Review of the Microstructural Impact on Creep Mechanisms and Performance for Laser Powder Bed Fusion Inconel 718
Abstract
1. Introduction
2. Microstructure of LPBF IN718
2.1. Phases Present Within IN718 and Their Influence on Mechanical Properties
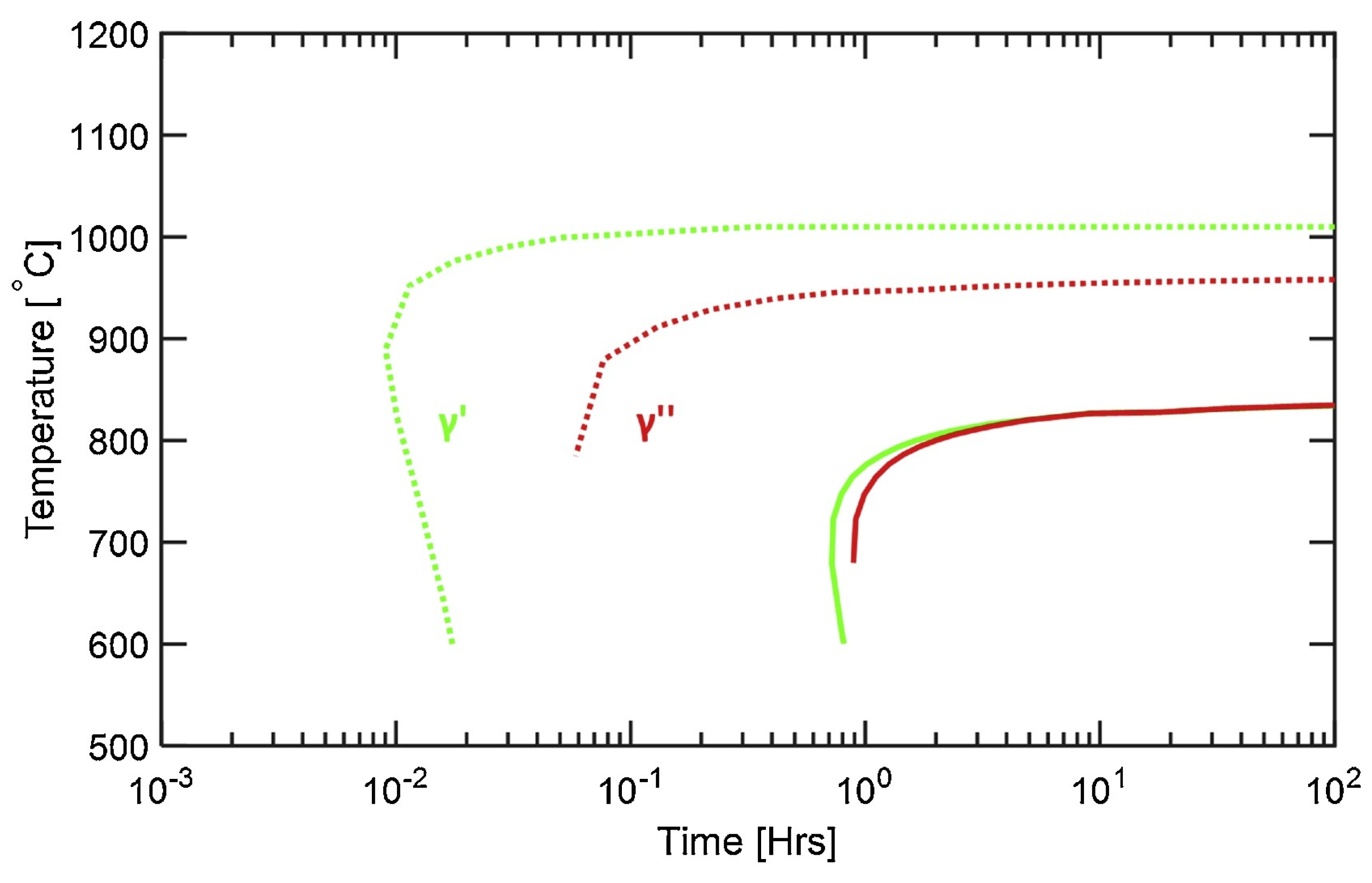
- precipitates (FCC, ) are structural intermetallic compounds based on the formula , which are coherent and poorly misfitting with the matrix [3,6,24]. The solid-state precipitation of , together with , enhances the strength, hardness, and creep rupture life of IN718 by inducing coherency strains, i.e., local deformations of the lattice at coherent interfaces. The influence of on the material strength is, however, less significant compared to that of due to its lower volume faction (1:3 to 1:4), reduced misfitting to the matrix, and lower boundary energy [3,24,25,26,27]. The precipitation of is mainly controlled by the Nb content and the thermal history of the alloy. exhibits a circular/cuboidal morphology with an average size of around 20 nm [28,29].
- precipitates (BCT, ) are structural intermetallic compounds based on the formula which are coherent but misfitting with the matrix [24,30,31,32]. precipitates provide the highest strengthening effect through precipitation hardening due to their high-volume fraction, especially in Nb-rich regions [6,28,33], and due to their high coherency strains [24,28]. are reported to be metastable since they tend to transform into brittle and incoherent orthorhombic phases under equilibrium conditions. formation is, however, always preceded by the precipitation of up to 900 °C, due to the incoherence of with the matrix, to its sluggish precipitation kinetics, and to its much higher nucleation barrier [34,35]. Similar to , the precipitation of is controlled by the Nb content and the thermal history. precipitates are shaped like ellipsoid discs with an aspect ratio of around 5, with the major axis around 30–50 nm [20]. Nevertheless, some spherical/cuboidal precipitates can grow up to 300 nm in recrystallized conditions [20,29].
- MC represents carbides, with M being Ti or Nb (/) [6,28,36]. Carbides can provide different effects depending on their size and composition. The most notable are related to grain growth, Grain Boundary Sliding (GBS) inhibition, and precipitation hardening [6,37]. Gao et al. [36] reported two main types of niobium carbide inclusions, which are the coarse and stable primary NbC formed during solidification and the thin secondary NbC formed at grain boundaries (GBs) during aging. The latter is responsible for oxygen-assisted crack growth as they undergo both oxidation and decomposition into brittle niobium oxides (-type) during high-temperature sustained loading. This could increase the crack growth rate by almost four orders of magnitude. In addition, small carbides (~200 nm) will provide strength through precipitation hardening, while coarse ones (~2 μm) will reduce ductility but improve creep performances by inhibiting GBS [6,37]. Note that nanoscale TiC particles distributed at subgrain boundaries are coherent with the matrix. Therefore, such precipitates remain stable upon high-temperature solution annealing and have been reported to improve mechanical behavior at elevated temperatures [38].
- TiN indicates stable and detrimental brittle phases that lead to local stress peaks in the alloy, significantly reducing the low-cycle fatigue life of IN718 [39,40,41]. Those nonmetallic inclusions form during the solidification stage due to the segregation of refractory Ti. The latter displays an extremely high affinity to N, which is introduced during the elaboration process. High cooling rates and large discrepancies in thermal expansion coefficients between the inclusion and matrix lead to micro-crack formation in the precipitates and to intragranular cracks after loading [42].
- phases (orthorhombic, ) are structural intermetallic compounds based on the formula , which are stable but brittle and are incoherent with the matrix [6,43,44]. The precipitation of metastable up to 900 °C [34,35] triggers that of the phase, the former particle serving as a precursor for the latter, which exhibits sluggish precipitation kinetics. Therefore, both precipitates and phases share the same chemical composition. The shape of the phase is described as needle/plate-like. The impact of phases on the mechanical properties of IN718 is complex and linked to both its relative volume fraction and size. In fact, little amounts of small phases can be beneficial to the creep resistance of wrought IN718 by inhibiting grain growth and GBS. Conversely, coarsened phases deplete the alloy from Nb, which is required for precipitation. Coarse precipitates also lead to the formation of cracks [6,18,45,46].
- Laves phases (HCP, C14) are metastable, brittle, and bulky phases based on the formula [3,47,48]. Laves phases are topologically close-packed eutectic phases that tend to form in highly Nb-segregated areas. They play an important role in decreasing mechanical performances by being favorable sites for cavity and crack nucleation. They also deplete the matrix from Nb and reduce its corrosion resistance, causing ductile fractures to occur [6,17,48,49]. Laves appear as islands and display different compositions, leading to different solvus temperatures [28]. The presence of Laves phases is one of the main reasons for the need for thermomechanical post-treatments, driving extensive research [4,26,38,45,48,50,51].
