Influence of Various Heat Treatments on Microstructures and Mechanical Properties of GH4099 Superalloy Produced by Laser Powder Bed Fusion
Abstract
1. Introduction
2. Materials and Methods
2.1. Materials and Apparatus
2.2. Microstructural Analysis
2.3. Tensile Properties Characteristics
3. Results
3.1. Microstructural Characteristics
3.1.1. Solid Solution Heat Treatment
3.1.2. Solid Solution and Aging Condition
3.2. Mechanical Properties
4. Discussion
4.1. The Evolution of Carbide Phase
4.2. The Differences of Mechanical Performance
5. Conclusions
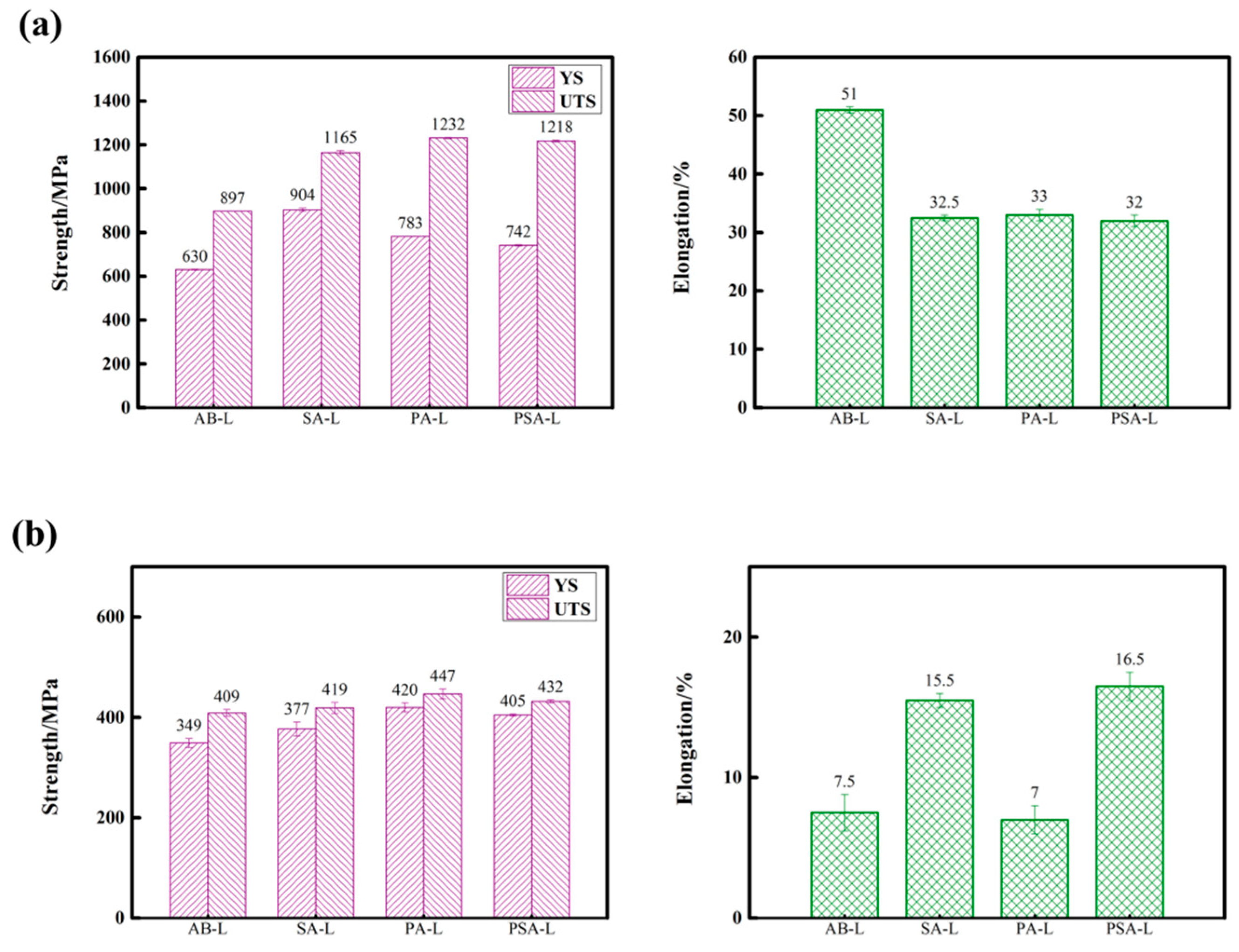
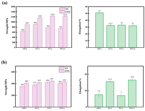
- The as-built alloy exhibits the typical cellular/dendrite substructures within columnar grains with <100> crystal orientation along the building direction and without a γ′ phase. Very fine substructures and high-density entangled dislocations contribute to high RT ductility (approximately 51% elongation and 67% area reduction), but embrittlement occurs at 900 °C (typical cleavage facets).
