Quaternary Ammonium Dimethacrylates as an Additive in Dental Composite Resins: A Review of Their Antimicrobial, Mechanical, and Physicochemical Properties
Abstract
1. Introduction
2. Classification of Quaternary Ammonium Compounds
3. Quaternary Ammonium Dimethacrylate Monomers
3.1. Antimicrobial Activity
3.1.1. Mechanism of Antimicrobial Action
3.1.2. Antimicrobial Properties
3.2. Cytotoxic Effect
3.3. Mechanical and Physicochemical Properties
4. Discussion
5. Conclusions
Supplementary Materials
Author Contributions
Funding
Data Availability Statement
Conflicts of Interest
References
- Karadag, M.; Dolekcekic, E.; Erdem, M.; Özcan, M. Effect of Stearyl Methacrylate Comonomer on the Mechanical and Physical Properties of Dimethacrylate-Based Dental Resins. Materials 2024, 17, 4136. [Google Scholar] [CrossRef]
- Liu, Z.; Jia, T.; Yang, Y.; Yue, X.; Liu, Y.; Zhang, X.; Chen, Y.; Ma, S.; Valenzuela, C.; Wang, L.; et al. Near–Infrared Light–Cured Dental Restoration Materials with Upconversion Nanoparticles. Chem. Eng. J. 2024, 488, 150710. [Google Scholar] [CrossRef]
- Cho, K.; Rajan, G.; Farrar, P.; Prentice, L.; Prusty, B.G. Dental Resin Composites: A Review on Materials to Product Realizations. Compos. Part B Eng. 2022, 230, 109495. [Google Scholar] [CrossRef]
- Dursun, E.; Fron-Chabouis, H.; Attal, J.-P.; Raskin, A. Bisphenol A Release: Survey of the Composition of Dental Composite Resins. Open Dent. J. 2016, 10, 446–453. [Google Scholar] [CrossRef]
- Pawłowska, E.; Loba, K.; Błasiak, J.; Szczepanska, J. Properties and Risk of the Use of Bisphenol A−Glycidyl Methacrylate and Urethane Dimethacrylate–Basic Monomers of Dental Restorative Materials. Dent. Med. Probl. 2009, 46, 477–485. [Google Scholar]
- Asmussen, E.; Peutzfeldt, A. Influence of UEDMA BisGMA and TEGDMA on Selected Mechanical Properties of Experimental Resin Composites. Dent. Mater. Off. Publ. Acad. Dent. Mater. 1998, 14, 51–56. [Google Scholar] [CrossRef] [PubMed]
- Peutzfeldt, A. Resin Composites in Dentistry: The Monomer Systems. Eur. J. Oral Sci. 1997, 105, 97–116. [Google Scholar] [CrossRef] [PubMed]
- Gonçalves, F.; Pfeifer, C.C.S.; Stansbury, J.W.; Newman, S.M.; Braga, R.R. Influence of Matrix Composition on Polymerization Stress Development of Experimental Composites. Dent. Mater. Off. Publ. Acad. Dent. Mater. 2010, 26, 697–703. [Google Scholar] [CrossRef] [PubMed]
- Dulik, D.; Bernier, R.; Brauer, G.M. Effect of Diluent Monomer on the Physical Properties of Bis-GMA-Based Composites. J. Dent. Res. 1981, 60, 983–989. [Google Scholar] [CrossRef]
- Aminoroaya, A.; Neisiany, R.E.; Khorasani, S.N.; Panahi, P.; Das, O.; Madry, H.; Cucchiarini, M.; Ramakrishna, S. A Review of Dental Composites: Challenges, Chemistry Aspects, Filler Influences, and Future Insights. Compos. Part B Eng. 2021, 216, 108852. [Google Scholar] [CrossRef]
- Hamama, H. Recent Advances in Posterior Resin Composite Restorations. Appl. Nanocomposite Mater. Dent. 2019, 319–336. [Google Scholar] [CrossRef]
- Schricker, S.R. 9-Composite Resin Polymerization and Relevant Parameters. In Orthodontic Applications of Biomaterials; Eliades, T., Brantley, W.A., Eds.; Woodhead Publishing: Cambridge, UK, 2017; pp. 153–170. ISBN 978-0-08-100383-1. [Google Scholar]
- Abdulsamee, N. Shrinkage of Dental Composite Resin: Contemporary Understanding Its Enigmas and How to Solve? A Review. EC Dent. Sci. 2020, 19, 3–17. [Google Scholar]
- Padovani, G.C.; Fùcio, S.B.P.; Ambrosano, G.M.B.; Correr-Sobrinho, L.; Puppin-Rontani, R.M. In Situ Bacterial Accumulation on Dental Restorative Materials. CLSM/COMSTAT Analysis. Am. J. Dent. 2015, 28, 3–8. [Google Scholar] [PubMed]
- Reis, A.F.; Giannini, M.; Lovadino, J.R.; dos Santos Dias, C.T. The Effect of Six Polishing Systems on the Surface Roughness of Two Packable Resin-Based Composites. Am. J. Dent. 2002, 15, 193–197. [Google Scholar] [PubMed]
- Chisini, L.A.; Collares, K.; Cademartori, M.G.; de Oliveira, L.J.C.; Conde, M.C.M.; Demarco, F.F.; Corrêa, M.B. Restorations in Primary Teeth: A Systematic Review on Survival and Reasons for Failures. Int. J. Paediatr. Dent. 2018, 28, 123–139. [Google Scholar] [CrossRef]
- Bernardo, M.; Luis, H.; Martin, M.D.; Leroux, B.G.; Rue, T.; Leitão, J.; DeRouen, T.A. Survival and Reasons for Failure of Amalgam versus Composite Posterior Restorations Placed in a Randomized Clinical Trial. J. Am. Dent. Assoc. 1939 2007, 138, 775–783. [Google Scholar] [CrossRef]
