Microhardness, Young’s and Shear Modulus in Tetrahedrally Bonded Novel II-Oxides and III-Nitrides
Abstract
1. Introduction
2. Background
2.1. The Crystal Structures
2.2. Bond-Orbital Model
2.2.1. Bond Length and Polarity
2.2.2. Bulk Modulus and Elastic and Shear Constants
2.3. Keating Model Parameters: The Force Constants and Elastic Constants
2.4. Born Transverse Effective Charge
2.5. Mechanical Properties
2.5.1. Shear Moduli, Poisson’s Ratio, Young’s Moduli, and Microhardness
3. Numerical Computations, Results, and Discussion
3.1. Bond Length
3.2. Bond Polarity
Links of with
3.3. Elastic Constants, Bulk Moduli, and Bond-Stretching and Bond-Bending Force Constants
3.4. Born’s Transverse Effective Charge
3.5. Hardness of Materials
3.5.1. Shear Modulus, Microhardness, and Young’s Modulus
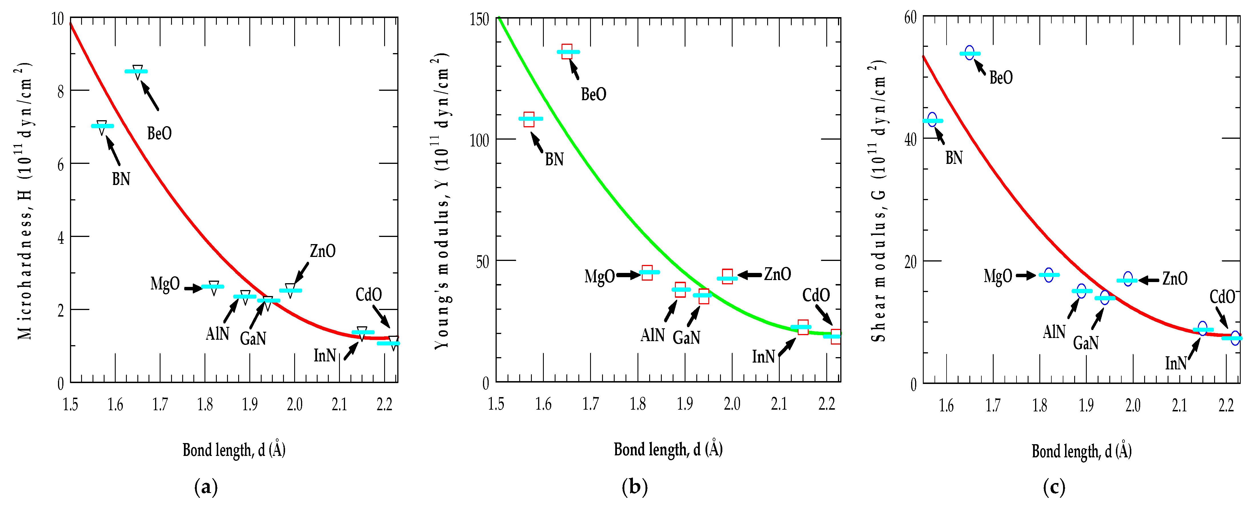
3.5.2. Variations in Microhardness, Young’s Modulus, and Shear Modulus with Bond Length
3.5.3. Variations in Microhardness, Young’s Modulus, and Shear Modulus
4. Concluding Remarks
Author Contributions
Funding
Institutional Review Board Statement
Informed Consent Statement
Data Availability Statement
Acknowledgments
Conflicts of Interest
References
- Li, Y. III-Nitride Materials: Properties, Growth, and Applications. Crystals 2024, 14, 390. [Google Scholar] [CrossRef]
- Waack, J.M.; Kremer, M.; Czerner, M.; Heiliger, C. Structural and electronic properties of cubic rocksalt AlxSc1−xN random alloys from ab initio calculations. Phys. Rev. B 2024, 109, 075142. [Google Scholar] [CrossRef]
- Wang, J.; Xie, N.; Xu, F.; Zhang, L.; Lang, J.; Kang, X.; Qin, Z.; Yang, X.; Tang, N.; Wang, X.; et al. Group-III nitride heteroepitaxial films approaching bulk-class quality. Nat. Mater. 2023, 22, 853–859. [Google Scholar] [CrossRef] [PubMed]
- Yang, T.; Chen, Y.-H.; Wang, Y.-C.; Ou, W.; Ying, L.-Y.; Mei, Y.; Tian, A.-Q.; Liu, J.-P.; Guo, H.-C.; Zhang, B.-P. Green Vertical-Cavity Surface-Emitting Lasers Based on InGaN Quantum Dots and Short Cavity. Nano-Micro Lett. 2023, 15, 223. [Google Scholar] [CrossRef]
- Chen, Z.; Sheng, B.; Liu, F.; Liu, S.; Li, D.; Yuan, Z.; Wang, T.; Rong, X.; Huang, J.; Qiu, J.; et al. High-Efficiency InGaN Red Mini-LEDs on Sapphire Toward Full-Color Nitride Displays: Effect of Strain Modulation. Adv. Func. Mater. 2023, 33, 2300042. [Google Scholar] [CrossRef]
- Li, P.; Li, H.; Yao, Y.; Lim, N.; Wong, M.; Iza, M.; Gordon, M.J.; Speck, J.S.; Nakamura, S.; DenBaars, S.P. Significant Quantum Efficiency Enhancement of InGaN Red Micro-Light-Emitting Diodes with a Peak External Quantum Efficiency of up to 6%. ACS Photonics 2023, 10, 1899–1905. [Google Scholar] [CrossRef]
- Yu, L.; Wang, L.; Yang, P.; Hao, Z.; Yu, J.; Luo, Y.; Sun, C.; Xiong, B.; Han, Y.; Wang, J.; et al. Metal organic vapor phase epitaxy of high-indium-composition InGaN quantum dots towards red micro-LEDs. Opt. Mater. Express 2022, 12, 3225. [Google Scholar] [CrossRef]
- Xiong, J.; Hsiang, E.-L.; He, Z.; Zhan, T.; Wu, S.-T. Augmented reality and virtual reality displays: Emerging technologies and future perspectives. Light-Sci. Appl. 2021, 10, 216. [Google Scholar] [CrossRef]
- Wang, L.; Ma, J.; Su, P.; Huang, J. High-Resolution Pixel LED Headlamps: Functional Requirement Analysis and Research Progress. Appl. Sci. 2021, 11, 3368. [Google Scholar] [CrossRef]
