Flexible and Compressible Nanostructure-Assembled Aramid Nanofiber/Silica Composites Aerogel
Abstract
1. Introduction
2. Materials and Methods
2.1. Raw Materials
2.2. Preparation of ANF/Silica Aerogels
2.2.1. Preparation of Aramid Nanofiber Solutions
2.2.2. Preparation of ANF Hydrogel
2.2.3. Preparation of Silica Sol
2.2.4. Preparation of ANF/Silica Aerogel
2.3. Characterization
3. Results and Discussion
3.1. The Microstructure of Aramid Nanofiber/SiO2 Composite Aerogels
3.1.1. Effect of the Incorporation of Modifier APTES
3.1.2. Effect of Impregnation Duration of ANF Hydrogel with Silica Sol
3.2. Mechanical Robustness and Flexibility
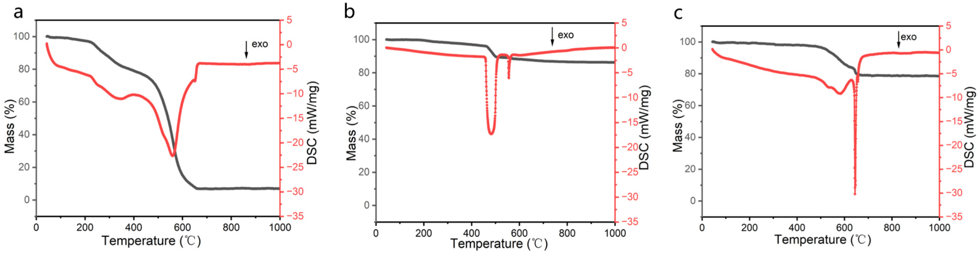
3.3. Thermal Stability Analysis
3.4. Thermal Insulation Performance Analysis
4. Conclusions
Author Contributions
Funding
Institutional Review Board Statement
Informed Consent Statement
Data Availability Statement
Conflicts of Interest
References
- Li, C.; Zhang, G.; Lin, L.; Wu, T.; Brunner, S.; Galmarini, S.; Bi, J.; Malfait, W.J.; Zhao, S.; Ostrikov, K. Silica aerogels: From materials research to industrial applications. Int. Mater. Rev. 2023, 68, 862–900. [Google Scholar] [CrossRef]
- Forgács, A.; Ranga, M.; Fábián, I.; Kalmár, J. Interaction of Aqueous Bovine Serum Albumin with Silica Aerogel Microparticles: Sorption Induced Aggregation. Int. J. Mol. Sci. 2022, 23, 2816. [Google Scholar] [CrossRef] [PubMed]
- Dorcheh, A.S.; Abbasi, M.H. Silica aerogel; synthesis, properties and characterization. J. Mater. Process. Technol. 2008, 199, 10–26. [Google Scholar] [CrossRef]
- Pierre, A.C.; Pajonk, G.M. Chemistry of aerogels and their applications. Chem. Rev. 2002, 102, 4243–4265. [Google Scholar] [CrossRef] [PubMed]
- Zhang, Z.; Wang, X.; Wu, Y.; Zou, W.; Wu, X.; Shen, J. Aerogels and Their Applications—A Short Review. J. Chin. Ceram. Soc. 2018, 46, 1426–1446. [Google Scholar]
- Zhao, X.; Zhu, Y.; Wang, Y.; Li, Z.; Sun, Y.; Zhao, S.; Wu, X.; Cao, D. Hydrophobic, blocky silica-reduced graphene oxide hybrid sponges as highly efficient and recyclable sorbents. Appl. Surf. Sci. 2019, 486, 303–311. [Google Scholar] [CrossRef]
- Li, X.; Wang, Q.; Li, H.; Ji, H.; Sun, X.; He, J. Effect of sepiolite fiber on the structure and properties of the sepiolite/silica aerogel composite. J. Sol-Gel Sci. Technol. 2013, 67, 646–653. [Google Scholar] [CrossRef]
- Shi, D.; Sun, Y.; Feng, J.; Yang, X.; Han, S.; Mi, C.; Jiang, Y.; Qi, H. Experimental investigation on high temperature anisotropic compression properties of ceramic-fiber-reinforced SiO2 aerogel. Mater. Sci. Eng. A 2013, 585, 25–31. [Google Scholar] [CrossRef]
- Yang, X.; Sun, Y.; Shi, D.; Liu, J. Experimental investigation on mechanical properties of a fiber-reinforced silica aerogel composite. Mater. Sci. Eng. A 2011, 528, 4830–4836. [Google Scholar] [CrossRef]
- Yuan, B.; Ding, S.; Wang, D.; Wang, G.; Li, H. Heat insulation properties of silica aerogel/glass fiber composites fabricated by press forming. Mater. Lett. 2012, 75, 204–206. [Google Scholar] [CrossRef]
- Liao, Y.; Wu, H.; Ding, Y.; Yin, S.; Wang, M.; Cao, A. Engineering thermal and mechanical properties of flexible fiber-reinforced aerogel composites. J. Sol-Gel Sci. Technol. 2012, 63, 445–456. [Google Scholar] [CrossRef]
- Wu, G.; Yu, Y.; Cheng, X.; Zhang, Y. Preparation and surface modification mechanism of silica aerogels via ambient pressure drying. Mater. Chem. Phys. 2011, 129, 308–314. [Google Scholar] [CrossRef]
- Hamzehlou, S.; Aboudzadeh, M.A. Special Issue on “Multifunctional Hybrid Materials Based on Polymers: Design and Performance”. Processes 2021, 9, 1448. [Google Scholar] [CrossRef]