- Alhareky, M.; Tavares, M. Amalgam vs Composite Restoration, Survival, and Secondary Caries. J. Evid.-Based Dent. Pract. 2016, 16, 107–109. [Google Scholar] [CrossRef]
- Pirmoradian, M.; Hooshmand, T. 15-Remineralization and Antibacterial Capabilities of Resin-Based Dental Nanocomposites. In Applications of Nanocomposite Materials in Dentistry; Asiri, A.M., Inamuddin Mohammad, A., Eds.; Woodhead Publishing Series in Biomaterials; Woodhead Publishing: Cambridge, UK, 2019; pp. 237–269. ISBN 978-0-12-813742-0. [Google Scholar]
- Stencel, R.; Kasperski, J.; Pakieła, W.; Mertas, A.; Bobela, E.; Barszczewska-Rybarek, I.; Chladek, G. Properties of Experimental Dental Composites Containing Antibacterial Silver-Releasing Filler. Materials 2018, 11, 1031. [Google Scholar] [CrossRef]
- Mallineni, S.K.; Sakhamuri, S.; Kotha, S.L.; AlAsmari, A.R.G.M.; AlJefri, G.H.; Almotawah, F.N.; Mallineni, S.; Sajja, R. Silver Nanoparticles in Dental Applications: A Descriptive Review. Bioengineering 2023, 10, 327. [Google Scholar] [CrossRef]
- Mirhashemi, A.H.; Bahador, A.; Kassaee, M.Z.; Daryakenari, G.; Ahmad-Akhoundi, M.S.; Sodagar, A. Antimicrobial Effect of Nano-Zinc Oxide and Nano-Chitosan Particles in Dental Composite Used in Orthodontics. J. Med. Bacteriol. 2013, 2, 1–10. [Google Scholar]
- Song, W.; Ge, S. Application of Antimicrobial Nanoparticles in Dentistry. Molecules 2019, 24, 1033. [Google Scholar] [CrossRef]
- Bapat, R.A.; Joshi, C.P.; Bapat, P.; Chaubal, T.V.; Pandurangappa, R.; Jnanendrappa, N.; Gorain, B.; Khurana, S.; Kesharwani, P. The Use of Nanoparticles as Biomaterials in Dentistry. Drug Discov. Today 2019, 24, 85–98. [Google Scholar] [CrossRef]
- Fathi, M.; Hosseinali, Z.; Molaei, T.; Hekmatfar, S. The Effect of Silver and Calcium Fluoride Nanoparticles on Antibacterial Activity of Composite Resin against Streptococcus Mutans: An in Vitro Study. Dent. Res. J. 2024, 21, 58. [Google Scholar] [CrossRef]
- Chladek, G.; Barszczewska-Rybarek, I.; Chrószcz-Porębska, M.; Mertas, A. The Effect of Quaternary Ammonium Polyethylenimine Nanoparticles on Bacterial Adherence, Cytotoxicity, and Physical and Mechanical Properties of Experimental Dental Composites. Sci. Rep. 2023, 13, 17497. [Google Scholar] [CrossRef]
- Stein, K.; Farmer, J.; Singhal, S.; Marra, F.; Sutherland, S.; Quiñonez, C. The Use and Misuse of Antibiotics in Dentistry: A Scoping Review. J. Am. Dent. Assoc. 1939 2018, 149, 869–884.e5. [Google Scholar] [CrossRef] [PubMed]
- Vardanyan, R.; Hruby, V. Antibiotics. In Synthesis of Best-Seller Drugs; Elsevier: Amsterdam, The Netherlands, 2016; pp. 573–643. ISBN 978-0-12-411492-0. [Google Scholar]
- Malekhoseini, Z.; Rezvani, M.B.; Niakan, M.; Atai, M.; Bassir, M.M.; Alizade, H.S.; Siabani, S. Effect of Zinc Oxide Nanoparticles on Physical and Antimicrobial Properties of Resin-Modified Glass Ionomer Cement. Dent. Res. J. 2021, 18, 73. [Google Scholar] [CrossRef] [PubMed]
- Yu, Y.; Xia, F.; Liu, R.; Yan, Y.; Yin, L. Effect of Calcium Supplementation and TMEM16A Inhibition on Endoplasmic Reticulum Stress Induced by Dental Fluorosis in Mice. Discov. Med. 2024, 36, 753–764. [Google Scholar] [CrossRef] [PubMed]
- Ma, X.; Lin, X.; Zhong, T.; Xie, F. Evaluation of the Efficacy of Casein Phosphopeptide-Amorphous Calcium Phosphate on Remineralization of White Spot Lesions in Vitro and Clinical Research: A Systematic Review and Meta-Analysis. BMC Oral Health 2019, 19, 295. [Google Scholar] [CrossRef]
- Kianfar, E.; Mahmoud, Z. Effect and Investigating of Graphene Nanoparticles on Mechanical, Physical Properties of Polylactic Acid Polymer. Case Stud. Chem. Environ. Eng. 2024, 9, 100612. [Google Scholar] [CrossRef]
- Schwartz, A.B.; Larson, E.L. Antibiotic Prophylaxis and Postoperative Complications after Tooth Extraction and Implant Placement: A Review of the Literature. J. Dent. 2007, 35, 881–888. [Google Scholar] [CrossRef]
- Aslam, B.; Wang, W.; Arshad, M.I.; Khurshid, M.; Muzammil, S.; Rasool, M.H.; Nisar, M.A.; Alvi, R.F.; Aslam, M.A.; Qamar, M.U.; et al. Antibiotic Resistance: A Rundown of a Global Crisis. Infect. Drug Resist. 2018, 11, 1645–1658. [Google Scholar] [CrossRef]
- Ventola, C.L. The Antibiotic Resistance Crisis: Part 1: Causes and Threats. Pharm. Ther. 2015, 40, 277–283. [Google Scholar]
- Carmona-Ribeiro, A.M.; Araújo, P.M. Antimicrobial Polymer−Based Assemblies: A Review. Int. J. Mol. Sci. 2021, 22, 5424. [Google Scholar] [CrossRef]