- Wang, J.; Xu, F.; Liu, B.; Lang, J.; Zhang, N.; Kang, X.; Qin, Z.; Yang, X.; Wang, X.; Ge, W.; et al. Control of dislocations in heteroepitaxial AlN films by extrinsic supersaturated vacancies introduced through thermal desorption of heteroatoms. Appl. Phys. Lett. 2021, 118, 162103. [Google Scholar] [CrossRef]
- Shen, J.; Yang, X.; Liu, D.; Cai, Z.; Wei, L.; Xie, N.; Xu, F.; Tang, N.; Wang, X.; Ge, W.; et al. High quality AlN film grown on a nano-concave-circle patterned Si substrate with an AlN seed layer. Appl. Phys. Lett. 2020, 117, 022103. [Google Scholar] [CrossRef]
- Gopal, P.; Fornari, M.; Curtarolo, S.; Agapito, L.A.; Liyanage, S.I.; Nardelli, M.B. Improved predictions of the physical properties of Zn− and Cd-based wide band-gap semiconductors: A validation of the ACBN0 functional. Phys. Rev. B 2015, 91, 245202. [Google Scholar] [CrossRef]
- Hazarika, R.; Kalita, B. Site selective behavior of B, C and N doping in MgO monolayers towards spintronic and optoelectronic applications. Mater. Sci. Semicond. Process. 2023, 162, 107514. [Google Scholar] [CrossRef]
- Zaoui, A.; Ferhat, M. Exploring novel phases of Cd–O system at ambient pressure. Phys. Lett. A 2017, 381, 685–688. [Google Scholar] [CrossRef]
- Zahoor, R.; Jalil, A.; Ilyas, S.Z.; Ahmed, S.; Hassan, A. Optoelectronic and solar cell applications of ZnO nanostructures. Results Surf. Interfaces 2021, 2, 100003. [Google Scholar] [CrossRef]
- Huang, Z.; Liu, H.; Hu, R.; Qiao, H.; Wang, H.; Liu, Y.; Qi, X.; Zhang, H. Structures, properties and application of 2D mono elemental materials (Xenes) as graphene analogues under defect engineering. Nano Today 2020, 35, 100906. [Google Scholar] [CrossRef]
- Singh, J.P.; Singh, V.; Sharma, A.; Pandey, G.; Chae, K.H.; Lee, S. Approaches to synthesize MgO nanostructures for diverse applications. Heliyon 2020, 6, e04882. [Google Scholar] [CrossRef] [PubMed]
- Loy, D.J.J.; Danajaya, P.A.; Hong, X.L.; Shum, D.P.; Lew, W.S. Conduction mechanisms on high retention annealed MgO-based resistive switching memory devices. Sci. Rep. 2018, 8, 14774. [Google Scholar] [CrossRef] [PubMed]
- Duman, S.; Sütlü, A.; Bağcı, S.; Tütüncü, H.M.; Srivastava, G.P. Structural, elastic, electronic, and phonon properties of zincblende and wurtzite BeO. J. Appl. Phys. 2009, 105, 033719. [Google Scholar] [CrossRef]
- Malakkal, L.; Szpunar, B.; Siripurapu, R.K.; Zuniga, J.C.; Szpunar, J.A. Thermal conductivity of wurtzite and zinc blende cubic phases of BeO from ab initio calculations. Solid State Sci. 2017, 65, 79–87. [Google Scholar] [CrossRef]
- Dias, C.; Guerra, L.M.; Bordalo, B.D.; Lv, H.; Ferraria, A.M.; do Rego, A.M.B.; Cardoso, S.; Freitas, P.P.; Ventura, J. Voltage-polarity dependent multi-mode resistive switching on sputtered MgO nanostructures. Phys. Chem. Chem. Phys. 2017, 19, 10898–10904. [Google Scholar] [CrossRef] [PubMed]
- Abdullahi, Y.Z.; Ersan, F. Stability and electronic properties of XO (X = Be, Mg, Zn, Cd) biphenylene and graphenylene networks: A first-principles study. Appl. Phys. Lett. 2023, 123, 252104. [Google Scholar] [CrossRef]
- Tosun, M.; Ataoglu, S.; Arda, L.; Ozturk, O.; Asikuzun, E.; Akcan, D.; Cakiroglu, O. Structural and mechanical properties of ZnMgO nanoparticles. Mater. Sci. Eng. A 2014, 590, 416–422. [Google Scholar] [CrossRef]