2.2. Hierarchical Microstructure
2.2.1. Melt Pool Scale
2.2.2. Grain Scale
2.2.3. Cellular Scale
2.2.4. Subcellular Scale
2.3. Heat Treatments
| HT | References | Hot Isostatic Pressing | Homogenization | Solution | Aging | Standard |
|---|---|---|---|---|---|---|
| 1 | [99] | 1120 °C for 4 h at 100 MPa | (Before HIP) 1065 °C for 1.5 h | 1025 °C for 0.5 h | 850 °C for 0.5 h + 650 °C for 16 h | / |
| 2 | [99] | 1120 °C for 4 h at 100 MPa | (Before HIP) 1065 °C for 1.5 h | 960 °C for 1 h | 720 °C for 3 h + 620 °C for 5 h | / |
| 3 | [99] | 1120 °C for 4 h at 100 MPa | (Before HIP) 930 °C for 1 h | 960 °C for 1 h | 720 °C for 8 h + 620 °C for 10 h | / |
| 4 | [100] | 1163 °C for 4 h at 100 MPa | / | 1066 °C for 1 h | 718 °C for 8 h + 621 °C for 8 h | / |
| 5 | [101] | 1163 °C for 3 h at 103 MPa | / | 954 °C for 1 h | 718 °C for 8 h + 621 °C for 8 h | AMS 5663 + AMS 2774 |
| 6 | [99] | 1120 °C for 4 h at 100 MPa | / | 1020 °C for 1 h | 850 °C for 0.5 h + 650 °C for 16 h | / |
| 7 | [96] | 1180 °C for 4 h at 175 MPa | / | / | 720 °C for 8 h + 620 °C for 10 h | / |
| 8 | [102] | 1175 °C for 4 h at 100 MPa | / | / | 718 °C for 8 h + 621 °C for 8 h | / |
| 9 | [7] | 1160 °C for 4 h at 150 MPa | / | / | 710 °C for 8 h at 100 MPa + 610 °C for 8 h at 90 MPa | / |
| 10 | [103] | 1200 °C for 4 h at 103 MPa | / | / | / | / |
| 11 | [96] | 1180 °C for 4 h at 175 MPa | / | / | / | / |
| 12 | [104] | Homogenization | 1100 °C for 1 h | 980 °C for 1 h | 720 °C for 8 h + 620 °C for 8 h | / |
| 13 | [103,105] | 1093 °C for 1–2 h | 954–982 °C for >1 h | 718 °C for 8 h + 620 °C for 10 h | AMS 5383 | |
| 14 | [106] | 1065 °C for 1.5 h | 980 °C for 1 h | 760 °C for 10 h + 650 °C for 8 h | / | |
| 15 | [1,106,107] | 1065 °C for 1.5 h | / | 760 °C for 10 h + 650 °C for 8 h | / | |
| 16 | [17] | / | 1180 °C for 12 h | 720 °C for 8 h + 620 °C for 8 h | / | |
| 17 | [96] | / | 1180 °C for 4 h | 720 °C for 8h + 620 °C for 10h | / | |
| 18 | [96] | / | 1180 °C for 1 h | 720 °C for 8 h + 620 °C for 10 h | / | |
| 19 | [108] | / | 1130 °C for 1 h | 720 °C for 8 h + 620 °C for 8 h | / | |
| 20 | [96] | / | 1120 °C for 1 h | 720 °C for 8 h + 620 °C for 10 h | / | |
| 21 | [17] | / | 1080 °C for 12 h | 720 °C for 8 h + 620 °C for 8 h | / | |
| 22 | [92] | / | 1080 °C for 1.5 h + 980 °C for 1 h | 720 °C for 8 h + 620 °C for 8 h | / | |
| 23 | [92] | / | 1080 °C for 1.5 h | 720 °C for 8 h + 620 °C for 8 h | / | |
| 24 | [17] | / | 1080 °C for 1 h | 720 °C for 8 h + 620 °C for 8 h | / | |
| 25 | [91] | / | 1065 °C for 1 h | 760 °C for 10 h + 650 °C for 8 h | / | |
| 26 | [96] | / | 1065 °C for 1 h | 720 °C for 8 h + 620 °C for 10 h | / | |
| 27 | [109] | / | 1060 °C for 1 h | 760 °C for 10 h + 650 °C for 8 h | AMS 5664 | |
| 28 | [108] | / | 1060 °C for 1 h | 720 °C for 8 h + 620 °C for 8 h | / | |
| 29 | [96] | Solution | 1045 °C for 1 h | 720 °C for 8 h + 620 °C for 10 h | / | |
| 30 | [18] | 1000 °C for 1 h | 720 °C for 8 h + 620 °C for 8 h | / | ||
| 31 | [1,106] | 980 °C for 1 h | 760 °C for 10 h + 650 °C for 8 h | / | ||
| 32 | [96] | 980 °C for 1 h | 720 °C for 8 h + 620 °C for 10 h | / | ||
| 33 | [7,17,67,91,92,97,98,104,108] | 980 °C for 1 h | 720 °C for 8 h + 620 °C for 8 h | AMS 5662 | ||
| 34 | [15] | 980 °C for 1 h | 718 °C for 8 h + 621 °C for 10 h | / | ||
| 35 | [110] | 960 °C for 1 h | 720 °C for 8 h + 620 °C for 8 h | / | ||
| 36 | [18] | 930 °C for 1 h | 720 °C for 8 h + 620 °C for 8 h | / | ||
| 37 | [111] | 850 °C for 2 h | 720 °C for 8 h + 621 °C for 8 h | / | ||
| 38 | [18,98] | Double Aging | 720 °C for 8 h + 620 °C for 8 h | / | ||
| 39 | [15] | 718 °C for 8 h + 621 °C for 10 h | / | |||
2.3.1. Hot Isostatic Pressing (HIP)
2.3.2. Homogenization and Solution Annealing
2.3.3. Aging
2.3.4. Heat Treatments Summary
3. Creep in Metals
3.1. Creep Mechanisms
3.1.1. Diffusional Creep
3.1.2. Dislocation Creep
3.2. Creep Fracture
3.3. Creep Mechanism Identification and Diagrams
3.4. Creep Modeling
4. Creep in LPBF IN718
4.1. Creep Mechanism Identification
4.2. Creep Strength
4.2.1. Precipitation Strengthening
4.2.2. Microstructural Interfaces
4.2.3. Solid Solution Strengthening
4.3. Creep Lifetime
4.3.1. GB Particles
4.3.2. Grain Shape
4.4. Optimal Performance–Microstructure–Treatment Relationship
4.5. Comparison Between Optimized LPBF IN718 and Reference Conventionally Manufactured IN718
5. Conclusions
- High density and optimal size of strengthening precipitates;
- Dissolution of Laves and detrimental phases;
- Large equiaxed grains;
- Presence of twin boundaries and subgrains, if possible;
- No excessive carbide coarsening;
- Low porosity.