- Pandit, G.; Chowdhury, N.; Abdul Mohid, S.; Bidkar, A.P.; Bhunia, A.; Chatterjee, S. Effect of Secondary Structure and Side Chain Length of Hydrophobic Amino Acid Residues on the Antimicrobial Activity and Toxicity of 14-Residue-Long de Novo AMPs. ChemMedChem 2021, 16, 355–367. [Google Scholar] [CrossRef] [PubMed]
- Cao, J.; Ma, Q.; Shi, J.; Wang, X.; Ye, D.; Liang, J.; Zou, J. Cariogenic Microbiota and Emerging Antibacterial Materials to Combat Dental Caries: A Literature Review. Pathogens 2025, 14, 111. [Google Scholar] [CrossRef]
- Arnold, W.A.; Blum, A.; Branyan, J.; Bruton, T.A.; Carignan, C.C.; Cortopassi, G.; Datta, S.; DeWitt, J.; Doherty, A.-C.; Halden, R.U.; et al. Quaternary Ammonium Compounds: A Chemical Class of Emerging Concern. Environ. Sci. Technol. 2023, 57, 7645–7665. [Google Scholar] [CrossRef] [PubMed]
- Quaternary Ammonium Compounds in Cleaning Products: Health & Safety Information for Health Professionals. Available online: https://www.mountsinai.org/files/MSHealth/Assets/HS/Patient-Care/Service-Areas/Occupational-Medicine/QACsInfoforPhysicians_18.pdf (accessed on 12 December 2024).
- An, J.; Gao, J.; Zhao, J.; Cui, Y.; Zeng, L.; Xu, H.; Wang, Q. Quaternary Ammonium Compounds Inhibited Phosphorus Removal Performance and Aggravated the Spread of Resistance Genes in Enhanced Biological Phosphorus Removal Systems. Chem. Eng. J. 2024, 502, 157945. [Google Scholar] [CrossRef]
- US EPA, O. About List N: Disinfectants for Coronavirus (COVID-19). Available online: https://www.epa.gov/coronavirus-and-disinfectants/about-list-n-disinfectants-coronavirus-covid-19 (accessed on 3 April 2025).
- Jabar, S.; Kumar, S.; Neena, A. Effectiveness of Various Disinfectant Protocols on Orthodontic Pliers—An In-Vitro Study. Int. J. Med. Dent. Sci. 2020, 9, 1835–1840. [Google Scholar] [CrossRef] [PubMed]
- Gilbert, P.; Moore, L.E. Cationic Antiseptics: Diversity of Action under a Common Epithet. J. Appl. Microbiol. 2005, 99, 703–715. [Google Scholar] [CrossRef] [PubMed]
- Makvandi, P.; Jamaledin, R.; Jabbari, M.; Nikfarjam, N.; Borzacchiello, A. Antibacterial Quaternary Ammonium Compounds in Dental Materials: A Systematic Review. Dent. Mater. Off. Publ. Acad. Dent. Mater. 2018, 34, 851–867. [Google Scholar] [CrossRef]
- Kihara, T.; Ikawa, T.; Shigeta, Y.; Shigemoto, S.; Ihara, K.; Sasaki, K.; Hirai, K.; Ogawa, T. Considerations for the Selection of Interim Restoration Materials Using Wear Test Results. J. Prosthodont. Res. 2022, 66, 176–183. [Google Scholar] [CrossRef]
- Nikolaidis, A.K.; Koulaouzidou, E.A.; Gogos, C.; Achilias, D.S. Synthesis of Novel Dental Nanocomposite Resins by Incorporating Polymerizable, Quaternary Ammonium Silane-Modified Silica Nanoparticles. Polymers 2021, 13, 1682. [Google Scholar] [CrossRef] [PubMed]
- Chladek, G. Composite and Polymeric Materials for Dentistry: Enhancing Antimicrobial and Mechanical Properties. Materials 2023, 16, 1432. [Google Scholar] [CrossRef] [PubMed]
- Chrószcz, M.W.; Barszczewska-Rybarek, I.M.; Kazek-Kęsik, A. Novel Antibacterial Copolymers Based on Quaternary Ammonium Urethane-Dimethacrylate Analogues and Triethylene Glycol Dimethacrylate. Int. J. Mol. Sci. 2022, 23, 4954. [Google Scholar] [CrossRef] [PubMed]
- Drejka, P.; Chrószcz-Porębska, M.; Kazek-Kęsik, A.; Chladek, G.; Barszczewska-Rybarek, I. Chemical Modification of Dental Dimethacrylate Copolymer with Tetramethylxylylene Diisocyanate-Based Quaternary Ammonium Urethane-Dimethacrylates—Physicochemical, Mechanical, and Antibacterial Properties. Materials 2024, 17, 298. [Google Scholar] [CrossRef]
- Chrószcz-Porębska, M.W.; Barszczewska-Rybarek, I.M.; Kazek-Kęsik, A.; Ślęzak-Prochazka, I. Cytotoxicity and Microbiological Properties of Copolymers Comprising Quaternary Ammonium Urethane-Dimethacrylates with Bisphenol A Glycerolate Dimethacrylate and Triethylene Glycol Dimethacrylate. Materials 2023, 16, 3855. [Google Scholar] [CrossRef]
- Pantea, M.; Totan, A.R.; Imre, M.; Petre, A.E.; Țâncu, A.M.C.; Tudos, C.; Farcașiu, A.T.; Butucescu, M.; Spînu, T.C. Biochemical Interaction between Materials Used for Interim Prosthetic Restorations and Saliva. Materials 2021, 15, 226. [Google Scholar] [CrossRef]
- EU Moves to Ban Mercury Uses in Dental Amalgams by 2025. Available online: https://ecomundo.eu/en/blog/eu-ban-mercury-dental-amalgams-2025 (accessed on 8 March 2025).