- Riane, R.; Boussahl, Z.; Matar, S.F.; Zaoui, A. Structural and Electronic Properties of Zinc Blende-type Nitrides BxAl1–xN; 093–20776/08/0900–1069$06.00@2008 Verlag der Zeitschrift fur Naturforschung, Tubingen. Available online: http://znaturforsch.com (accessed on 10 December 2024).
- Tossell, J.A. Calculation of bond distances and heats of formation for BeO, MgO, SiO2, TiO2, FeO, and ZnO using the ionic model. Am. Mineral. 1980, 65, 163–173. [Google Scholar]
- Magdalane, C.M.; Kaviyarasu, K.; Vijaya, J.J.; Jayakumar, C.; Maaza, M.; Jeyaraj, B. Photocatalytic degradation effect of malachite green and catalytic hydrogenation by UV–illuminated CeO2/CdO multilayered nanoplatelet arrays: Investigation of antifungal and antimicrobial activities. J. Photochem. Photobiol. B 2017, 169, 110–123. [Google Scholar] [CrossRef]
- Janotti, A.; Segev, D.; Van de Walle, C.G. Effects of cation d states on the structural and electronic properties of III-nitride and II-oxide wide-band-gap semiconductors. Phys. Rev. B 2006, 74, 045202. [Google Scholar] [CrossRef]
- Zhu, Y.Z.; Chen, G.D.; Ye, H.; Walsh, A.; Moon, C.Y.; Wei, S.-H. Electronic structure and phase stability of MgO, ZnO, CdO, and related ternary alloys. Phys. Rev. B 2008, 77, 245209. [Google Scholar] [CrossRef]
- Verma, A.S. Elastic moduli and brittleness of diamondlike and zinc blende structured solids. Mater. Chem. Phys. 2012, 135, 106–111. [Google Scholar] [CrossRef]
- Chen, A.-B.; Sher, A.; Yost, W.T. Elastic Constants and Related Properties of Semiconductor Compounds and their Alloys. Semicond. Semimet. 1992, 37, 1–77. [Google Scholar]
- Kim, K.; Lambrecht, W.R.L.; Segall, B. Elastic constants and related properties of tetrahedrally bonded BN, AlN, GaN, and InN. Phys. Rev. B 1996, 53, 16310. [Google Scholar] [CrossRef]
- Sherwin, M.E.; Drummond, T.J. Predicted elastic constants and critical layer thicknesses for cubic phase AlN, GaN, and InN on β-SiC. J. Appl. Phys. 1991, 69, 8423. [Google Scholar] [CrossRef]
- Tsubouchi, K.; Mikoshiba, N. Zero-Temperature-Coefficient SAW Devices on A1N Epitaxial Films. IEEE Trans. Sonics Ultrason. 1985, SU-32, 634. [Google Scholar] [CrossRef]
- McNeil, L.E.; Grimsditch, M.; French, R.H. Vibrational Spectroscopy of Aluminum Nitride. J. Am. Ceram. Soc. 1993, 76, 1132. [Google Scholar] [CrossRef]
- Grimsditch, M.; Zouboulis, E.S.; Polian, A. Elastic constants of boron nitride. J. Appl. Phys. 1994, 76, 832. [Google Scholar] [CrossRef]
- Liu, G.; Maynard, J.D. Measuring elastic constants of arbitrarily shaped samples using resonant ultrasound spectroscopy. J. Acoust. Soc. Am. 2012, 131, 2068–2078. [Google Scholar] [CrossRef] [PubMed]
- Migliori, A.; Sarrao, J.L. Resonant Ultrasound Spectroscopy; Wiley: Hoboken, NJ, USA, 1997. [Google Scholar]
- Benedek, G.B.; Fritsch, K. Brillouin scattering in cubic crystals. Phys. Rev. 1966, 149, 647–662. [Google Scholar] [CrossRef]
- Yamaguchi, M.; Yagi, T.; Azuhata, T.; Sota, T.; Suzuki, K.; Chichibu, S.; Nakamura, S. Brillouin scattering study of gallium nitride: Elastic stiffness constants. J. Phys. Conden. Matter 1997, 9, 241–248. [Google Scholar] [CrossRef]
- Savastenko, V.A.; Sheleg, A.U. Study of the elastic properties of gallium nitride. Phys. Status Solidi A 1978, 48, K135. [Google Scholar] [CrossRef]
- Zhang, Z.; Chai, C.; Zhang, W.; Song, Y.; Kong, L.; Yang, Y. First-Principles Study on III-Nitride Polymorphs: AlN/GaN/InN in the Pmn21 Phase. Materials 2020, 13, 3212. [Google Scholar] [CrossRef]