- Aboudzadeh, M.A.; Iturrospe, A.; Arbe, A.; Grzelczak, M.; Barroso-Bujans, F. Cyclic Polyethylene Glycol as Nanoparticle Surface Ligand. ACS Macro Lett. 2020, 9, 1604–1610. [Google Scholar] [CrossRef] [PubMed]
- Zhang, Y.-Q.; Yu, P.-L.; Sun, W.-F.; Wang, X. Ameliorated Electrical-Tree Resistant Characteristics of UV-Initiated Cross-Linked Polyethylene Nanocomposites with Surface-Functionalized Nanosilica. Processes 2021, 9, 313. [Google Scholar] [CrossRef]
- Gurav, J.L.; Rao, A.V.; Nadargi, D.Y. Study of thermal conductivity and effect of humidity on HMDZ modified TEOS based aerogel dried at ambient pressure. J. Sol-Gel Sci. Technol. 2009, 50, 275–280. [Google Scholar] [CrossRef]
- Sarawade, P.B.; Kim, J.-K.; Kim, H.-K.; Kim, H.T. High specific surface area TEOS-based aerogels with large pore volume prepared at an ambient pressure. Appl. Surf. Sci. 2007, 254, 574–579. [Google Scholar] [CrossRef]
- Garcia, J.M.; Garcia, F.C.; Serna, F.; de la Pena, J.L. High-performance aromatic polyamides. Prog. Polym. Sci. 2010, 35, 623–686. [Google Scholar] [CrossRef]
- Lyu, J.; Liu, Z.; Wu, X.; Li, G.; Fang, D.; Zhang, X. Nanofibrous Kevlar Aerogel Films and Their Phase-Change Composites for Highly Efficient Infrared Stealth. ACS Nano 2019, 13, 2236–2245. [Google Scholar] [CrossRef] [PubMed]
- Li, J.; Huang, J.; Hua, L.; Lu, Z. Poly (vinyl alcohol) assisted regulation of aramid nanofibers aerogel structure for thermal insulation and adsorption. Microporous Mesoporous Mater. 2022, 339, 111997. [Google Scholar] [CrossRef]
- Liu, Z.; Lyu, J.; Fang, D.; Zhang, X. Nanofibrous Kevlar Aerogel Threads for Thermal Insulation in Harsh Environments. ACS Nano 2019, 13, 5703–5711. [Google Scholar] [CrossRef] [PubMed]
- Zhai, S.; Wang, H.; Fu, J.; Yu, K.; Meng, C. Hybrid aerogel composites reinforced with aramid fiber fabric for thermal protection. J. Sol-Gel Sci. Technol. 2022, 103, 416–424. [Google Scholar] [CrossRef]
- An, L.; Liang, B.; Guo, Z.; Wang, J.; Li, C.; Huang, Y.; Hu, Y.; Li, Z.; Armstrong, J.N.; Zhou, C.; et al. Wearable Aramid-Ceramic Aerogel Composite for Harsh Environment. Adv. Eng. Mater. 2021, 23, 2001169. [Google Scholar] [CrossRef]
- Almeida, C.M.R.; Ghica, M.E.; Ramalho, A.L.; Duraes, L. Silica-based aerogel composites reinforced with different aramid fibres for thermal insulation in Space environments. J. Mater. Sci. 2021, 56, 13604–13619. [Google Scholar] [CrossRef]
- Ghica, M.E.; Almeida, C.M.R.; Fonseca, M.; Portugal, A.; Duraes, L. Optimization of Polyamide Pulp-Reinforced Silica Aerogel Composites for Thermal Protection Systems. Polymers 2020, 12, 1278. [Google Scholar] [CrossRef] [PubMed]
- Yang, B.; Wang, L.; Zhang, M.; Luo, J.; Ding, X. Timesaving, High-Efficiency Approaches to Fabricate Aramid Nanofibers. ACS Nano 2019, 13, 7886–7897. [Google Scholar] [CrossRef] [PubMed]
- Gan, L.; Qiu, F.; Yue, X.; Chen, Y.; Xu, J.; Zhang, T. Aramid nanofiber aerogel membrane extract from waste plastic for efficient separation of surfactant-stabilized oil-in-water emulsions. J. Environ. Chem. Eng. 2021, 9, 106137. [Google Scholar] [CrossRef]
- Xu, L.; Zhu, W.; Chen, Z.; Su, D. Double-Network MK Resin-Modified Silica Aerogels for High-Temperature Thermal Insulation. ACS Appl. Mater. Interfaces 2023, 15, 44238–44247. [Google Scholar] [CrossRef] [PubMed]
- Chen, D.; Gao, H.; Jin, Z.; Wang, J.; Dong, W.; Huang, X.; Wang, G. Vacuum-Dried Synthesis of Low-Density Hydrophobic Monolithic Bridged Silsesquioxane Aerogels for Oil/Water Separation: Effects of Acid Catalyst and Its Excellent Flexibility. ACS Appl. Nano Mater. 2018, 1, 933–939. [Google Scholar] [CrossRef]