- van Eck, N.J.; Waltman, L. VOSviewer Manual; Centre for Science and Technology Studies of Leiden University: Leiden, The Netherlands, 2019. [Google Scholar]
- Drejka, P.; Kula, P.; Barszczewska-Rybarek, I. Novel Quaternary Ammonium Urethane-Dimethacrylates for Copolymers with Low Water Sorption and Solubility. Molecules 2025, 30, 769. [Google Scholar] [CrossRef]
- Chrószcz-Porębska, M.; Kazek-Kęsik, A.; Chladek, G.; Barszczewska-Rybarek, I. Novel Mechanically Strong and Antibacterial Dimethacrylate Copolymers Based on Quaternary Ammonium Urethane-Dimethacrylate Analogues. Dent. Mater. 2023, 39, 659–664. [Google Scholar] [CrossRef]
- Chrószcz-Porębska, M.W.; Barszczewska-Rybarek, I.M.; Chladek, G. Physicochemical Properties of Novel Copolymers of Quaternary Ammonium UDMA Analogues, Bis-GMA, and TEGDMA. Int. J. Mol. Sci. 2023, 24, 1400. [Google Scholar] [CrossRef]
- Chrószcz-Porębska, M.W.; Barszczewska-Rybarek, I.M.; Chladek, G. Characterization of the Mechanical Properties, Water Sorption, and Solubility of Antibacterial Copolymers of Quaternary Ammonium Urethane-Dimethacrylates and Triethylene Glycol Dimethacrylate. Materials 2022, 15, 5530. [Google Scholar] [CrossRef]
- Zhang, L.; Ma, Z.; Wang, R.; Zuo, W.; Zhu, M. Bis-Quaternary Ammonium Betulin-Based Dimethacrylate: Synthesis, Characterization, and Application in Dental Restorative Resins. Mater. Adv. 2023, 4, 2127–2137. [Google Scholar] [CrossRef]
- Fanfoni, L.; Marsich, E.; Turco, G.; Breschi, L.; Cadenaro, M. Development of Di-Methacrylate Quaternary Ammonium Monomers with Antibacterial Activity. Acta Biomater. 2021, 129, 138–147. [Google Scholar] [CrossRef]
- Li, S.; Yu, X.; Liu, F.; Deng, F.; He, J. Synthesis of Antibacterial Dimethacrylate Derived from Niacin and Its Application in Preparing Antibacterial Dental Resin System. J. Mech. Behav. Biomed. Mater. 2020, 102, 103521. [Google Scholar] [CrossRef] [PubMed]
- Manouchehri, F.; Sadeghi, B.; Najafi, F.; Mosslemin, M.H.; Niakan, M. Synthesis and Characterization of Novel Polymerizable Bis-Quaternary Ammonium Dimethacrylate Monomers with Antibacterial Activity as an Efficient Adhesive System for Dental Restoration. Polym. Bull. 2019, 76, 1295–1315. [Google Scholar] [CrossRef]
- Wang, Y.; Costin, S.; Zhang, J.; Liao, S.; Wen, Z.T.; Lallier, T.; Yu, Q.; Xu, X. Synthesis, Antibacterial Activity, and Biocompatibility of New Antibacterial Dental Monomers. Am. J. Dent. 2018, 31, 17B–23B. [Google Scholar]
- Huang, Q.; Huang, S.; Liang, X.; Qin, W.; Liu, F.; Lin, Z.; He, J. The Antibacterial, Cytotoxic, and Flexural Properties of a Composite Resin Containing a Quaternary Ammonium Monomer. J. Prosthet. Dent. 2018, 120, 609–616. [Google Scholar] [CrossRef]
- Bienek, D.R.; Frukhtbeyn, S.A.; Giuseppetti, A.A.; Okeke, U.C.; Skrtic, D. Antimicrobial Monomers for Polymeric Dental Restoratives: Cytotoxicity and Physicochemical Properties. J. Funct. Biomater. 2018, 9, 20. [Google Scholar] [CrossRef]
- Cheng, L.; Zhang, K.; Zhou, C.-C.; Weir, M.D.; Zhou, X.-D.; Xu, H.H.K. One-Year Water-Ageing of Calcium Phosphate Composite Containing Nano-Silver and Quaternary Ammonium to Inhibit Biofilms. Int. J. Oral Sci. 2016, 8, 172–181. [Google Scholar] [CrossRef] [PubMed]
- Antonucci, J.M.; Zeiger, D.N.; Tang, K.; Lin-Gibson, S.; Fowler, B.O.; Lin, N.J. Synthesis and Characterization of Dimethacrylates Containing Quaternary Ammonium Functionalities for Dental Applications. Dent. Mater. 2012, 28, 219–228. [Google Scholar] [CrossRef] [PubMed]