- Tan, J.; Li, Y.; Ji, G. Elastic constants and bulk modulus of semiconductors: Performance of plane-wave pseudopotential and local-density-approximation density functional theory. Comp. Mater. Sci. 2012, 58, 243–247. [Google Scholar] [CrossRef]
- Wróbel, J.; Piechota, J. On the structural stability of ZnO phases. Sol. State Commun. 2008, 146, 324. [Google Scholar] [CrossRef]
- Wang, S.Q.; Ye, H.Q. First-principles study on elastic properties and phase stability of III–V compounds. Phys. Stat. Sol. B 2003, 240, 45–54. [Google Scholar] [CrossRef]
- Bourhis, E.L.; Patriarche, G. Solid-solution strengthening in ordered In x Ga1−xP alloys. Philos. Mag. Lett. 2004, 84, 373. [Google Scholar] [CrossRef]
- Korte, S.; Farrer, I.; Clegg, W.J. Elastic and plastic properties of InxGa1−xAs. J. Phys. D Appl. Phys. 2008, 41, 205406. [Google Scholar] [CrossRef]
- Goumri-Said, S.; Kanoun, M.B.; Merad, A.E.; Merad, G.; Aourag, H. Prediction of structural and thermodynamic properties of zinc-blende AlN: Molecular dynamics simulation. Chem. Phys. 2004, 302, 135–141. [Google Scholar] [CrossRef]
- Wu, Y.; Kang, J. Pressure induced wurtzite to zinc-blende phase transition in ZnO at finite temperature. J. Mater. Res. 2008, 23, 3347. [Google Scholar] [CrossRef]
- Romero, A.H.; Allan, D.C.; Amadon, B.; Antonius, G.; Applencourt, T.; Baguet, L.; Bieder, J.; Bottin, F.; Bouchet, J.; Bousquet, E.; et al. ABINIT: Overview and focus on selected capabilities. J. Chem. Phys. 2020, 152, 124102. [Google Scholar] [CrossRef]
- Borlido, P.; Marques, M.A.L.; Botti, S. Local Hybrid Density Functional for Interfaces. J. Chem. Theory Comput. 2018, 14, 939–947. [Google Scholar] [CrossRef] [PubMed]
- Onida, G.; Reining, L.; Rubio, A. Electronic excitations: Density functional versus many-body Green’s-function approaches. Rev. Mod. Phys. 2002, 74, 601. [Google Scholar] [CrossRef]
- Seidl, A.; Görling, A.; Vogl, P.; Majewski, J.A.; Levy, M. Generalized Kohn-Sham schemes and the band-gap problem. Phys. Rev. B 1996, 53, 3764–3774. [Google Scholar] [CrossRef] [PubMed]
- Becke, A.D. Perspective: Fifty years of density-functional theory in chemical physics. J. Chem. Phys. 2014, 140, 18A301. [Google Scholar] [CrossRef] [PubMed]
- Zhang, M.; Zhang, C.; Liang, D.; Zhang, R.; Lu, P.; Wang, S. Structural and elastic properties of zinc-blende and wurtzite InN 1−xBix alloys. J. Alloys Compd. 2017, 708, 323–327. [Google Scholar] [CrossRef]
- Brothers, E.N.; Izmaylov, A.F.; Normand, J.O.; Barone, V.; Scuseria, G.E. Accurate solid-state band gaps via screened hybrid electronic structure calculations. J. Chem. Phys. 2008, 129, 011102. [Google Scholar] [CrossRef]
- Heyd, J.; Scuseria, G.E.; Ernzerhof, M. Hybrid functionals based on a screened Coulomb potential. J. Chem. Phys. 2003, 118, 8207–8215. [Google Scholar] [CrossRef]
- Hohenberg, P.; Kohn, W. Inhomogeneous electron gas. Phys. Rev. 1964, 136, B864–B871. [Google Scholar] [CrossRef]
- Kohn, W.; Sham, L.J. Self-consistent equations including exchange and correlation effects. Phys. Rev. 1965, 140, A1133–A1138. [Google Scholar] [CrossRef]
- Scuseria, G.E.; Staroverov, V.N. Progress in the development of exchange-correlation functionals. In Theory and Applications of Computational Chemistry: The First Forty Years; Dykstra, C.E., Frenking, G., Kim, K.S., Scuseria, G.E., Eds.; Elsevier: Amsterdam, The Netherlands, 2005; pp. 669–724. [Google Scholar]