Author Contributions
Funding
Acknowledgments
Conflicts of Interest
References
- Shi, J.J.; Li, X.; Zhang, Z.X.; Cao, G.H.; Russell, A.M.; Zhou, Z.J.; Li, C.P.; Chen, G.F. Study on the Microstructure and Creep Behavior of Inconel 718 Superalloy Fabricated by Selective Laser Melting. Mater. Sci. Eng. A 2019, 765, 138282. [Google Scholar] [CrossRef]
- Kumara, C.; Balachandramurthi, A.R.; Goel, S.; Hanning, F.; Moverare, J. Toward a Better Understanding of Phase Transformations in Additive Manufacturing of Alloy 718. Materialia 2020, 13, 100862. [Google Scholar] [CrossRef]
- Hosseini, E.; Popovich, V.A. A Review of Mechanical Properties of Additively Manufactured Inconel 718. Addit. Manuf. 2019, 30, 100877. [Google Scholar] [CrossRef]
- Zhang, D.; Niu, W.; Cao, X.; Liu, Z. Effect of Standard Heat Treatment on the Microstructure and Mechanical Properties of Selective Laser Melting Manufactured Inconel 718 Superalloy. Mater. Sci. Eng. A 2015, 644, 32–40. [Google Scholar] [CrossRef]
- Tucho, W.M.; Cuvillier, P.; Sjolyst-Kverneland, A.; Hansen, V. Microstructure and Hardness Studies of Inconel 718 Manufactured by Selective Laser Melting before and after Solution Heat Treatment. Mater. Sci. Eng. A 2017, 689, 220–232. [Google Scholar] [CrossRef]
- Volpato, G.M.; Tetzlaff, U.; Fredel, M.C. A Comprehensive Literature Review on Laser Powder Bed Fusion of Inconel Superalloys. Addit. Manuf. 2022, 55, 102871. [Google Scholar] [CrossRef]
- Kaletsch, A.; Qin, S.; Broeckmann, C. Influence of Different Build Orientations and Heat Treatments on the Creep Properties of Inconel 718 Produced by PBF-LB. Materials 2023, 16, 4087. [Google Scholar] [CrossRef]
- Shi, J.J.; Zhou, S.A.; Chen, H.H.; Cao, G.H.; Russell, A.M.; Zhou, Z.J.; Qi, X.B.; Li, C.P.; Chen, G.F. Microstructure and Creep Anisotropy of Inconel 718 Alloy Processed by Selective Laser Melting. Mater. Sci. Eng. A 2021, 805, 140583. [Google Scholar] [CrossRef]
- Trosch, T.; Strößner, J.; Völkl, R.; Glatzel, U. Microstructure and Mechanical Properties of Selective Laser Melted Inconel 718 Compared to Forging and Casting. Mater. Lett. 2016, 164, 428–431. [Google Scholar] [CrossRef]
- Sanchez, S.; Smith, P.; Xu, Z.; Gaspard, G.; Hyde, C.J.; Wits, W.W.; Ashcroft, I.A.; Chen, H.; Clare, A.T. Powder Bed Fusion of Nickel-Based Superalloys: A Review. Int. J. Mach. Tools Manuf. 2021, 165, 103729. [Google Scholar] [CrossRef]
- Catchpole-Smith, S.; Aboulkhair, N.; Parry, L.; Tuck, C.; Ashcroft, I.A.; Clare, A. Fractal Scan Strategies for Selective Laser Melting of ‘Unweldable’ Nickel Superalloys. Addit. Manuf. 2017, 15, 113–122. [Google Scholar] [CrossRef]
- Xu, Z.; Hyde, C.J.; Tuck, C.; Clare, A.T. Creep Behaviour of Inconel 718 Processed by Laser Powder Bed Fusion. J. Mater. Process. Technol. 2018, 256, 13–24. [Google Scholar] [CrossRef]
- Chaturvedi, M.C.; Han, Y. Creep Deformation of Alloy 718. In Superalloy 718 Metallurgy and Applications; The Minerals, Metals & Materials Society: Warrendale, PA, USA, 1989; pp. 489–498. [Google Scholar]
- Asadi, M.; Weck, A.; Eng Dept, M.; Subray Hegde, C.R.; Trevor Sawatzky, C.; Saari, H. Constructing a Validated Deformation Mechanisms Map Using Low Temperature Creep Strain Accommodation Processes for Nickel-Base Alloy 718. In Proceedings of the Pressure Vessels & Piping Division Conference, Toronto, ON, Canada, 15–19 July 2012. [Google Scholar]
- Kuo, Y.L.; Horikawa, S.; Kakehi, K. Effects of Build Direction and Heat Treatment on Creep Properties of Ni-Base Superalloy Built up by Additive Manufacturing. Scr. Mater. 2017, 129, 74–78. [Google Scholar] [CrossRef]
- Ioannidou, C.; König, H.H.; Semjatov, N.; Ackelid, U.; Staron, P.; Körner, C.; Hedström, P.; Lindwall, G. In-Situ Synchrotron X-Ray Analysis of Metal Additive Manufacturing: Current State, Opportunities and Challenges. Mater. Des. 2022, 219, 110790. [Google Scholar] [CrossRef]
- Wu, S.; Peng, H.Z.; Gao, X.; Hodgson, P.D.; Song, H.Y.; Zhu, Y.M.; Tian, Y.; Huang, A.J. Improving Creep Property of Additively Manufactured Inconel 718 through Specifically-Designed Post Heat Treatments. Mater. Sci. Eng. A 2022, 857, 144047. [Google Scholar] [CrossRef]
- Pröbstle, M.; Neumeier, S.; Hopfenmüller, J.; Freund, L.P.; Niendorf, T.; Schwarze, D.; Göken, M. Superior Creep Strength of a Nickel-Based Superalloy Produced by Selective Laser Melting. Mater. Sci. Eng. A 2016, 674, 299–307. [Google Scholar] [CrossRef]
- Sanchez, S.; Gaspard, G.; Hyde, C.J.; Ashcroft, I.A.; Ravi, G.A.; Clare, A.T. On the Thermomechanical Aging of LPBF Alloy 718. Mater. Sci. Eng. A 2022, 841, 142998. [Google Scholar] [CrossRef]
- Amato, K.N.; Gaytan, S.M.; Murr, L.E.; Martinez, E.; Shindo, P.W.; Hernandez, J.; Collins, S.; Medina, F. Microstructures and Mechanical Behavior of Inconel 718 Fabricated by Selective Laser Melting. Acta Mater. 2012, 60, 2229–2239. [Google Scholar] [CrossRef]
- Drexler, A.; Fischersworring-Bunk, A.; Oberwinkler, B.; Ecker, W.; Gänser, H.P. A Microstructural Based Creep Model Applied to Alloy 718. Int. J. Plast. 2018, 105, 62–73. [Google Scholar] [CrossRef]
- Popovich, V.A.; Borisov, E.V.; Popovich, A.A.; Sufiiarov, V.S.; Masaylo, D.V.; Alzina, L. Functionally Graded Inconel 718 Processed by Additive Manufacturing: Crystallographic Texture, Anisotropy of Microstructure and Mechanical Properties. Mater. Des. 2017, 114, 441–449. [Google Scholar] [CrossRef]
- Kuo, Y.L.; Kamigaichi, A.; Kakehi, K. Characterization of Ni-Based Superalloy Built by Selective Laser Melting and Electron Beam Melting. Metall. Mater. Trans. A Phys. Metall. Mater. Sci. 2018, 49, 3831–3837. [Google Scholar] [CrossRef]
- Du, J.; Lu, X.; Deng, Q.; Bi, Z. Progress in the Research and Manufacture of GH4169 Alloy. J. Iron Steel Res. Int. 2015, 22, 657–663. [Google Scholar] [CrossRef]
- Li, R.B.; Yao, M.; Liu, W.C.; He, X.C. Isolation and Determination for Delta, Gamma Prime and Gamma Double Prime Phases in Inconel 718 Alloy. Scr. Mater. 2002, 46, 635–638. [Google Scholar] [CrossRef]
- Wang, C.; Li, R. Effect of Double Aging Treatment on Structure in Inconel 718 Alloy. J. Mater. Sci. 2004, 39, 2593–2595. [Google Scholar] [CrossRef]
- Cozar, R.; Pineau, A. Morphology of Y’ and Y" Precipitates and Thermal Stability of Inconel 718 Type Alloys. Metall. Trans. 1973, 4, 47–59. [Google Scholar] [CrossRef]
- Radavich, J.F. The Physical Metallurgy of Cast and Wrought Alloy 718. In Superalloy 718 Metallurgy and Applications; The Minerals, Metals & Materials Society: Warrendale, PA, USA, 1989; pp. 229–240. [Google Scholar]
- Cao, G.H.; Sun, T.Y.; Wang, C.H.; Li, X.; Liu, M.; Zhang, Z.X.; Hu, P.F.; Russell, A.M.; Schneider, R.; Gerthsen, D.; et al. Investigations of Γ′ Γ″ and δ Precipitates in Heat-Treated Inconel 718 Alloy Fabricated by Selective Laser Melting. Mater. Charact. 2018, 136, 398–406. [Google Scholar] [CrossRef]
- Devaux, A.; Nazé, L.; Molins, R.; Pineau, A.; Organista, A.; Guédou, J.Y.; Uginet, J.F.; Héritier, P. Gamma Double Prime Precipitation Kinetic in Alloy 718. Mater. Sci. Eng. A 2008, 486, 117–122. [Google Scholar] [CrossRef]
- Rezende, M.C.; Araujo, L.S.; Gabriel, S.B.; Dos Santos, D.S.; De Almeida, L.H. Hydrogen Embrittlement in Nickel-Based Superalloy 718: Relationship between γ’ + γ’’ Precipitation and the Fracture Mode. Int. J. Hydrogen Energy 2015, 40, 17075–17083. [Google Scholar] [CrossRef]
- Strondl, A.; Fischer, R.; Frommeyer, G.; Schneider, A. Investigations of MX and Γ′/Γ″ Precipitates in the Nickel-Based Superalloy 718 Produced by Electron Beam Melting. Mater. Sci. Eng. A 2008, 480, 138–147. [Google Scholar] [CrossRef]