- Huang, Q.; He, J.; Lin, Z.; Liu, F.; Lassila, L.V.J.; Vallittu, P.K. Physical and Chemical Properties of an Antimicrobial Bis-GMA Free Dental Resin with Quaternary Ammonium Dimethacrylate Monomer. J. Mech. Behav. Biomed. Mater. 2016, 56, 68–76. [Google Scholar] [CrossRef]
- Makvandi, P.; Ghaemy, M.; Mohseni, M. Synthesis and Characterization of Photo-Curable Bis-Quaternary Ammonium Dimethacrylate with Antimicrobial Activity for Dental Restoration Materials. Eur. Polym. J. 2016, 74, 81–90. [Google Scholar] [CrossRef]
- Huang, L.; Yu, F.; Sun, X.; Dong, Y.; Lin, P.; Yu, H.; Xiao, Y.; Chai, Z.; Xing, X.; Chen, J. Antibacterial Activity of a Modified Unfilled Resin Containing a Novel Polymerizable Quaternary Ammonium Salt MAE-HB. Sci. Rep. 2016, 6, 33858. [Google Scholar] [CrossRef]
- Sommers, K.J.; Bentley, B.S.; Carden, R.G.; Post, S.J.; Allen, R.A.; Kontos, R.C.; Black, J.W.; Wuest, W.M.; Minbiole, K.P.C. Metallocene QACs: The Incorporation of Ferrocene Moieties into monoQAC and bisQAC Structures. ChemMedChem 2021, 16, 467–471. [Google Scholar] [CrossRef]
- Macias-Paz, I.U.; Pérez-Hernández, S.; Tavera-Tapia, A.; Luna-Arias, J.P.; Guerra-Cárdenas, J.E.; Reyna-Beltrán, E. Candida albicans the main opportunistic pathogenic fungus in humans. Rev. Argent. Microbiol. 2023, 55, 189–198. [Google Scholar] [CrossRef]
- Patel, M. Oral Cavity and Candida Albicans: Colonisation to the Development of Infection. Pathogens 2022, 11, 335. [Google Scholar] [CrossRef] [PubMed]
- ISO 10993-5; Biological Evaluation of Medical Devices-Part 5: Tests for In Vitro Cytotoxicity. International Organization for Standardization: Geneva, Switzerland, 2009.
- ISO 4049:2019; Dentistry—Polymer-Based Restorative Materials. International Organization for Standardization: Geneva, Switzerland, 2019.
- Barszczewska-Rybarek, I.M. A Guide through the Dental Dimethacrylate Polymer Network Structural Characterization and Interpretation of Physico-Mechanical Properties. Materials 2019, 12, 4057. [Google Scholar] [CrossRef] [PubMed]
- Zhao, H.; Cai, S.; Hua, R.; Li, C.; Xia, C.; Cui, B.; Shao, H.; Bu, N.; Yuan, Y. In Situ Polymerization of Long Alkyl Chain Functional Groups Enhances the Oil–Water Separation Performance of Porous Organic Polymers. Molecules 2025, 30, 1925. [Google Scholar] [CrossRef] [PubMed]
- Sun, Q.; Zhang, L.; Bai, R.; Zhuang, Z.; Zhang, Y.; Yu, T.; Peng, L.; Xin, T.; Chen, S.; Han, B. Recent Progress in Antimicrobial Strategies for Resin-Based Restoratives. Polymers 2021, 13, 1590. [Google Scholar] [CrossRef]
- Wang, W.; Wu, F.; Zhang, G.; Zhu, S.; Ban, J.; Wang, L. Preparation of a Highly Crosslinked Biosafe Dental Nanocomposite Resin with a Tetrafunctional Methacrylate Quaternary Ammonium Salt Monomer. RSC Adv. 2019, 9, 41616–41627. [Google Scholar] [CrossRef]
- Ramić, A.; Skočibušić, M.; Odžak, R.; Čipak Gašparović, A.; Milković, L.; Mikelić, A.; Sović, K.; Primožič, I.; Hrenar, T. Antimicrobial Activity of Quasi-Enantiomeric Cinchona Alkaloid Derivatives and Prediction Model Developed by Machine Learning. Antibiotics 2021, 10, 659. [Google Scholar] [CrossRef] [PubMed]





| Monomer | Structure | Properties Analyzed | Ref. |
|---|---|---|---|
| QAn+IPDI (n = 8 or 10) m = 5 or 7 | ![]() | Water sorption (WS); Water solubility (SL). | [55] |
| QAn+CHMDI (n = 8 or 10) m = 5 or 7 | ![]() | ||
| QAn+MDI (n = 8 or 10) m = 5 or 7 | ![]() | ||
| QAn+TMXDI (n = 10 or 12) m = 9 or 11 | ![]() | Degree of conversion (DC); Hardness (HB); Flexural modulus (E); Flexural strength (FS); Density (dp); Polymerization shrinkage (Se); Glass transition temperature (Tg); Minimum inhibitory concentration (MIC); Minimum bactericidal concentration (MBC). | [50] |