- Kitamura, M.; Harrison, W.A. Elastic properties of semiconductors using universal tight-binding parameters. Phys. Rev. B 1991, 44, 7941. [Google Scholar] [CrossRef] [PubMed]
- Kitamura, M.; Muramatsu, S.; Harrison, W.A. Elastic properties of semiconductors studied by extended Hückel theory. Phys. Rev. B 1992, 46, 1351. [Google Scholar] [CrossRef] [PubMed]
- Baranowski, J.M. Bond lengths, force constants and local impurity distortions in semiconductors. J. Phys. C 1984, 17, 6287. [Google Scholar] [CrossRef]
- Harrison, W.A. Electronic Structure and the Properties of Solids; Freeman: San Francisco, CA, USA, 1980. [Google Scholar]
- Chen, S. Calculation of the elastic properties of semiconductors. J. Phys. Condens. Matter 1994, 6, 8733. [Google Scholar]
- Talwar, D.N.; Suh, K.S.; Ting, C.S. Deep levels due to chalcogen defects in Si–Ge solid solutions. Philos. Mag. B 1986, 54, 93. [Google Scholar] [CrossRef]
- Talwar, D.N.; Suh, K.S.; Ting, C.S. Lattice distortion associated with isolated defects in semiconductors. Phil. Mag. B 1987, 56, 593–609. [Google Scholar] [CrossRef]
- Martin, R.M. Elastic Properties of ZnS Structure Semiconductors. Phys. Rev. B 1971, 1, 4005. [Google Scholar] [CrossRef]
- Mattila, T.; Zunger, A. Predicted bond length variation in wurtzite and zinc-blende InGaN and AlGaN alloys. J. Appl. Phys. 1999, 85, 160. [Google Scholar] [CrossRef][Green Version]
- Chichvarina, O.; Herng, T.S.; Phuah, K.C.; Xiao, W.; Bao, N.; Feng, Y.P.; Ding, J. Stable zinc-blende ZnO thin films: Formation and physical properties. J. Mater. Sci. 2015, 50, 28–33. [Google Scholar] [CrossRef]
- Yu, J.; Zhang, M.; Zhang, Z.; Wang, S.; Wu, Y. Hybrid-functional calculations of electronic structure and phase stability of MO (M = Zn, Cd, Be, Mg, Ca, Sr, Ba) and related ternary alloy MxZn1−xO. RSC Adv. 2019, 9, 8507. [Google Scholar] [CrossRef] [PubMed]
- Hall, G.G. XXVIII. The electronic structure of diamond. Philos. Mag. 1952, 43, 338. [Google Scholar] [CrossRef]
- Weaire, D.; Thorpe, M.F. Electronic properties of an amorphous solid. I. A simple tight-binding theory. Phys. Rev. B 1971, 4, 2508. [Google Scholar] [CrossRef]
- Voigt, W. Über die Beziehung zwischen den beiden Elastizitätskonstanten isotroper Körper. Ann. Phys. 1889, 38, 573–587. [Google Scholar] [CrossRef]
- Reuss, A.J.; Angew, Z. Calculation of the flow limits of mixed crystals on the basis of the plasticity of monocrystals. Math. Mech. 1929, 9, 49–58. [Google Scholar]
- Van Vechten, J.A. Quantum dielectric theory of electronegativity in covalent systems. II. Ionization potentials and inter band transition energies. Phys. Rev. 1969, 187, 1007. [Google Scholar] [CrossRef]
- Phillips, J.C. Ionicity of the Chemical Bond in Crystals. Rev. Mod. Phys. 1970, 42, 317–356. [Google Scholar] [CrossRef]
- Pauling, L. The Nature of the Chemical Bond; Cornell University Press: Ithaca, NY, USA, 1960; p. 91. [Google Scholar]
- Falter, C.; Ludwig, W.; Selmke, M.; Zierau, W. An alternative definition of ionicity on a microscale. Phys. Letts. A 1984, 105, 139–144. [Google Scholar] [CrossRef]
- Coulson, C.A. Recent developments in valence theory’, in Fifty years of valence theory. Pure Appl. Chem. 1970, 24, 257–287. [Google Scholar] [CrossRef]
- Christensen, N.E.; Gorczyca, I. Optical and Structural Properties of III–V Nitrides under Pressure. Phys. Rev. B 1994, 50, 4397–4415. [Google Scholar] [CrossRef] [PubMed]