- Sundararaman, M.; Mukhopadhyay, P.; Banerjee, S. Some Aspects of the Precipitation of Metastable Intermetallic Phases in INCONEL 718. Metall. Trans. A 1992, 23A, 2015–2028. [Google Scholar] [CrossRef]
- McNamara, K.; Ji, Y.; Lia, F.; Promoppatum, P.; Yao, S.C.; Zhou, H.; Wang, Y.; Chen, L.Q.; Martukanitz, R.P. Predicting Phase Transformation Kinetics during Metal Additive Manufacturing Using Non-Isothermal Johnson-Mehl-Avrami Models: Application to Inconel 718 and Ti-6Al-4V. Addit. Manuf. 2022, 49, 102478. [Google Scholar] [CrossRef]
- Azadian, S.; Wei, L.Y.; Warren, R. Delta Phase Precipitation in Inconel 718. Mater. Charact. 2004, 53, 7–16. [Google Scholar] [CrossRef]
- Gao, M.; Wei, R.P. Grain Boundary Niobium Carbides in Inconel 718. Scr. Mater. 1997, 37, 1843–1849. [Google Scholar] [CrossRef]
- Ferreri, N.C.; Vogel, S.C.; Knezevic, M. Determining Volume Fractions of γ, Γ′, Γ″, δ, and MC-Carbide Phases in Inconel 718 as a Function of Its Processing History Using an Advanced Neutron Diffraction Procedure. Mater. Sci. Eng. A 2020, 781, 139228. [Google Scholar] [CrossRef]
- Zhao, Y.; Guan, K.; Yang, Z.; Hu, Z.; Qian, Z.; Wang, H.; Ma, Z. The Effect of Subsequent Heat Treatment on the Evolution Behavior of Second Phase Particles and Mechanical Properties of the Inconel 718 Superalloy Manufactured by Selective Laser Melting. Mater. Sci. Eng. A 2020, 794, 139931. [Google Scholar] [CrossRef]
- Denda, T.; Bretz, P.L.; Tien, J.K. Inclusion Size Effect on the Fatigue Crack Propagation Mechanism and Fracture Mechanics of a Superalloy. Metall. Trans. A 1992, 23A, 519–526. [Google Scholar] [CrossRef]
- Texier, D.; Gómez, A.C.; Pierret, S.; Franchet, J.M.; Pollock, T.M.; Villechaise, P.; Cormier, J. Microstructural Features Controlling the Variability in Low-Cycle Fatigue Properties of Alloy Inconel 718DA at Intermediate Temperature. Metall. Mater. Trans. A 2016, 47, 1096–1109. [Google Scholar] [CrossRef]
- Texier, D.; Cormier, J.; Villechaise, P.; Stinville, J.C.; Torbet, C.J.; Pierret, S.; Pollock, T.M. Crack Initiation Sensitivity of Wrought Direct Aged Alloy 718 in the Very High Cycle Fatigue Regime: The Role of Non-Metallic Inclusions. Mater. Sci. Eng. A 2016, 678, 122–136. [Google Scholar] [CrossRef]
- Lim, K.H.; Ryou, K.H.; Choi, J.H.; Choi, G.; Choi, W.S.; Lee, J.H.; Oh, C.S.; Choi, P.P.; Sim, G.D. Effect of Titanium Nitride Inclusions on the Mechanical Properties of Direct Laser Deposited Inconel 718. Extreme Mech. Lett. 2023, 61, 102009. [Google Scholar] [CrossRef]
- Ni, T.; Dong, J. Creep Behaviors and Mechanisms of Inconel718 and Allvac718plus. Mater. Sci. Eng. A 2017, 700, 406–415. [Google Scholar] [CrossRef]
- Sundararaman, M.; Mukhopadhyay, P.; Banerjee, S. Precipitation of the Delta-Ni3Nb Phase in Two Nickel Base Superalloys. Metall. Trans. A 1988, 19, 453–465. [Google Scholar] [CrossRef]
- An, X.L.; Zhang, B.; Chu, C.L.; Zhou, L.; Chu, P.K. Evolution of Microstructures and Properties of the GH4169 Superalloy during Short-Term and High-Temperature Processing. Mater. Sci. Eng. A 2019, 744, 255–266. [Google Scholar] [CrossRef]
- Chen, W.; Chaturvedi, M.C. Dependence of Creep Fracture of Inconel 718 on Grain Boundary Precipitates. Acta Mater. 1997, 45, 2735–2746. [Google Scholar] [CrossRef]
- Nie, P.; Ojo, O.A.; Li, Z. Numerical Modeling of Microstructure Evolution during Laser Additive Manufacturing of a Nickel-Based Superalloy. Acta Mater. 2014, 77, 85–95. [Google Scholar] [CrossRef]
- Zhang, Q.; Li, H.; Yang, Y. Effects of Solution Heat Treatment on Laves Phase and Corrosion Behaviors in Selective Laser Melted Inconel 718 Alloy. In Proceedings of the IOP Conference Series: Materials Science and Engineering; IOP Publishing Ltd.: Bristol, UK, 2019; Volume 677. [Google Scholar]
- Liu, F.; Lyu, F.; Liu, F.; Lin, X.; Huang, C. Laves Phase Control of Inconel 718 Superalloy Fabricated by Laser Direct Energy Deposition via ı Aging and Solution Treatment. J. Mater. Res. Technol. 2020, 9, 9753–9765. [Google Scholar] [CrossRef]
- Saboori, A.; Di Torino, P.; Aversa, A.; Politecnico, E.B.; Torino, D.; Marchese, G.; Bassini, E.; Mazzucato, F.; Valente, A.; Lombardi, M.; et al. Effect of Heat Treatment on Microstructural Evolution of Additively Manufactured Inconel 718 and Cast Alloy. In Proceedings of the Euro PM2019—Post treatment, Maastricht, The Netherlands, 13–16 October 2019. [Google Scholar]
- Ni, M.; Liu, S.; Chen, C.; Li, R.; Zhang, X.; Zhou, K. Effect of Heat Treatment on the Microstructural Evolution of a Precipitation-Hardened Superalloy Produced by Selective Laser Melting. Mater. Sci. Eng. A 2019, 748, 275–285. [Google Scholar] [CrossRef]
- Zhang, Z.; Khong, J.C.; Koe, B.; Luo, S.; Huang, S.; Qin, L.; Cipiccia, S.; Batey, D.; Bodey, A.J.; Rau, C.; et al. Multiscale Characterization of the 3D Network Structure of Metal Carbides in a Ni Superalloy by Synchrotron X-Ray Microtomography and Ptychography. Scr. Mater. 2021, 193, 71–76. [Google Scholar] [CrossRef]
- Gao, L.; Chuang, A.C.; Kenesei, P.; Ren, Z.; Balderson, L.; Sun, T. An Operando Synchrotron Study on the Effect of Wire Melting State on Solidification Microstructures of Inconel 718 in Wire-Laser Directed Energy Deposition. Int. J. Mach. Tools Manuf. 2024, 194, 104089. [Google Scholar] [CrossRef]
- Yong, C.K.; Keating, E.M.; Hughes, D.J.; Connolley, T.; West, G.; Wong, C.C.; Gibbons, G.J. Assessment of Residual Strain in Laser Shock Peened Additive Manufactured Inconel 718 Using Synchrotron X-Ray Diffraction. Materialia 2023, 30, 101843. [Google Scholar] [CrossRef]
- Prasad, K.; Obana, M.; Ito, A.; Torizuka, S. Synchrotron Diffraction Characterization of Dislocation Density in Additively Manufactured IN 718 Superalloy. Mater. Charact. 2021, 179, 111379. [Google Scholar] [CrossRef]
- Chen, W.Y.; Zhang, X.; Li, M.; Xu, R.; Zhao, C.; Sun, T. Laser Powder Bed Fusion of Inconel 718 on 316 Stainless Steel. Addit. Manuf. 2020, 36, 101500. [Google Scholar] [CrossRef]
- Laquai, R.; Müller, B.R.; Schneider, J.A.; Kupsch, A.; Bruno, G. Using SXRR to Probe the Nature of Discontinuities in SLM Additive Manufactured Inconel 718 Specimens. Metall. Mater. Trans. A Phys. Metall. Mater. Sci. 2020, 51, 4146–4157. [Google Scholar] [CrossRef]
- Lu, W.; Luo, X.; Wang, Y.; Huang, B.; Wang, Z.; Yang, Y. Γ′′ Phase Transformation, Precipitation Hardening, Hetero-Deformation Induced Hardening and Deformation Mechanisms in a Nb-Alloyed Medium-Entropy Alloy. Mater. Des. 2023, 225, 111477. [Google Scholar] [CrossRef]
- Oblak, J.M.; Paulonis, D.F.; Duvall, D.S. Coherency Strengthening in Ni Base Alloys Hardened by D022 Precipitates. Metall. Trans. 1974, 5, 143–153. [Google Scholar] [CrossRef]
- Gallmeyer, T.G.; Moorthy, S.; Kappes, B.B.; Mills, M.J.; Amin-Ahmadi, B.; Stebner, A.P. Knowledge of Process-Structure-Property Relationships to Engineer Better Heat Treatments for Laser Powder Bed Fusion Additive Manufactured Inconel 718. Addit. Manuf. 2020, 31, 100977. [Google Scholar] [CrossRef]
- Lv, D.C.; McAllister, D.; Mills, M.J.; Wang, Y. Deformation Mechanisms of D022 Ordered Intermetallic Phase in Superalloys. Acta Mater. 2016, 118, 350–361. [Google Scholar] [CrossRef]
- Phillips, P.J.; McAllister, D.; Gao, Y.; Lv, D.; Williams, R.E.A.; Peterson, B.; Wang, Y.; Mills, M.J. Nano Γ′γ″ Composite Precipitates in Alloy 718. Appl. Phys. Lett. 2012, 100, 211913. [Google Scholar] [CrossRef]