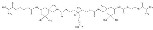
| QAUDMA-m (m = n + 1, n = 7, 9, 11, 13, 15, 17) | ![]() | Degree of conversion (DC); Flexural strength (FS); Flexural modulus (E); Hardness (HB); Bacterial adhesion (CFU); Inhibition zone diameter (IZD); Cytotoxicity; Fungal adhesion (CFU); Glass transition temperature (Tg); Experimental and theoretical polymerization shrinkage (Se, St); Water contact angle (WCA); Water sorption (WS); Water solubility (SL). | [49,51,56,57,58] |
| Bis-QADM-Bet EBet, R1 = -CH2- BBet, R2 = -C3H6- HBet, R3 = -C5H10- | ![]() | Degree of conversion (DC); Flexural strength (FS); Flexural modulus (E); Compressive strength; Cell viability; Antibacterial activity. | [59] |
| DDM (X− = Br−) DDM-F (X− = F−) | ![]() | Minimum inhibitory concentration (MIC); Minimum bactericidal concentration (MBC); Cytotoxicity. | [60] |
| DDMP (X− = Br−) DDMP-F (X− = F−) | ![]() | ||
| DDE | ![]() | ||
| DDMAPMA | ![]() | ||
| DDPyMMA | ![]() | ||
| XyDM | ![]() | ||
| BPDE | ![]() | ||
| QANMA (n = 5) | ![]() | Double bond conversion (DC); Polymerization shrinkage (volumetric, Se); Water sorption (WS); Water solubility (SL); Flexural strength (FS); Flexural modulus (E); Antibacterial activity. | [61] |
| DMBB | ![]() | Degree of conversion (DC); Thermal stability; Bond strength (BS); Antibacterial activity. | [62] |
| DMBH | ![]() | ||
| DPDB (n = 8) | ![]() | Cytotoxicity; Antibacterial activity. | [63] |
| DPHB (n = 14) | ![]() | ||
| DPNB (n = 14) | ![]() | ||
| UDMQA-12 (n = 9) | ![]() | Antibacterial activity; Cytotoxicity; Flexural strength (FS); Flexural modulus (E). | [64] |
| IDMA-1 | ![]() | Biocompatibility; Contact angle (CA); Degree of conversion (DC); Biaxial flexural strength (BFS); Flexural strength (FS); Flexural modulus (E); Live/dead bacteria. | [65] |
| IDMA-2 | ![]() | [65,66,67] | |
| IMQ-16 (n = 15) | ![]() | Degree of conversion (DC); Water sorption (WS); Water solubility (SL); Flexural strength (FS); Flexural modulus (E); Direct contact test (DCT). | [68] |
| QABGMA | ![]() | Degree of conversion (DC); Water sorption (WS); Water solubility (SL); Antimicrobial activity; Cytotoxicity. | [69] |
| MAE-HB | ![]() | Antibacterial activity. | [70] |
| Copolymer | Composite | Mechanical Properties | Physicochemical Properties | Ref. | |||||||||
|---|---|---|---|---|---|---|---|---|---|---|---|---|---|
| Hardness, [MPa] | E, [MPa] | FS, [MPa] | CS, [MPa] | WS, [μg/mm3] | SL, [μg/mm3] | DC, [%] | Se, [%] | ST, [%] | Tg, [°C] | WCA, [°] | |||
| 40 wt.% (QAn + IPDI) + 40 wt.% Bis-GMA + 20 wt.% TEGDMA | - | - | - | - | QA8 = 14.00 ± 1.61, QA10 = 13.18 ± 1.02 | QA8 = 2.70 ± 0.29, QA10 = 2.62 ± 0.26 | - | - | - | - | - | [55] | |
| 40 wt.% (QAn + CHMDI) + 40 wt.% Bis-GMA + 20 wt.% TEGDMA | - | - | - | - | QA8 = 13.75 ± 1.32, QA10 = 11.79 ± 0.14 | QA8 = 2.94 ± 0.21, QA10 = 3.08 ± 0.20 | - | - | - | - | - | ||
| 40 wt.% (QAn + MDI) + 40 wt.% Bis-GMA + 20 wt.% TEGDMA | - | - | - | - | QA8 = 11.67 ± 0.32, QA10 = 11.63 ± 0.47 | QA8 = 7.68 ± 0.48, QA10 = 6.61 ± 0.53 | - | - | - | - | - | ||
| 20 wt.% (QAn + TMXDI) + 20 wt.% UDMA + 40 wt.% Bis-GMA + 20 wt.% TEGDMA | QA10 = 234.8 ± 8.7, QA12 = 194.6 ± 26.5 | QA10 = 3244.9 ± 114.1, QA12 = 3020.6 ± 198.9 | QA10 = 100.6 ± 11.7, QA12 = 90.3 ± 6.1 | - | QA10 = 10.43 ± 0.42, QA12 = 10.35 ± 0.23 | QA10 = 2.18 ± 0.06, QA12 = 2.46 ± 0.25 | QA10 = 57.0 ± 5.0, QA12 = 69.0 ± 6.0 | QA10 = 7.04 ± 0.83, QA12 = 7.72 ± 1.17 | - | QA10 = 53.46 ± 3.27, QA12 = 60.30 ± 4.34 | QA10 = 87.03 ± 3.07, QA12 = 91.30 ± 4.82 | [50] | |