- Mukherjee, M.; Kumar, S.; Bose, S.; Das, C.K.; Kharitonov, A.P. Study on the mechanical, rheological, and morphological properties of short Kevlar™ Fiber/s-PS composites. Polym. Plast. Technol. Eng. 2008, 47, 623–629. [Google Scholar] [CrossRef]
- Rojas, F.; Kornhauser, I.; Felipe, C.; Esparza, J.M.; Cordero, S.; Domínguez, A.; Riccardo, J.L. Capillary condensation in heterogeneous mesoporous networks consisting of variable connectivity and pore-size correlation. Phys. Chem. Chem. Phys. 2002, 4, 2346–2355. [Google Scholar] [CrossRef]
- Li, Z.; Cheng, X.; He, S.; Shi, X.; Gong, L.; Zhang, H. Aramid fibers reinforced silica aerogel composites with low thermal conductivity and improved mechanical performance. Compos. A Appl. Sci. Manuf. 2016, 84, 316–325. [Google Scholar] [CrossRef]
- Wu, G.; Yu, Y.; Cheng, X.; Zhang, Y. Structure and properties of monolithic silica aerogels by methyltrimethoxysilane. J. Chin. Silic. Soc. 2009, 37, 1206–1211. [Google Scholar]
- Li, Z.; Gong, L.; Cheng, X.; He, S.; Li, C.; Zhang, H. Flexible silica aerogel composites strengthened with aramid fibers and their thermal behavior. Mater. Des. 2016, 99, 349–355. [Google Scholar] [CrossRef]
- Hayase, G.; Kugimiya, K.; Ogawa, M.; Kodera, Y.; Kanamori, K.; Nakanishi, K. The thermal conductivity of polymethylsilsesquioxane aerogels and xerogels with varied pore sizes for practical application as thermal superinsulators. J. Mater. Chem. A 2014, 2, 6525–6531. [Google Scholar] [CrossRef]








| Samples | Silica Mass (%) | Specific Surface Area (m2/g) | Average Pore Size (nm) | Thermal Conductivity (mW m−1 K−1) | Compressive Stress at 60% Strain (MPa) |
|---|---|---|---|---|---|
| Com-0 | 0 | 253.58 | 25.31 | 30 ± 3 | 0.12 |
| Com-4 | 90% | 391.97 | 5.588 | 41 ± 2 | 0.52 |
| Com-8 | 92% | 397.33 | 5.169 | 34 ± 3 | 0.64 |
| Com-12 | 95% | 418.32 | 5.202 | 30 ± 3 | 1.10 |
Disclaimer/Publisher’s Note: The statements, opinions and data contained in all publications are solely those of the individual author(s) and contributor(s) and not of MDPI and/or the editor(s). MDPI and/or the editor(s) disclaim responsibility for any injury to people or property resulting from any ideas, methods, instructions or products referred to in the content. |
© 2024 by the authors. Licensee MDPI, Basel, Switzerland. This article is an open access article distributed under the terms and conditions of the Creative Commons Attribution (CC BY) license (https://creativecommons.org/licenses/by/4.0/).
Share and Cite
Zhang, C.; Li, J.; Jiang, J.; Hu, X.; Yang, S.; Wang, K.; Guo, A.; Du, H. Flexible and Compressible Nanostructure-Assembled Aramid Nanofiber/Silica Composites Aerogel. Materials 2024, 17, 1938. https://doi.org/10.3390/ma17091938
Zhang C, Li J, Jiang J, Hu X, Yang S, Wang K, Guo A, Du H. Flexible and Compressible Nanostructure-Assembled Aramid Nanofiber/Silica Composites Aerogel. Materials. 2024; 17(9):1938. https://doi.org/10.3390/ma17091938
Chicago/Turabian StyleZhang, Chensi, Jiangtao Li, Junpeng Jiang, Xiaoxia Hu, Shuo Yang, Kuan Wang, Anran Guo, and Haiyan Du. 2024. "Flexible and Compressible Nanostructure-Assembled Aramid Nanofiber/Silica Composites Aerogel" Materials 17, no. 9: 1938. https://doi.org/10.3390/ma17091938
APA StyleZhang, C., Li, J., Jiang, J., Hu, X., Yang, S., Wang, K., Guo, A., & Du, H. (2024). Flexible and Compressible Nanostructure-Assembled Aramid Nanofiber/Silica Composites Aerogel. Materials, 17(9), 1938. https://doi.org/10.3390/ma17091938