- McAllister, D.; Lv, D.; Peterson, B.; Deutchman, H.; Wang, Y.; Mills, M.J. Lower Temperature Deformation Mechanisms in a Γ″-Strengthened Ni-Base Superalloy. Scr. Mater. 2016, 115, 108–112. [Google Scholar] [CrossRef]
- Kovarik, L.; Unocic, R.R.; Li, J.; Sarosi, P.; Shen, C.; Wang, Y.; Mills, M.J. Microtwinning and Other Shearing Mechanisms at Intermediate Temperatures in Ni-Based Superalloys. Prog. Mater. Sci. 2009, 54, 839–873. [Google Scholar] [CrossRef]
- Brooks, J.W.; Bridges, P.J. Metallurgical Stability of Inconel Alloy 718. In Proceedings of the Superalloys 1998; The Minerals, Metals and Materials Society: Pittsburgh, PA, USA, 1988; pp. 33–42. [Google Scholar]
- Huynh, T.; Mehta, A.; Graydon, K.; Woo, J.; Park, S.; Hyer, H.; Zhou, L.; Imholte, D.D.; Woolstenhulme, N.E.; Wachs, D.M.; et al. Microstructural Development in Inconel 718 Nickel-Based Superalloy Additively Manufactured by Laser Powder Bed Fusion. Metallogr. Microstruct. Anal. 2022, 11, 88–107. [Google Scholar] [CrossRef]
- Sanchez, S.; Gaspard, G.; Hyde, C.J.; Ashcroft, I.A.; Ravi, G.A.; Clare, A.T. The Creep Behaviour of Nickel Alloy 718 Manufactured by Laser Powder Bed Fusion. Mater. Des. 2021, 204, 109647. [Google Scholar] [CrossRef]
- Li, X.; Shi, J.J.; Wang, C.H.; Cao, G.H.; Russell, A.M.; Zhou, Z.J.; Li, C.P.; Chen, G.F. Effect of Heat Treatment on Microstructure Evolution of Inconel 718 Alloy Fabricated by Selective Laser Melting. J. Alloys Compd. 2018, 764, 639–649. [Google Scholar] [CrossRef]
- Kouraytem, N.; Varga, J.; Amin-Ahmadi, B.; Mirmohammad, H.; Chanut, R.A.; Spear, A.D.; Kingstedt, O.T. A Recrystallization Heat-Treatment to Reduce Deformation Anisotropy of Additively Manufactured Inconel 718. Mater. Des. 2021, 198, 109228. [Google Scholar] [CrossRef]
- Scime, L.; Beuth, J. Melt Pool Geometry and Morphology Variability for the Inconel 718 Alloy in a Laser Powder Bed Fusion Additive Manufacturing Process. Addit. Manuf. 2019, 29, 100830. [Google Scholar] [CrossRef]
- Rosenthal, I.; Weaver, J.S.; Moylan, S. The Influence of the Melt Pool Structure on the Mechanical Properties of Laser Powder Bed Fusion Nickel Superalloy 625. Mater. Today Commun. 2023, 36, 106810. [Google Scholar] [CrossRef]
- Mertens, A.; Delahaye, J.; Dedry, O.; Vertruyen, B.; Tchuindjang, J.T.; Habraken, A.M. Microstructure and Properties of SLM AlSi10Mg: Understanding the Influence of the Local Thermal History. In Proceedings of the 23rd International Conference on Material Forming (ESAFORM 2020), Online, 4–8 May 2020; Elsevier B.V.: Amsterdam, The Netherlands, 2020; Volume 47, pp. 1089–1095. [Google Scholar]
- Tang, M.; Pistorius, P.C. Anisotropic Mechanical Behavior of AlSi10Mg Parts Produced by Selective Laser Melting. JOM 2017, 69, 516–522. [Google Scholar] [CrossRef]
- Zhang, D.; Zhang, P.; Liu, Z.; Feng, Z.; Wang, C.; Guo, Y. Thermofluid Field of Molten Pool and Its Effects during Selective Laser Melting (SLM) of Inconel 718 Alloy. Addit. Manuf. 2018, 21, 567–578. [Google Scholar] [CrossRef]
- Wang, J.; Zhu, R.; Liu, Y.; Zhang, L. Understanding Melt Pool Characteristics in Laser Powder Bed Fusion: An Overview of Single- and Multi-Track Melt Pools for Process Optimization. Adv. Powder Mater. 2023, 2, 100137. [Google Scholar] [CrossRef]
- Coen, V.; Goossens, L.; Hooreweder, B. Van Methodology and Experimental Validation of Analytical Melt Pool Models for Laser Powder Bed Fusion. J. Mater. Process. Technol. 2022, 304, 117547. [Google Scholar] [CrossRef]
- Kanagarajah, P.; Brenne, F.; Niendorf, T.; Maier, H.J. Inconel 939 Processed by Selective Laser Melting: Effect of Microstructure and Temperature on the Mechanical Properties under Static and Cyclic Loading. Mater. Sci. Eng. A 2013, 588, 188–195. [Google Scholar] [CrossRef]
- Wang, L.Y.; Zhou, Z.J.; Li, C.P.; Chen, G.F.; Zhang, G.P. Comparative Investigation of Small Punch Creep Resistance of Inconel 718 Fabricated by Selective Laser Melting. Mater. Sci. Eng. A 2019, 745, 31–38. [Google Scholar] [CrossRef]
- Chauvet, E.; Kontis, P.; Jägle, E.A.; Gault, B.; Raabe, D.; Tassin, C.; Blandin, J.J.; Dendievel, R.; Vayre, B.; Abed, S.; et al. Hot Cracking Mechanism Affecting a Non-Weldable Ni-Based Superalloy Produced by Selective Electron Beam Melting. Acta Mater. 2018, 142, 82–94. [Google Scholar] [CrossRef]
- Tao, P.; Li, H.; Huang, B.; Hu, Q.; Gong, S.; Xu, Q. The Crystal Growth, Intercellular Spacing and Microsegregation of Selective Laser Melted Inconel 718 Superalloy. Vacuum 2019, 159, 382–390. [Google Scholar] [CrossRef]
- Calandri, M.; Yin, S.; Aldwell, B.; Calignano, F.; Lupoi, R.; Ugues, D. Texture and Microstructural Features at Different Length Scales in Inconel 718 Produced by Selective Laser Melting. Materials 2019, 12, 1293. [Google Scholar] [CrossRef] [PubMed]
- Gokcekaya, O.; Ishimoto, T.; Hibino, S.; Yasutomi, J.; Narushima, T.; Nakano, T. Unique Crystallographic Texture Formation in Inconel 718 by Laser Powder Bed Fusion and Its Effect on Mechanical Anisotropy. Acta Mater. 2021, 212, 116876. [Google Scholar] [CrossRef]
- Zhang, D.; Feng, Z.; Wang, C.; Wang, W.; Liu, Z.; Niu, W. Comparison of Microstructures and Mechanical Properties of Inconel 718 Alloy Processed by Selective Laser Melting and Casting. Mater. Sci. Eng. A 2018, 724, 357–367. [Google Scholar] [CrossRef]
- Wei, H.L.; Mazumder, J.; DebRoy, T. Evolution of Solidification Texture during Additive Manufacturing. Sci. Rep. 2015, 5, 16446. [Google Scholar] [CrossRef] [PubMed]
- Porter, D.A.; Easterling, K.E.; Sherif, M.Y. Phase Transformations in Metals and Alloys; CRC Press: Boca Raton, FL, USA, 2022. [Google Scholar]
- Chlebus, E.; Gruber, K.; Kuźnicka, B.; Kurzac, J.; Kurzynowski, T. Effect of Heat Treatment on the Microstructure and Mechanical Properties of Inconel 718 Processed by Selective Laser Melting. Mater. Sci. Eng. A 2015, 639, 647–655. [Google Scholar] [CrossRef]
- Parimi, L.L.; Ravi, G.; Clark, D.; Attallah, M.M. Microstructural and Texture Development in Direct Laser Fabricated IN718. Mater. Charact. 2014, 89, 102–111. [Google Scholar] [CrossRef]
- Qi, H.; Azer, M.; Ritter, A. Studies of Standard Heat Treatment Effects on Microstructure and Mechanical Properties of Laser Net Shape Manufactured INCONEL 718. Metall. Mater. Trans. A 2009, 40, 2410–2422. [Google Scholar] [CrossRef]
- Antonsson, T.; Fredriksson, H. The Effect of Cooling Rate on the Solidification of INCONEL 718. Metall. Mater. Trans. B 2005, 36, 85–96. [Google Scholar] [CrossRef]
- Kumara, C.; Segerstark, A.; Hanning, F.; Dixit, N.; Joshi, S.; Moverare, J.; Nylén, P. Microstructure Modelling of Laser Metal Powder Directed Energy Deposition of Alloy 718. Addit. Manuf. 2019, 25, 357–364. [Google Scholar] [CrossRef]
- Hautfenne, C.; Nardone, S.; De Bruycker, E. Influence of Heat Treatments and Build Orientation on the Creep Strength of Additive Manufactured IN718. In Proceedings of the 4th International ECCC Conference, Duesseldorf, Germany, 10–14 September 2017. [Google Scholar]
- Gao, Y.; Zhang, D.; Cao, M.; Chen, R.; Feng, Z.; Poprawe, R.; Schleifenbaum, J.H.; Ziegler, S. Effect of δ Phase on High Temperature Mechanical Performances of Inconel 718 Fabricated with SLM Process. Mater. Sci. Eng. A 2019, 767, 138327. [Google Scholar] [CrossRef]
- Sugahara, T.; Martinolli, K.; Reis, D.A.P.; Moura Neto, C.; Couto, A.A.; Piorino Neto, F.; Barboza, M.J.R. Creep Behavior of the Inconel 718 Superalloy. Defect Diffus. Forum 2012, 326–328, 509–514. [Google Scholar] [CrossRef]
- SAE Standards for Mobility Knowledge and Solutions. Available online: https://www.sae.org/standards (accessed on 6 January 2025).