- Upon the standard solid solution heat treatment, the molten pool boundaries in the SA sample are eliminated but the columnar grains still remain. A small quantity of discrete M23C6 carbide particles are distributed along grain boundaries and original substructure boundaries. With increases in solid solution temperature, the transformation from columnar grains to equiaxed grains occurs due to the recrystallization process. The fine primary MC particles merge and grow up. Then, after heat treatment by the subsequent secondary solid solution, the discrete M23C6 carbide particles again precipitate along grain boundaries and original substructure boundaries according to the precipitation reaction MC + γ→M23C6 + γ′. Meanwhile, the large size of the cubic γ′ phase precipitates and grows. Following the aging process, the spherical γ′ phase uniformly disperses in the matrix among three different heat treatment samples while the size and volume fraction of the carbide phases in the three samples further increase.
- The SA sample shows the highest RT yield strength due to the presence of remaining entangled dislocations. The PA and PSA samples show similar RT yield strength and tensile strength. The fracture behaviors of all three samples are a combination of intergranular (GB cracks) and transgranular (dimples) cracking. However, a clear ductility dip during load testing at 900 °C comes up in the AB sample and three heat-treated samples. The large carbide particles with grains and the semi-continuous carbide particles at grain boundaries significantly prevent the movement of dislocations, giving rise to high strength and low ductility. Conversely, the discontinuous M23C6 carbide particles at GBs in the PSA sample can effectively prohibit grain boundaries from sliding. It thus achieves relatively high elongation at 900 °C. However, there are no exceptions that their fracture modes are inter-(quasi)granular cracking. The change in deformation mechanisms from room temperature to 900 °C might be the main cause of plasticity-embrittlement transformation.
Supplementary Materials
Author Contributions
Funding
Institutional Review Board Statement
Informed Consent Statement
Data Availability Statement
Acknowledgments
Conflicts of Interest
References
- Frazier, W.E. Metal additive manufacturing: A review. J. Mater. Eng. Perform. 2014, 23, 1917–1928. [Google Scholar] [CrossRef]
- Herzog, D.; Seyda, V.; Wycisk, E.; Emmelmann, C. Additive manufacturing of metals. Acta Mater. 2016, 117, 371–392. [Google Scholar] [CrossRef]
- Gu, D.D.; Meiners, W.; Wissenbach, K.; Poprawe, R. Laser additive manufacturing of metallic components: Materials, processes and mechanisms. Int. Mater. Rev. 2012, 57, 133–164. [Google Scholar] [CrossRef]
- Denlinger, E.R.; Heigel, J.C.; Michaleris, P.; Palmer, T.A. Effect of inter-layer dwell time on distortion and residual stress in additive manufacturing of titanium and nickel alloys. J. Mater. Process. Technol. 2015, 215, 123–131. [Google Scholar] [CrossRef]
- Gao, W.; Zhang, Y.D.; Ramani, R.K.; Chen, Y.; Williams, C.B.; Wang, C.C.; Shin, Y.C.; Zhang, S.; Zavattieri, P.D. The status, challenges, and future of additive manufacturing in engineering. Comput. Aided Des. 2015, 69, 65–89. [Google Scholar] [CrossRef]
- Hilairea, A.; Andrieua, E.; Wu, X.H. High-temperature mechanical properties of alloy 718 produced by laser powder bed fusion with different processing parameters. Addit. Manuf. 2019, 26, 147–160. [Google Scholar] [CrossRef]
- Wang, Z.H.; Lin, X.; Kanga, N.; Wang, Y.F.; Yu, X.B.; Tan, H.; Yang, H.O.; Huang, W.D. Making selective-laser-melted high-strength Al-Mg-Sc-Zr alloy tough via ultrafine and heterogeneous microstructure. Scr. Mater. 2021, 203, 114052. [Google Scholar] [CrossRef]
- Attallah, M.M.; Jennings, R.; Wang, X.Q.; Carter, L.N. Additive manufacturing of Ni-based superalloys: The outstanding issues. MRS Bull. 2016, 41, 758–764. [Google Scholar] [CrossRef]
- DebRoy, T.; Wei, H.L.; Zuback, J.S.; Mukherjee, T.; Elmer, J.W.; Milewski, J.O.; Beese, A.M.; Wilson-Heid, A.; De, A.; Zhang, W. Additive manufacturing of metallic components–process, structure and properties. Prog. Mater. Sci. 2018, 92, 112–224. [Google Scholar] [CrossRef]