- Christensen, N.E.; Satpathy, S.; Pawlowska, Z. Bonding and Ionicity in Semiconductors. Phys. Rev. B 1987, 36, 1032–1050. [Google Scholar] [CrossRef] [PubMed]
- García, A.; Cohen, M.L. First-Principles Ionicity Scales. I. Charge Asymmetry in the Solid State. Phys. Rev. B 1993, 47, 4215–4220. [Google Scholar] [CrossRef] [PubMed]
- Shimada, K.; Sota, T.; Suzuki, K. First-principles study on electronic and elastic properties of BN, AlN, and GaN. J. Appl. Phys. 1998, 84, 4951. [Google Scholar] [CrossRef]
- Frank, S. Portable Hardness Testing—Principles and Applications. e-J. Nondestruct. Test. 2002, 7. [Google Scholar]
- Neumann, H. Microhardness of tetrahedrally bonded elemental and binary semiconductors. Crys. Res. Technol. 1987, 22, 271–277. [Google Scholar] [CrossRef]
- Deura, M.; Kutsukake, K.; Ohno, Y.; Yonenaga, I.; Taniguchi, T. Mechanical Properties of Cubic-BN (111) Bulk Single Crystal Evaluated by Nanoindentation. Phys. Status Solidi B 2018, 255, 1700473. [Google Scholar] [CrossRef]
- Degheidy, A.R.; Elkenany, E.B. Electronic, optical, and mechanical properties of BN, AlN, and InN with zinc-blende structure under pressure. Chin. Phys. B 2017, 26, 086103. [Google Scholar] [CrossRef]
- Sarwan, M.; Singh, S. Structural, elastic and mechanical properties of group III-nitrides in zinc-blend structure. J. Alloys Compd. 2013, 550, 150–158. [Google Scholar] [CrossRef]
- Hernández, S.G.; García, V.C.; Navarrete, E.P.; Luna, E.L.; Vidal, M. Evaluation of nanoindentation characteristics of cubic InN epilayer grown by Molecular Beam Epitaxy. Thin Solid Film 2021, 736, 138910. [Google Scholar] [CrossRef]
- Li, K.; Yang, P.; Xue, D. Anisotropic hardness prediction of crystalline hard materials from the electronegativity. Acta Mater. 2012, 60, 35–42. [Google Scholar] [CrossRef]
- Ogata, S.; Li, J. Toughness scale from first principles. J. Appl. Phys. 2009, 106, 113534. [Google Scholar] [CrossRef]
- Zhang, Z.; Chai, C.; Song, Y.; Kong, L.; Yang, Y. A DFT study on physical properties of III–V compounds (AlN, GaN, AlP, and GaP) in the P3121 phase. Mater. Res. Express 2021, 8, 025908. [Google Scholar] [CrossRef]
- Mazhnik, E.; Oganov, A.R. A model of hardness and fracture toughness of solids. J. Appl. Phys. 2019, 126, 125109. [Google Scholar] [CrossRef]
- Dai, F.-Z.; Zhou, Y. A Modified Theoretical Model of Intrinsic Hardness of Crystalline Solids. Sci. Rep. 2016, 6, 33085. [Google Scholar] [CrossRef] [PubMed]
- Klinger, V.; Roesener, T.; Lorenz, G.; Petzold, M.; Dimroth, F. Determination of hardness and Young’s modulus for important III–V compound semiconductors. Thin Solid Films 2013, 548, 358–365. [Google Scholar] [CrossRef]
- Schön, C.F.; van Bergerem, S.; Mattes, C.; Yadav, A.; Grohe, M.; Kobbelt, L.; Wuttig, M. Classification of properties and their relation to chemical bonding: Essential steps toward the inverse design of functional materials. Sci. Adv. 2022, 8, eade0828. [Google Scholar] [CrossRef]
- Hu, Z.; Yu, J. Causal emergent principles and relations for mechanical properties of covalent and ionic crystals. AIP Adv. 2024, 14, 055023. [Google Scholar] [CrossRef]
- Kumar, V.; Shrivastava, A.K.; Jha, V. Bulk modulus and microhardness of tetrahedral semiconductors. J. Phys. Chem. Solids 2010, 71, 1513–1520. [Google Scholar] [CrossRef]