| 40 wt.% (QAUDMA-m) + 40 wt.% Bis-GMA + 20 wt.% TEGDMA | m:8 = 153.91 ± 5.56, m:10 = 128.21 ± 8.08, m:12 = 126.96 ± 3.98, m:14 = 113.63 ± 5.25, m:16 = 98.13 ± 3.04, m:18 = 83.84 ± 2.85 | m:8 = 3716.68 ± 90.76, m:10 = 3393.39 ± 83.10, m:12 = 2958.97 ± 177.27, m:14 = 2636.08 ± 190.78, m:16 = 2181.70 ± 164.70, m:18 = 1986.74 ± 58.03 | m:8 = 74.47 ± 4.67, m:10 = 65.25 ± 3.63, m:12 = 60.01 ± 3.75, m:14 = 55.58 ± 3.02, m:16 = 54.75 ± 3.48, m:18 = 50.81 ± 4.96 | - | m:8 = 68.27, m:10 = 48.42, m:12 = 35.54, m:14 = 34.43, m:16 = 32.67, m:18 = 25.94 | m:8 = 5.15, m:10 = 5.18, m:12 = 5.22, m:14 = 5.58, m:16 = 5.42, m:18 = 5.54 | m:8 = 59.0 ± 2.0, m:10 = 60.0 ± 2.0, m:12 = 61.0 ± 2.0, m:14 = 63.0 ± 2.0, m:16 = 66.0 ± 1.0, m:18 = 68.0 ± 2.0 | m:8 = 5.08 ± 0.40, m:10 = 5.48 ± 0.37, m:12 = 6.07 ± 0.49, m:14 = 6.14 ± 0.41, m:16 = 6.24 ± 0.54, m:18 = 6.40 ± 0.48 | m:8= 9.81, m:10= 9.60, m:12= 9.38, m:14= 9.18, m:16= 9.04, m:18 = 8.90 | m:8 = 42.21 ± 1.34, m:10 = 45.81 ± 1.17, m:12 = 46.63 ± 1.12, m:14 = 47.83 ± 1.08, m:16 = 50.41 ± 1.87, m:18 = 50.81 ± 0.95 | m:8 = 81.41 ± 1.57, m:10 = 84.68 ± 2.36, m:12 = 86.32 ± 1.63, m:14 = 85.52 ± 1.40, m:16 = 91.05 ± 1.24, m:18 = 99.53 ± 1.62 | [56,57] | |
| 60 wt.% (QAUDMA-m) + 40 wt.% TEGDMA | m:8 = 51.41 ± 4.32, m:10 = 51.17 ± 6.93, m:12 = 50.87 ± 4.08, m:14 = 41.60 ± 3.63, m:16 = 41.21 ± 2.27, m:18 = 42.17 ± 1.08 | m:8 = 679.0 ± 36.2, m:10 = 851.6 ± 47.4, m:12 = 848.7 ± 24.7, m:14 = 772.3 ± 31.1, m:16 = 753.5 ± 31.8, m:18 = 459.4 ± 34.4 | m:8 = =21.59 ± 0.66, m:10 = 37.37 ± 2.27, m:12 = 34.46 ± 2.18, m:14 = 28.38 ± 1.38, m:16 = 20.13 ± 1.62, m:18 = 21.75 ± 1.90 | - | m:8 = 148.31, m:10 = 138.42, m:12 = 130.67, m:14 = 124.89, m:16 = 121.21, m:18 = 116.08 | m:8 = 52.39, m:10 = 32.23, m:12 = 24.21, m:14 = 19.08, m:16 = 15.41, m:18 = 12.67 | m:8 = 84.2 ± 1.2, m:10 = 84.0 ± 0.9, m:12 = 86.0 ± 1.2, m:14 = 88.7 ± 1.4, m:16 = 87.1 ± 1.1, m:18 = 87.1 ± 0.9 | m:8 = 6.6 ± 0.3, m:10 = 6.4 ± 0.3, m:12 = 6.5 ± 0.6, m:14 = 6.9 ± 0.6, m:16 = 6.5 ± 1.0, m:18 = 6.5 ± 0.9 | m:8 = 10.4, m:10 = 10.0, m:12 = 9.7, m:14 = 9.4, m:16 = 9.2, m:18 = 9.0 | m:8 = 60.52 ± 0.79, m:10 = 60.33 ± 1.37, m:12 = 63.18 ± 1.43, m:14 = 64.07 ± 1.15, m:16 = 65.03 ± 0.73, m:18 = 66.32 ± 1.23 | m:8 = 82.1 ± 2.7, m:10 = 82.6 ± 2.4, m:12 = 84.4 ± 1.7, m:14 = 86.1 ± 1.7, m:16 = 94.7 ± 2.3, m:18 = 98.7 ± 2.1 | [49,58] | |
| 10 wt.% Bis-QADM-Bet + 40 wt.% Bis-GMA + 50 wt.% TEGDMA | - | EBet ~2.2 × 103 *, BBet ~2.5 × 103 *, HBet ~2.3 × 103 * | EBet ~70 *, BBet ~110.0 *, HBet ~90.0 * | EBet ~290 *, BBet ~310 *, HBet ~280 * | - | - | EBet = 43.4, BBet = 45.6, HBet = 47.52 | - | - | - | EBet = 68.0, BBet = 93.0, HBet = 98.0 | [59] | |
| QANMA + Bis-GMA/TEGDMA (50/50 wt.) | - | 5 wt.% = (1.90 ± 0.14) × 103–(2.64 ± 0.09) × 103, 10 wt.% = (1.73 ± 0.20) × 10 3–(2.43 ± 0.12) × 103, 20 wt.% = (1.18 ± 0.10) × 103–(2.14 ± 0.14) × 103 | 5 wt.% = 84 ± 7–119 ± 4, 10 wt.% = 77 ± 9–108 ± 4, 20 wt.% = 47 ± 9–92 ± 6 | - | 5 wt.% = 6.9 ± 0.6 #, 10 wt.% = 7.6 ± 0.7 #, 20 wt.% = 47 ± 9–92 ± 6 # | 5 wt.% = 2.5 ± 0.4 #, 10 wt.% = 3.2 ± 0.7 #, 20 wt.% = 4.1 ± 0.7 # | 5 wt.% = 65.5 ± 3.3, 10 wt.% = 66.4 ± 3.1, 20 wt.% = 65.0 ± 1.8 | 5 wt.% = 9.2 ± 0.4, 10 wt.% = 8.9 ± 0.5, 20 wt.% = 7.1 ± 1.2 | - | - | - | [61] | |
| 1 wt.% DMBH + 99 wt.% Tetric N-Bond | - | - | - | - | - | - | ~78.0 * | - | - | - | - | [62] | |
| 1 wt.% DMBB + 99 wt.% Tetric N-Bond | - | - | - | - | - | - | ~79.0 * | - | - | - | - | ||
| (30 wt.% UDMQA-12 + 19.3 wt.% Bis-GMA + 9.3 wt.% TEGDMA) + silanated glass (30:70) | - | ~7.8 × 103 * | ~135.0 * | - | - | - | - | - | - | - | - | [64] | |