- Zhou, L.; Mehta, A.; McWilliams, B.; Cho, K.; Sohn, Y. Microstructure, Precipitates and Mechanical Properties of Powder Bed Fused Inconel 718 before and after Heat Treatment. J. Mater. Sci. Technol. 2019, 35, 1153–1164. [Google Scholar] [CrossRef]
- Kuo, Y.L.; Nagahari, T.; Kakehi, K. The Effect of Post-Processes on the Microstructure and Creep Properties of Alloy718 Built up by Selective Laser Melting. Materials 2018, 11, 996. [Google Scholar] [CrossRef] [PubMed]
- Xu, Z.; Cao, L.; Zhu, Q.; Guo, C.; Li, X.; Hu, X.; Yu, Z. Creep Property of Inconel 718 Superalloy Produced by Selective Laser Melting Compared to Forging. Mater. Sci. Eng. A 2020, 794, 139947. [Google Scholar] [CrossRef]
- Peng, J.; Gao, M.; Zhang, H.; Geng, X.; Liu, X.; Pan, H. Small Punch Creep Test Reveals the Differences of High-Temperature Creep Behaviours for Laser Powder Bed Fusion and Rolled Inconel 718 Alloys. Mater. Sci. Eng. A 2023, 886, 145698. [Google Scholar] [CrossRef]
- Sadek, A. Optimization of the Post-Heat Treatment of Additively Manufactured IN718. J. Mater. Eng. Perform. 2024, 33, 4265–4277. [Google Scholar] [CrossRef]
- Bhowmik, S.; McWilliams, B.A.; Knezevic, M. Effect of Powder Reuse on Tensile, Compressive, and Creep Strength of Inconel 718 Fabricated via Laser Powder Bed Fusion. Mater. Charact. 2022, 190, 112023. [Google Scholar] [CrossRef]
- McLouth, T.D.; Witkin, D.B.; Bean, G.E.; Sitzman, S.D.; Adams, P.M.; Lohser, J.R.; Yang, J.M.; Zaldivar, R.J. Variations in Ambient and Elevated Temperature Mechanical Behavior of IN718 Manufactured by Selective Laser Melting via Process Parameter Control. Mater. Sci. Eng. A 2020, 780, 139184. [Google Scholar] [CrossRef]
- Oros, T.J.; Son, K.; Hodge, A.M.; Kassner, M.E. The High Temperature Creep and Fracture Behavior of Inconel 718 Produced by Additive Manufacturing. Scr. Mater. 2024, 251, 116208. [Google Scholar] [CrossRef]
- Xu, Z.; Murray, J.W.; Hyde, C.J.; Clare, A.T. Effect of Post Processing on the Creep Performance of Laser Powder Bed Fused Inconel 718. Addit. Manuf. 2018, 24, 486–497. [Google Scholar] [CrossRef]
- Zhou, F.; Hu, X.; Zhou, Y.; Xu, Z.; Guo, C.; Li, G.; Li, Z.; Huang, Y.; Zhu, Q. Effects of Post-Heat Treatment on Anisotropic Mechanical Properties of Laser Additively Manufactured IN718. Mater. Sci. Eng. A 2023, 877, 145144. [Google Scholar] [CrossRef]
- Bhuwal, A.S.; Pang, Y.; Maskery, I.; Ashcroft, I.; Sun, W.; Liu, T. Creep Characterization of Inconel 718 Lattice Metamaterials Manufactured by Laser Powder Bed Fusion. Adv. Eng. Mater. 2023, 2300643. [Google Scholar] [CrossRef]
- Wang, L.Y.; Wang, Y.C.; Zhou, Z.J.; Wan, H.Y.; Li, C.P.; Chen, G.F.; Zhang, G.P. Small Punch Creep Performance of Heterogeneous Microstructure Dominated Inconel 718 Fabricated by Selective Laser Melting. Mater. Des. 2020, 195, 109042. [Google Scholar] [CrossRef]
- Wang, Y.C.; Wang, L.Y.; Zhang, B.; Song, Z.M.; Luo, X.M.; Zhang, G.P. Building Height-Related Creep Properties of Inconel 718 Superalloy Fabricated by Laser Powder Bed Fusion. Mater. Sci. Eng. A 2022, 854, 143861. [Google Scholar] [CrossRef]
- Chizari, A.M.; Kermanpur, A.; Foroozmehr, E.; Rezaeian, A.; Sadeghi, F.; Rezaei, A. Effect of Solution Treatment on Microstructure and Stress Rupture Properties of Precipitation Hardened IN718 Superalloy Fabricated by Laser Powder-Bed Fusion Process. J. Mater. Res. Technol. 2022, 21, 2296–2308. [Google Scholar] [CrossRef]
- Badrossamay, M.; Rezaei, A.; Foroozmehr, E.; Maleki, A.; Foroozmehr, A. Effects of Increasing Powder Layer Thickness on the Microstructure, Mechanical Properties, and Failure Mechanism of IN718 Superalloy Fabricated by Laser Powder Bed Fusion. Int. J. Adv. Manuf. Technol. 2022, 118, 1703–1717. [Google Scholar] [CrossRef]
- Wang, Q.; Ge, S.; Wu, D.; Ma, H.; Kang, J.; Liu, M.; Wang, T.; Narayanaswamy, B.; Su, R. Evolution of Microstructural Characteristics during Creep Behavior of Inconel 718 Alloy. Mater. Sci. Eng. A 2022, 857, 143859. [Google Scholar] [CrossRef]
- Popovich, V.A.; Borisov, E.V.; Heurtebise, V.; Riemslag, T.; Popovich, A.A.; Sufiiarov, V.S. Creep and Thermomechanical Fatigue of Functionally Graded Inconel 718 Produced by Additive Manufacturing. In Minerals, Metals and Materials Series; Springer International Publishing: Berlin/Heidelberg, Germany, 2018; Volume Part F12, pp. 85–97. ISBN 9783319725253. [Google Scholar]
- Tillmann, W.; Schaak, C.; Nellesen, J.; Schaper, M.; Aydinöz, M.E.; Hoyer, K.P. Hot Isostatic Pressing of IN718 Components Manufactured by Selective Laser Melting. Addit. Manuf. 2017, 13, 93–102. [Google Scholar] [CrossRef]
- Yeh, A.C.; Lu, K.W.; Kuo, C.M.; Bor, H.Y.; Wei, C.N. Effect of Serrated Grain Boundaries on the Creep Property of Inconel 718 Superalloy. Mater. Sci. Eng. A 2011, 530, 525–529. [Google Scholar] [CrossRef]
- Song, B.; Dong, S.; Liu, Q.; Liao, H.; Coddet, C. Vacuum Heat Treatment of Iron Parts Produced by Selective Laser Melting: Microstructure, Residual Stress and Tensile Behavior. Mater. Des. 2014, 54, 727–733. [Google Scholar] [CrossRef]
- Ashby, M.F. Engineering Materials. 1, An Introduction to Properties, Applications and Design, 5th ed.; Jones, D.R.H., Ed.; Butterworth-Heinemann: Amsterdam, The Netherlands, 2019; ISBN 9780081020517. [Google Scholar]
- Ashby, M.F. Materials: Engineering, Science, Processing and Design, 4th ed.; Shercliff, H., Cebon, D., Eds.; Butterworth-Heinemann: Cambridge, MA, USA, 2019; ISBN 9780081023761. [Google Scholar]
- Wu, X.; Injeti, G. Life Prediction of Gas Turbine Materials. In Gas Turbines; Sciyo: London, UK, 2010; pp. 215–282. [Google Scholar]
- Wadsworth, J.; Ruano, O.A.; Sherby, O.D. Denuded Zones, Diffusional Creep, and Grain Boundary Sliding. Metall. Mater. Trans. A 2002, 33, 219–229. [Google Scholar] [CrossRef]
- Ruano, O.A.; Wadsworth, J.; Sherby, O.D. Low Stress Creep of α-Zr at Intermediate Temperatures. Mater. Sci. Eng. 1986, 84, L1–L6. [Google Scholar] [CrossRef]