- Tian, Y.; Xu, B.; Zhao, Z. Microscopic theory of hardness and design of novel superhard crystals. Int. J. Refract. Met. Hard Mater. 2012, 33, 93–106. [Google Scholar] [CrossRef]
- Koh, D.; Yum, J.-H.; Banerjee, S.K.; Hudnall, T.W.; Bielawski, C.; Lanford, W.A.; French, B.L.; French, M.; Henry, P.; Li, H.; et al. Investigation of atomic layer deposited beryllium oxide material properties for high-k dielectric applications. J. Vac. Sci. Technol. B 2014, 32, 03D117. [Google Scholar] [CrossRef]
- Chen, X.-Q.; Niu, H.; Li, D.; Li, Y. Modeling hardness of polycrystalline materials and bulk metallic glasses. Intermetallics 2011, 19, 1275–1281. [Google Scholar] [CrossRef]
- Pugh, S.F. Relations between the elastic moduli and the plastic properties of polycrystalline pure metals. Philos. Mag. 1954, 45, 823–843. [Google Scholar] [CrossRef]
- Saghir, F.; Gohari, S.; Mozafari, F.A.; Moslemi, N.; Burvill, C.; Smith, A.; Lucas, S. Mechanical characterization of particulated FRP composite pipes: A comprehensive experimental study. Polym. Test. 2021, 93, 107001. [Google Scholar] [CrossRef]
- Talwar, D.N.; Sofranko, D.; Mooney, C.; Tallo, S. Elastic, structural, bonding, and defect properties of zinc-blende BN, AlN, GaN, InN and their alloys. Mat. Sci. Eng. B 2002, 90, 269–277. [Google Scholar] [CrossRef]




| Material | (Our) | Experimental | Percentage (%) Error | Others |
|---|---|---|---|---|
| BN | 1.58 | 1.57 | 0.64 | 1.56, 1.54–1.67 (a), 1.585–1.602 (d) |
| AlN | 1.88 | 1.89 (b) | 0.53 | 1.913–1.95 (c), 1.927–1.934 (e), 1.944 (f) |
| GaN | 1.91 | 1.94 (b) | 1.55 | 1.983–2.02 (c), 1.913–2.026 (d) |
| InN | 2.04 | 2.15 (b) | 5.11 | 2.21–2.26 (c), 2,22–2.295 (g) |
| BeO | 1.46 | 1.65 | 11.5 | 1.69 (j),1.65–1.70 (k), 1.40 (n) |
| MgO | 1.73 | 1.82 | 4.95 | 2.022 (h), 2.023, 1.75 (n) |
| ZnO | 1.75 | 1.99 | 12.0 | 2.00 (h), 2.059 (i), 2.07 (m), 1.98 (n) |
| CdO | 2.10 | 2.22 | 5.4 | 2.232 (h), 2.28 (l), 2.24 (m) |
| Material | BOM | fPh: Phillips (a) | fP: Pauling (b) | fCo: Coulson (c) | fG: Garcia (d) | fC: Christensen (e) | Ref. [78] Calc. |
|---|---|---|---|---|---|---|---|
| BN | 0.227 | 0.221 | 0.22 | 0.35 | 0.484 | 0.380 | |
| AlN | 0.393 | 0.449 | 0.43 | 0.36 | 0.754 | 0.775 | |
| GaN | 0.393 | 0.500 | 0.39 | 0.36 | 0.778 | 0.770 | |
| InN | 0.461 | 0.578 | 0.34 | 0.36 | 0.853 | 0.859 | |
| BeO | 0.377 | 0.602 (wz) | 0.63 (wz) | 0.64 (wz) | 0.61 (wz) | ||
| MgO | 0.530 | 0.841(rs) | 0.73 (rs) | 0.88 (rs) | |||
| ZnO | 0.520 | 0.61 (wz) | 0.59 (wz) | 0.65 (wz) | 0.69 (wz) | ||
| CdO | 0.488 | 0.785 (rs) | 0.55–0.85 (rs) |
| Material | κ | ζ | χ | ||||||||
|---|---|---|---|---|---|---|---|---|---|---|---|
| BN | 0.97 | 73.67 | 35.08 | 49.3, 59.19 (a) | 0.48 | 0.42 | 0.55, 0.10–0.28 (b) | 261.54 | 62.20 | 0.24,0.26–0.40 (b) | 1.0007 |
| AlN | 0.92 | 26.81 | 12.14 | 17.31,22.2 (a) | 0.45 | 0.44 | 0.57, 0.56–0.60 (b) | 121.10 | 24.80 | 0.21, 0.15 (b) | 1.0015 |
| GaN | 0.92 | 24.86 | 11.28 | 16.07,20.3 (a) | 0.45 | 0.44 | 0.57, 0.50–0.67 (b) | 112.45 | 23.58 | 0.21, 0.15 (b) | 1.0013 |
| InN | 0.89 | 16.28 | 7.144 | 10.28,13.76 (a) | 0.44 | 0.45 | 0.58, 0.70 (b) | 83.38 | 15.50 | 0.18, 0.09 (b) | 1.0019 |
| BeO | 0.93 | 95.57 | 43.63 | 62.07, 73.36 (a) | 0.46 | 0.43 | 0.57 | 310.97 | 72.12 | 0.23 | 1.0006 |
| MgO | 0.85 | 33.56 | 14.05 | 20.48,25.58 (a) | 0.42 | 0.46 | 0.59 | 136.70 | 26.77 | 0.20 | 1.0013 |