| IDMA-1 + 50.91 wt.% UDMA +18.18 wt.% PEG-U + 30.91 wt.% EHMA (UPE resin) | - | - | 10 wt.% ~180.0 *, 20 wt.% ~180.0 * | - | - | - | 10 wt.% ~92.0 *, 20 wt.% ~92.0 * | - | - | - | 10 wt.% ~65.0 *, 20 wt.% ~63.0 * | [65] | |
| 60 wt.% UPE-IDMA-1 + 40 wt.% ACP filler | - | - | ~60.0 * | - | - | - | ~87.0 * | - | - | - | - | ||
| IDMA-2 + 50.91 wt.% UDMA +18.18 wt.% PEG-U + 30.91 wt.% EHMA (UPE resin) | - | - | 10 wt.% ~182.0 *, 20 wt.% ~182.0 * | - | - | - | 10 wt.% ~93.0 *, 20 wt.% ~93.0 * | - | - | - | 10 wt.% ~64 *, 20 wt.% ~66 * | ||
| 60 wt.% UPE-IDMA-2 + 40 wt.% ACP filler | - | - | ~80 * | - | - | - | ~94.0 * | - | - | - | - | ||
| IMQ-16 + UDMA + SR833s | - | 5 wt.% = 2.36 ± 0.08–2.77 ± 0.07, 8 wt.% = 2.44 ± 0.08–2.75 ± 0.10, 11 wt.% = 2.45 ± 0.06–2.75 ± 0.06, 14 wt.% = 2.32 ± 0.09–2.64 ± 0.09, 17 wt.% = 2.31 ± 0.06–2.65 ± 0.06, 20 wt.% = 2.16 ± 0.09–2.49 ± 0.08 | 5 wt.% = 104.5 ± 5.1–114.1 ± 15.5, 8 wt.% = 97.6 ± 12.5–120.7 ± 15.5, 11 wt.% = 101.1 ± 14.5–110.1 ± 12.9, 14 wt.% = 91.9 ± 12.8–110.3 ± 15.3, 17 wt.% = 94.0 ± 13.5–111.8 ± 15.2, 20 wt.% = 79.4 ± 5.6–97.4 ± 12.1 | - | 5 wt.% = 2.30 ± 0.02 #, 8 wt.% = 2.58 ± 0.02 #, 11 wt.% = 2.83 ± 0.01 #, 14 wt.% = 3.06 ± 0.01 #, 17 wt.% = 3.28 ± 0.01 #, 20 wt.% = 3.80 ± 0.02 # | 5 wt.% = 0.36 ± 0.02 #, 8 wt.% = 0.42 ± 0.03 #, 11 wt.% = 0.43 ± 0.02 #, 14 wt.% = 0.53 ± 0.02 #, 17 wt.% = 0.58 ± 0.05 #, 20 wt.% = 0.98 ± 0.03 # | 5 wt.% = 69.1 ± 0.54, 8 wt.% = 69.0 ± 0.44, 11 wt.% = 68.4 ± 0.57, 14 wt.% = 68.1 ± 0.71, 17 wt.% = 68.6 ± 0.79, 20 wt.% = 72.6 ± 1.12 | - | - | - | - | [68] | |
| QABGMA + Bis-GMA/TEGDMA (50/50 wt.) | - | - | - | - | 5 wt.% = 2.06–6.98 #, 10 wt.% = 2.54–7.86 #, 15 wt.% = 3.1–9.68 # | 5 wt.% = 0.49–3.25 #, 10 wt.% = 0.55–3.30 #, 15 wt.% = 0.56–3.38 # | 5 wt.% ~69.0 *, 10 wt.% ~68.0 *, 15 wt.% ~67.0 * | - | - | - | - | [69] | |
Disclaimer/Publisher’s Note: The statements, opinions and data contained in all publications are solely those of the individual author(s) and contributor(s) and not of MDPI and/or the editor(s). MDPI and/or the editor(s) disclaim responsibility for any injury to people or property resulting from any ideas, methods, instructions or products referred to in the content. |
© 2025 by the authors. Licensee MDPI, Basel, Switzerland. This article is an open access article distributed under the terms and conditions of the Creative Commons Attribution (CC BY) license (https://creativecommons.org/licenses/by/4.0/).
Share and Cite
Ampah-Essel, J.E.; Barszczewska-Rybarek, I.; Drejka, P.; Chladek, G. Quaternary Ammonium Dimethacrylates as an Additive in Dental Composite Resins: A Review of Their Antimicrobial, Mechanical, and Physicochemical Properties. Materials 2025, 18, 4844. https://doi.org/10.3390/ma18214844
Ampah-Essel JE, Barszczewska-Rybarek I, Drejka P, Chladek G. Quaternary Ammonium Dimethacrylates as an Additive in Dental Composite Resins: A Review of Their Antimicrobial, Mechanical, and Physicochemical Properties. Materials. 2025; 18(21):4844. https://doi.org/10.3390/ma18214844
Chicago/Turabian StyleAmpah-Essel, John Ekow, Izabela Barszczewska-Rybarek, Patryk Drejka, and Grzegorz Chladek. 2025. "Quaternary Ammonium Dimethacrylates as an Additive in Dental Composite Resins: A Review of Their Antimicrobial, Mechanical, and Physicochemical Properties" Materials 18, no. 21: 4844. https://doi.org/10.3390/ma18214844
APA StyleAmpah-Essel, J. E., Barszczewska-Rybarek, I., Drejka, P., & Chladek, G. (2025). Quaternary Ammonium Dimethacrylates as an Additive in Dental Composite Resins: A Review of Their Antimicrobial, Mechanical, and Physicochemical Properties. Materials, 18(21), 4844. https://doi.org/10.3390/ma18214844


























