 188, 96. [Google Scholar] [CrossRef]
- Jin, F.J.; Shen, Y.; Wang, R.; He, T.M. Double-perovskite PrBaCo2/3Fe2/3Cu2/3O5+δ as cathode material for intermediate-temperature solid-oxide fuel cells. J. Power Sources 2013, 234, 244. [Google Scholar] [CrossRef]
- Zayas-Rey, M.J.; dos Santos-Gómez, L.; Marrero-López, D.; León-Reina, L.; Canales-Vázquez, J.; Aranda, M.A.G.; Losilla, E.R. Structural and Conducting Features of Niobium-Doped Lanthanum Tungstate, La27(W1−xNbx)5O55.55−δ. Chem. Mater. 2013, 25, 448–456. [Google Scholar] [CrossRef]
- X’Pert High Score Plus Program, version 3.0e; PANalytical B.V.: Amelo, The Netherlands, 2012.
- Larson, A.C.; von Dreele, R.B. GSAS Program; Report LA-UR-86748; Los Alamos National Lab: Los Alamos, NM, USA, 1994. [Google Scholar]
- Multipak v9.3 Software, Data Reduction Software for AES & XPS; Physical Electronics: Chanhassen, MN, USA, 2010.
- Digital Micrograph, Version 3.22.1461.0; Gatan: Pleasanton, CA, USA, 2020.
- Abrantes, J.C.C.; Estereología, U.I.D.M. ESTG; Polytechnic Institute of Viana do Castelo: Viana do Castelo, Portugal, 1998. [Google Scholar]
- Johnson, D. ZView: A Software Program for IES Analysis, Version 2.9c; Scribner Associates, Inc.: Southern Pines, NC, USA, 2005. [Google Scholar]
- Amsif, M.; Magrasó, A.; Marrero-López, D.; Ruiz-Morales, J.C.; Canales-Vázquez, J.; Núñez, P. Mo-substituted lanthanum tungstate La28−yW4+yO54+δ: A competitive mixed electron–proton conductor for gas separation membrane applications. Chem. Mater. 2012, 24, 3868–3877. [Google Scholar] [CrossRef]
- Poggio-Fraccari, E.; Baronetti, G.; Mariño, F. Pr3+ surface fraction in CePr mixed oxides determined by XPS analysis. J. Electron Spectrosc. 2018, 222, 1–4. [Google Scholar] [CrossRef]
- Escolástico, S.; Somacescu, S.; Serra, J.M. Tailoring mixed ionic–electronic conduction in H2 permeable membranes based on the system Nd5.5W1−xMoxO11.25−δ. J. Mater. Chem. A 2015, 3, 719–731. [Google Scholar] [CrossRef]
- Oni, B.A.; Tomomewo, O.S.; Sanni, S.E.; Ibegbu, A.J.; Joseph, R. Ni catalysts modified with mesoporous silica support: The role of Pr2O3 and MgO on the methanation of CO2. Mol. Catal. 2024, 553, 113774. [Google Scholar] [CrossRef]
- Kim, J.-H.; Kim, J.-E.; Kim, H.-M.; Jeong, D.-W. Characteristics and performance of the Co-CeO2 catalyst as a function of the promoter (La, Pr, and Zr) used in high temperature water gas shift reaction. Int. J. Hydrog. Energy 2021, 46, 12981–12991. [Google Scholar] [CrossRef]
- Kalland, L.-E.; Løken, A.; Bjørheim, T.S.; Haugsrud, R.; Norby, T. Structure, hydration, and proton conductivity in 50% La and Nd doped CeO2—La2Ce2O7 and Nd2Ce2O7—And their solid solutions. Solid State Ion. 2020, 354, 1154. [Google Scholar] [CrossRef]
- Chen, Y.; Cheng, S.; Chen, L.; Wei, Y.; Ashman, P.J.; Wang, H. Niobium and molybdenum co-doped La5.5WO11.25−δ membrane with improved hydrogen permeability. J. Membr. Sci. 2016, 510, 155–163. [Google Scholar] [CrossRef]
- Cao, Y.; Duan, N.; Jian, L.; Evans, A.; Haugsrud, R. Effect of Nb Doping on Hydration and Conductivity of La27W5O55.5–δ. J. Am. Ceram. Soc. 2016, 99, 3309–3316. [Google Scholar] [CrossRef]







Disclaimer/Publisher’s Note: The statements, opinions and data contained in all publications are solely those of the individual author(s) and contributor(s) and not of MDPI and/or the editor(s). MDPI and/or the editor(s) disclaim responsibility for any injury to people or property resulting from any ideas, methods, instructions or products referred to in the content. |
© 2025 by the authors. Licensee MDPI, Basel, Switzerland. This article is an open access article distributed under the terms and conditions of the Creative Commons Attribution (CC BY) license (https://creativecommons.org/licenses/by/4.0/).
Share and Cite
Sánchez-Caballero, A.; Porras-Vázquez, J.M.; dos Santos-Gómez, L.; Zamudio-García, J.; Infantes-Molina, A.; Canales-Vázquez, J.; Losilla, E.R.; Marrero-López, D. Structure and Mixed Proton–Electronic Conductivity in Pr and Nb-Substituted La5.4MoO12−δ Ceramics. Materials 2025, 18, 529. https://doi.org/10.3390/ma18030529
Sánchez-Caballero A, Porras-Vázquez JM, dos Santos-Gómez L, Zamudio-García J, Infantes-Molina A, Canales-Vázquez J, Losilla ER, Marrero-López D. Structure and Mixed Proton–Electronic Conductivity in Pr and Nb-Substituted La5.4MoO12−δ Ceramics. Materials. 2025; 18(3):529. https://doi.org/10.3390/ma18030529
Chicago/Turabian StyleSánchez-Caballero, Abraham, José M. Porras-Vázquez, Lucía dos Santos-Gómez, Javier Zamudio-García, Antonia Infantes-Molina, Jesús Canales-Vázquez, Enrique R. Losilla, and David Marrero-López. 2025. "Structure and Mixed Proton–Electronic Conductivity in Pr and Nb-Substituted La5.4MoO12−δ Ceramics" Materials 18, no. 3: 529. https://doi.org/10.3390/ma18030529
APA StyleSánchez-Caballero, A., Porras-Vázquez, J. M., dos Santos-Gómez, L., Zamudio-García, J., Infantes-Molina, A., Canales-Vázquez, J., Losilla, E. R., & Marrero-López, D. (2025). Structure and Mixed Proton–Electronic Conductivity in Pr and Nb-Substituted La5.4MoO12−δ Ceramics. Materials, 18(3), 529. https://doi.org/10.3390/ma18030529