| ZnO | 0.85 | 32.20 | 13.59 | 19.76, 23.63 (a) | 0.42 | 0.46 | 0.59 | 127.88 | 26.71 | 0.21 | 1.0008 |
| CdO | 0.87 | 13.58 | 5.86 | 8.47, 10.07 (a) | 0.43 | 0.45 | 0.58 | 64.18 | 13.88 | 0.22 | 1.0007 |
| Materials | Others (a) | (b) | Others (a) | Others (a) | ||||||
|---|---|---|---|---|---|---|---|---|---|---|
| BN | 1305 | 1054 | 251 | 4.46 | 0.866 | 0.858 | 0.482 | 0.36 | 1.97 | 1.87–1.93, 2.00–2.47 |
| AlN | 907 | 662 | 245 | 4.68 | 1.478 | 1.551 | 1.458 | 1.33 | 2.70 | 2.52–2.56, 2.36–2.75, 3.20 |
| GaN | 743 | 552 | 191 | 5.35 | 1.325 | 1.246 | 1.458 | 1.43 | 2.66 | 2.59–2.68, 2.50, 2.43–3.20 |
| InN | 556 | 467 | 89 | 5.50 | 2.015 | 1.983 | 1.812 | 1.76 | 2.42 | 2.73, 3.10 |
| BeO | 1074 | 721 | 353 | 3.10 | 1.028 | - | 0.375 | 0.55 | 1.79 | 1.12–1.83 |
| MgO | 709 | 430 | 279 | 3.16 | 1.155 | - | 1.136 | - | 1.91 | 1.77 |
| ZnO | 558 | 403 | 155 | 5.32 | 0.948 | - | 1.092 | 1.15 | 2.18 | 1.95–2.09 |
| CdO | 411 | 335 | 76 | 7.20 | 0.546 | - | 0.943 | - | 1.98 | - |
| Mechanical Properties | |||||||
|---|---|---|---|---|---|---|---|
| Material | G (Our, Others) | B/G (Our, Others) | ν (Our, Others) | Y (Our) | Y (Others) | H (Our) | H (Others) |
| BN | 43.02, 40.34 (a) | 1.71 | 0.25, 0.13–0.21 (a) | 108.02 | 99.8–107.0 (d), 94.06 (e),90.6 (f) | 7.01 | 4.8,7.41 (j), 6.2–7.14 (j) |
| AlN | 15.02, 12.21 (a) | 1.79, 1.54 (b) | 0.26, 0.24 (a) | 37.96 | 30–35 (g), 30.19 (e), 32.3 (f) | 2.36 | 2.07 (j), 1.39–1.8 (j) |
| GaN | 13.95 | 1.783, 1.60 (b) | 0.26, 0.26 (a) | 35.25 | 26–29, 28.5 (g),30.2 | 2.20 | 1.41–1.51 (j), 1.74–1.94 (k) |
| InN | 8.88 | 1.833 | 0.27, 0.31 (a) | 22.55 | 14.9 (i), 20–25 (h), 23.107 (f) | 1.37 | 1.23 (k), 1.25 (f), 0.5–0.88 (j) |
| BeO | 53.89 | 1.773 | 0.26 | 136.1 | 37.2 (j) | 8.53 | |
| MgO | 17.61 | 1.91, 1.42–1.54 (c) | 0.28 | 44.96 | 2.62 | 2.48 (g) | |
| ZnO | 17.006 | 1.894 | 0.28 | 43.38 | 11.1 (k) | 2.55 | |
| CdO | 7.307 | 1.858 | 0.27 | 18.59 | 1.11 | ||
Disclaimer/Publisher’s Note: The statements, opinions and data contained in all publications are solely those of the individual author(s) and contributor(s) and not of MDPI and/or the editor(s). MDPI and/or the editor(s) disclaim responsibility for any injury to people or property resulting from any ideas, methods, instructions or products referred to in the content. |
© 2025 by the authors. Licensee MDPI, Basel, Switzerland. This article is an open access article distributed under the terms and conditions of the Creative Commons Attribution (CC BY) license (https://creativecommons.org/licenses/by/4.0/).
Share and Cite
Talwar, D.N.; Becla, P. Microhardness, Young’s and Shear Modulus in Tetrahedrally Bonded Novel II-Oxides and III-Nitrides. Materials 2025, 18, 494. https://doi.org/10.3390/ma18030494
Talwar DN, Becla P. Microhardness, Young’s and Shear Modulus in Tetrahedrally Bonded Novel II-Oxides and III-Nitrides. Materials. 2025; 18(3):494. https://doi.org/10.3390/ma18030494
Chicago/Turabian StyleTalwar, Devki N., and Piotr Becla. 2025. "Microhardness, Young’s and Shear Modulus in Tetrahedrally Bonded Novel II-Oxides and III-Nitrides" Materials 18, no. 3: 494. https://doi.org/10.3390/ma18030494
APA StyleTalwar, D. N., & Becla, P. (2025). Microhardness, Young’s and Shear Modulus in Tetrahedrally Bonded Novel II-Oxides and III-Nitrides. Materials, 18(3), 494. https://doi.org/10.3390/ma18030494