- Mittemeijer, E.J. Fundamentals of Materials Science the Microstructure-Property Relationship Using Metals as Model Systems, 2nd ed.; Springer: Berlin/Heidelberg, Germany, 2021. [Google Scholar]
- Liu, F.; Cocks, A.C.F.; Tarleton, E. Dislocation Climb Driven by Lattice Diffusion and Core Diffusion. J. Mech. Phys. Solids 2023, 176, 105300. [Google Scholar] [CrossRef]
- Rojas-Ulloa, C.; Morch, H.; Tuninetti, V.; Tchoufang Tchuindjang, J.; Pensis, O.; Di Giovanni, A.; Mertens, A.; Duchêne, L.; Habraken, A.M. Microstructure Evolution of Incoloy 800H in Industrial Environment and Correlation with Creep Mechanisms from Literature. Mater. High Temp. 2024, 41, 311–321. [Google Scholar] [CrossRef]
- Kassner, M.E.; Hayes, T.A. Creep Cavitation in Metals. Int. J. Plast. 2003, 19, 1715–1748. [Google Scholar] [CrossRef]
- Sandström, R. Basic Modeling and Theory of Creep of Metallic Materials; Springer: Berlin/Heidelberg, Germany, 2024. [Google Scholar]
- Frost, H.; Ashby, M. Deformation-Mechanism Maps: The Plasticity and Creep of Metals and Ceramics; Material Science, Engineering; Franklin Book Company: Elkins Park, PA, USA, 1982. [Google Scholar]
- Ghoniem, N.M.; Matthews, J.R.; Amadeo, R.J. A Dislocation Model for Creep in Engineering Materials. Res. Mech. 1990, 29, 197–219. [Google Scholar]
- Riedlsperger, F.; Wojcik, T.; Buzolin, R.; Zuderstorfer, G.; Speicher, M.; Sommitsch, C.; Sonderegger, B. Microstructural Insights into Creep of Ni-Based Alloy 617 at 700 °C Provided by Electron Microscopy and Modelling. Mater. Charact. 2023, 198, 112720. [Google Scholar] [CrossRef]
- Riedlsperger, F.; Krenmayr, B.; Zuderstorfer, G.; Fercher, B.; Niederl, B.; Schmid, J.; Sonderegger, B. Application of an Advanced Mean-Field Dislocation Creep Model to P91 for Calculation of Creep Curves and Time-to-Rupture Diagrams. Materialia 2020, 12, 100760. [Google Scholar] [CrossRef]
- Yadav, S.D.; Sonderegger, B.; Stracey, M.; Poletti, C. Modelling the Creep Behaviour of Tempered Martensitic Steel Based on a Hybrid Approach. Mater. Sci. Eng. A 2016, 662, 330–341. [Google Scholar] [CrossRef]
- Orowan, E. Problems of Plastic Gliding. Proc. Phys. Soc. 1940, 52, 8. [Google Scholar] [CrossRef]
- Wu, S.; Song, H.Y.; Peng, H.Z.; Hodgson, P.D.; Wang, H.; Wu, X.H.; Zhu, Y.M.; Lam, M.C.; Huang, A.J. A Microstructure-Based Creep Model for Additively Manufactured Nickel-Based Superalloys. Acta Mater. 2022, 224, 117528. [Google Scholar] [CrossRef]
- Morch, H. Thermomechanical Modelling of the Creep-Fatigue Behaviour and Damage of Nickel-Alloy Receiver Tubes Used in Concentrated Solar Power Plants; University of Liège: Liège, Belgium, 2022. [Google Scholar]
- Rabotnov, Y.N. A Mechanism of the Long Term Fracture; Izdat. AN SSSR: Moscow, Russia, 1959. (In Russian) [Google Scholar]
- Vilanova, M.; Garciandia, F.; Sainz, S.; Jorge-Badiola, D.; Guraya, T.; San Sebastian, M. The Limit of Hot Isostatic Pressing for Healing Cracks Present in an Additively Manufactured Nickel Superalloy. J. Mater. Process. Technol. 2022, 300, 117398. [Google Scholar] [CrossRef]
- Lesyk, D.A.; Martinez, S.; Mordyuk, B.N.; Pedash, O.O.; Dzhemelinskyi, V.V.; Lamikiz, A. Comparison of Effects of Ultrasonic and Shot Peening Treatments on Surface Properties of L-PBF-Manufactured Superalloy Subjected to HIP Combined with Heat Treatments. In Post-Processing Techniques for Additive Manufacturing; CRC Press: Boca Raton, FL, USA, 2023; pp. 207–243. [Google Scholar]
- Li, Y.; Podaný, P.; Koukolíková, M.; Džugan, J.; Krajňák, T.; Veselý, J.; Raghavan, S. Effect of Heat Treatment on Creep Deformation and Fracture Properties for a Coarse-Grained Inconel 718 Manufactured by Directed Energy Deposition. Materials 2023, 16, 1377. [Google Scholar] [CrossRef] [PubMed]
- Pignatelli, A. Application of the Hot Isostatic Pressing on Inconel 738 Above Its Solidus Temperature for Microstructural Enhancement; Polytechnic of Turin: Turin, Italy, 2023. [Google Scholar]
- Rogers, B. Microstructure Development in Direct Metal Laser Sintered Inconel Alloy 718; Arizona State University: Tempe, AZ, USA, 2017. [Google Scholar]
- Ma, T.; Zhang, G.P.; Tan, P.; Zhang, B. Effects of Homogenization Temperature on Creep Performance of Laser Powder Bed Fusion-Fabricated Inconel 718 at 650 °C. Mater. Sci. Eng. A 2022, 853, 143794. [Google Scholar] [CrossRef]
- Qin, S.; Herzog, S.; Kaletsch, A.; Broeckmann, C. Effects of HIP on Microstructure and Creep Properties of Inconel 718 Fabricated by Laser Powder-Bed Fusion. In Proceedings of the Euro PM 2019 Congress & Exhibition, Proceedings: EuroPM, Maastricht, The Netherlands, 13–16 October 2019. [Google Scholar]
- Ma, T.; Zhang, B.; Wang, L.Y.; Song, Z.M.; Luo, X.M.; Liu, C.S.; Zhang, G.P. Anisotropy of Small Punch Creep Performance of Selective Laser Melted GH4169 at 650 °C. Mater. Sci. Eng. A 2021, 806, 140608. [Google Scholar] [CrossRef]
- Shassere, B.; Greeley, D.; Okello, A.; Kirka, M.; Nandwana, P.; Dehoff, R. Correlation of Microstructure to Creep Response of Hot Isostatically Pressed and Aged Electron Beam Melted Inconel 718. Metall. Mater. Trans. A 2018, 49, 5107–5117. [Google Scholar] [CrossRef]
- Sanchez, S.; Rengasamy, D.; Hyde, C.J.; Figueredo, G.P.; Rothwell, B. Machine Learning to Determine the Main Factors Affecting Creep Rates in Laser Powder Bed Fusion. J. Intell. Manuf. 2021, 32, 2353–2373. [Google Scholar] [CrossRef] [PubMed]
- Zhao, Y.; Ma, Z.; Yu, L.; Dong, J.; Liu, Y. The Simultaneous Improvements of Strength and Ductility in Additive Manufactured Ni-Based Superalloy via Controlling Cellular Subgrain Microstructure. J. Mater. Sci. Technol. 2021, 68, 184–190. [Google Scholar] [CrossRef]
- Zhang, S.; Lin, X.; Wang, L.; Yu, X.; Hu, Y.; Yang, H.; Lei, L.; Huang, W. Strengthening Mechanisms in Selective Laser-Melted Inconel718 Superalloy. Mater. Sci. Eng. A 2021, 812, 141145. [Google Scholar] [CrossRef]
- Special Metals INCONEL ® Alloy 718 2007. Available online: https://www.specialmetals.com/documents/technical-bulletins/inconel/inconel-alloy-718.pdf (accessed on 1 September 2007).
- Dai, S.; Zhu, J.; Yan, X.; Wu, S.; Liu, Y.; Gao, X.; Fraser, H.; Hodgson, P.; Zhu, Y.; Heilmaier, M.; et al. Unique Yttria Nanoparticle Strengthening in an Inconel 718 Superalloy Fabricated by Additive Manufacturing. Adv. Mater. Technol. 2024, 9, 2301421. [Google Scholar] [CrossRef]
- Kakehi, K.; Banoth, S.; Kuo, Y.L.; Hayashi, S. Effect of Yttrium Addition on Creep Properties of a Ni-Base Superalloy Built up by Selective Laser Melting. Scr. Mater. 2020, 183, 71–74. [Google Scholar] [CrossRef]
- Wang, L.; Yang, F.; Gui, T.; Huang, W.; Lin, X.; Huang, W. Improved Creep Properties of Inconel 718 Fabricated by Selective Laser Melting from Boron-Phosphorus Interaction. Mater. Res. Lett. 2024, 12, 661–667. [Google Scholar] [CrossRef]




















| Ni | Cr | Fe | Nb | Mo | Ti | Al | C | |
|---|---|---|---|---|---|---|---|---|
| wt.% | Bal. | 18–19.6 | 17.6–22 | 4.9–5.4 | 2.85–3.4 | 0.9–1.04 | 0.3–0.72 | 0.03–0.04 |
| Manufacturing Process | Test Conditions | Creep Lifetime [h] | Minimum Creep Rate [10−5 h−1] | Reference |
|---|---|---|---|---|
| AB LPBF + Stress Relief Cast | 700 °C/325 MPa | 712 2000 | / | [91] |
| AB LPBF Wrought | 650 °C/750 MPa | 12 143 | 200 4.06 | [12] [93] |
| AB LPBF Wrought | 650 °C/620 MPa | 7.03 23 | / | [92] |
| AB LPBF Cast and Wrought | 650 °C/550 MPa | 270 1200 | / | [15] |
| AB LPBF Wrought | 650 °C/500 MPa | 107 ± 17 409 ± 8 | 12.4 ± 1.1 2.47 ± 0.1 | [67] |
| Reference | Temperature [°C] | Stress Range [MPa] | Stress Exponent n [-] | Test Type | Identified Creep Mechanism |
|---|---|---|---|---|---|
| Pröbstle et al. [18] | 630 °C | 900–1100 | 16–22 | Compressive | Dislocation creep |
| Bhowmik et al. [100] | 550 °C 650 °C 700 °C | 600–730 | 16.1–20 16.7–19.6 12.2–18.6 | Tensile | Dislocation creep |
| Oros et al. [102] | 650 °C 704 °C | 488–819 398–563 | 12.8 | Tensile | Other (Power-Law Breakdown) |
| Rogers et al. [138] | 704.4 °C 760 °C | 417.5–584.5 324–486 | 5.95 | Tensile | Dislocation creep |
| Ma et al. [139] | 650 °C | 182.72–190.94 | 4.83–8.67 | Small Punch Creep | Not explicitly mentioned |
| Qin et al. [140] | 760 °C | 170–250 | 2.23–4.46 | Tensile | Dislocation creep |
| Kaletsch et al. [7] | 760 °C | 130–250 | 2.25–3.55 | Tensile | Dislocation creep |
| HT | Ref. | γ″ Size [nm] | γ″ Volume Fraction [%] | Subgrains | TB | Grain Size | Grain Shape | Laves | δ | GB Carbides | TTR [h] | × 109 [1/s] |
|---|---|---|---|---|---|---|---|---|---|---|---|---|
| 7 | [96] | No data | No data | ☐ | ☒ | ++ | Serrated uneven equiaxed | / | / | ++ | 677 | 89 |
| 11 | [96] | No data | No data | ☐ | ☒ | ++ | Serrated uneven equiaxed | / | / | ++ | 493 | 173 |
| 16 | [17] | No data | No data | ☐ | ☒ | ++ | Equiaxed | + | / | + | ±131.5 | ≈3.03 |
| 17 | [96] | No data | No data | ☐ | ☒ | ++ | Uneven equiaxed | / | / | ++ | 151 | 174 |
| 18 | [96] | No data | No data | ☐ | ☒ | ++ | Uneven equiaxed | / | / | + | 462 | 137 |
| 19 | [108] | No data | No data | No data | No data | + | Uneven equiaxed | No data | / | + | ≈52 | 4820 |
| 20 | [96] | No data | No data | ☐ | ☒ | + | Uneven equiaxed | / | / | + | 230 | 159 |
| 21 | [17] | 17.2 | 13 | ☐ | ☒ | + | Equiaxed | + | / | + | 131.5 | 3.03 |
| 24 | [17] | No data | No data | ☐ | ☐ | - | Columnar | + | / | + | 25.1 | 11.9 |
| 15 | [1] | 150 by 30 | No data | No data | ☐ | - | Columnar | + | / | No data | ≈41 | ≈75 |
| 26 | [96] | No data | No data | ☐ | ☐ | +/- | Columnar + equiaxed | / | - | +/- | 426 | 190 |
| 28 | [108] | 65.2 | No data | No data | No data | - | Columnar + equiaxed | No data | - | +/- | ≈78 | 1060 |
| 29 | [96] | No data | No data | ☒ | ☐ | - | Columnar + equiaxed | + | + | +/- | 254 | 159 |
| 31 | [1] | 100 by 20 | No data | ☒ | ☐ | - | Columnar | + | + | No data | ≈11 | ≈500 |
| 32 | [96] | No data | No data | ☒ | ☐ | - | Columnar + equiaxed | ++ | ++ | / | 134 | 1070 |
| 33 | [17] | 16.6 | 9.2 | ☒ | ☐ | - | Columnar | + | + | / | 18.6 | 15.3 |
| 33 | [108] | 33.6 | No data | ☒ | No data | - | Columnar + equiaxed | No data | + | - | ≈30 | 6940 |
| Heat Treatment | Microstructural Effect | Impact on Creep Behavior |
|---|---|---|
| HA Homogenization (1060–1180 °C) + Aging (620–760 °C) |
|
|
| SA Solution (850–1060 °C) + Aging (620–760 °C) |
|
|
| DA Direct Aging (620–760 °C) |
|
|
Disclaimer/Publisher’s Note: The statements, opinions and data contained in all publications are solely those of the individual author(s) and contributor(s) and not of MDPI and/or the editor(s). MDPI and/or the editor(s) disclaim responsibility for any injury to people or property resulting from any ideas, methods, instructions or products referred to in the content. |
© 2025 by the authors. Licensee MDPI, Basel, Switzerland. This article is an open access article distributed under the terms and conditions of the Creative Commons Attribution (CC BY) license (https://creativecommons.org/licenses/by/4.0/).
Share and Cite
Bryndza, G.; Tchuindjang, J.T.; Chen, F.; Habraken, A.M.; Sepúlveda, H.; Tuninetti, V.; Mertens, A.; Duchêne, L. Review of the Microstructural Impact on Creep Mechanisms and Performance for Laser Powder Bed Fusion Inconel 718. Materials 2025, 18, 276. https://doi.org/10.3390/ma18020276
Bryndza G, Tchuindjang JT, Chen F, Habraken AM, Sepúlveda H, Tuninetti V, Mertens A, Duchêne L. Review of the Microstructural Impact on Creep Mechanisms and Performance for Laser Powder Bed Fusion Inconel 718. Materials. 2025; 18(2):276. https://doi.org/10.3390/ma18020276
Chicago/Turabian StyleBryndza, Guillian, Jérôme Tchoufang Tchuindjang, Fan Chen, Anne Marie Habraken, Héctor Sepúlveda, Víctor Tuninetti, Anne Mertens, and Laurent Duchêne. 2025. "Review of the Microstructural Impact on Creep Mechanisms and Performance for Laser Powder Bed Fusion Inconel 718" Materials 18, no. 2: 276. https://doi.org/10.3390/ma18020276
APA StyleBryndza, G., Tchuindjang, J. T., Chen, F., Habraken, A. M., Sepúlveda, H., Tuninetti, V., Mertens, A., & Duchêne, L. (2025). Review of the Microstructural Impact on Creep Mechanisms and Performance for Laser Powder Bed Fusion Inconel 718. Materials, 18(2), 276. https://doi.org/10.3390/ma18020276