- Chizari, A.M.; Kermanpur, A.; Foroozmehr, E.; Rezaeian, A.; Sadeghid, F.; Rezaei, A. Effect of solution treatment on microstructure and stress rupture properties of precipitation hardened IN718 superalloy fabricated by laser powder-bed fusion process. J. Mater. Technol. 2022, 21, 2296–2308. [Google Scholar]
- Teng, Q.; Li, S.; Wei, Q.; Shi, Y. Investigation on the influence of heat treatment on Inconel 718 fabricated by selective laser melting: Microstructure and high temperature tensile property. J. Manuf. Process. 2021, 61, 35–45. [Google Scholar] [CrossRef]
- Li, C.; White, R.; Fang, X.Y.; Weaver, M.; Guo, Y.B. Microstructure evolution characteristics of Inconel 625 alloy from selective laser melting to heat treatment. Mater. Sci. Eng. A 2017, 705, 20–31. [Google Scholar] [CrossRef]
- Yang, B.; Shang, Z.; Ding, J.; Lopez, J.; Jarosinski, W.; Sun, T.; Richter, N.; Zhang, Y.; Wang, H.; Zhang, X. Investigation of strengthening mechanisms in an additively manufactured Haynes 230 alloy. Acta Mater. 2022, 222, 117404. [Google Scholar] [CrossRef]
- Messé, O.M.D.M.; Muñoz-Moreno, R.; Illston, T.; Baker, S.; Stone, H.J. Metastable carbides and their impact on recrystallization in IN738LC processed by selective laser melting. Addit. Manuf. 2018, 22, 394–404. [Google Scholar]
- Kunze, K.; Etter, T.; Grässlin, J.; Shklover, V. Texture, anisotropy in microstructure and mechanical properties of IN738LC alloy processed by selective laser melting (SLM). Mater. Sci. Eng. A 2014, 620, 213–222. [Google Scholar] [CrossRef]
- Atabay, S.E.; Sanchez-Mata, O.; Muñiz-Lerma, J.A.; Gauvin, R.; Brochu, M. Microstructure and mechanical properties of rene 41 alloy manufactured by laser powder bed fusion. Mater. Sci. Eng. A 2022, 773, 138849. [Google Scholar] [CrossRef]
- Lopez-Galilea, I.; Ruttert, B.; He, J.Y.; Hammerschmidt, T.; Drautz, R.; Gault, B.; Theisen, W. Additive manufacturing of CMSX-4 Ni-base superalloy by selective laser melting: Influence of processing parameters and heat treatment. Addit. Manuf. 2019, 30, 100874. [Google Scholar] [CrossRef]
- Shaikh, A.S.; Schulz, F.; Minet-Lallemand, K.; Hryha, E. Microstructure and mechanical properties of Haynes 282 superalloy produced by laser powder bed fusion. Mater. Today Commun. 2021, 26, 102038. [Google Scholar] [CrossRef]
- Kuo, Y.L.; Horikawa, S.; Kakehi, K. Effects of build direction and heat treatment on creep properties of Ni-base superalloy built up by additive manufacturing. Scr. Mater. 2017, 129, 74–78. [Google Scholar] [CrossRef]
- Kreitcberg, A.; Brailovski, V.; Turenne, S. Elevated temperature mechanical behavior of IN625 alloy processed by laser powder-bed fusion. Mater. Sci. Eng. A 2017, 700, 540–553. [Google Scholar] [CrossRef]
- Zhang, L.X.; Shi, J.M.; Li, H.W.; Tian, X.Y.; Fen, J.C. Interfacial microstructure and mechanical properties of ZrB2-SiC-C ceramic and GH99 superalloy joints brazed with a Ti-modified FeCoNiCrCu high-entropy alloy. Mater. Des. 2016, 97, 230–238. [Google Scholar] [CrossRef]
- Tian, X.Y.; Fen, J.C.; Shi, J.M.; Li, H.W.; Zhang, L.X. Brazing of ZrB2-SiC-C ceramic and GH99 superalloy to form reticular seam with low residual stress. Ceram. Int. 2015, 41, 145–153. [Google Scholar] [CrossRef]
- Li, H.; Wei, H.; He, P.; Lin, T.; Feng, J.; Huang, Y. Effects of alloying elements in GH99 superalloy on microstructure evolution of reactive brazing TiAl/GH99 joints. Intermetallics 2013, 34, 69–74. [Google Scholar] [CrossRef]
- Hu, Y.L.; Lin, X.; Li, Y.L.; Wang, J.; Zhang, S.Y.; Lu, X.F.; Huang, W.D. Effect of heat treatment on the microstructural evolution and mechanical properties of GH4099 additive-manufactured by directed energy deposition. J. Alloys Compd. 2019, 800, 163–173. [Google Scholar] [CrossRef]
- Li, S.L.; Cui, H.Y.; Ma, L.; Li, S.L.; Cui, H.Y.; Ma, L.; Tan, Y.; Cui, W.; Liu, H.T.; Lv, J.; et al. Microstructure-property gradients in the GH4099 superalloy fabricated by directed energy deposition and its response to heat treatment. Mater. Character. 2023, 201, 112974. [Google Scholar] [CrossRef]
- Chang, K.; Tan, Y.; Ma, L.; You, X.G.; Lv, J.; Liu, B.; Li, P.T. A nickel-base superalloy with refined microstructures and excellent mechanical properties prepared by selective laser melting. Mater. Lett. 2022, 324, 132700. [Google Scholar] [CrossRef]
- Chang, K.; Ma, L.; Li, P.T.; Lv, J.; You, X.G.; Zhang, Y.W.; Tan, Y. Effect of heat treatment on microstructure and mechanical properties of GH4099 superalloy fabricated by selective laser melting. J. Alloys Compd. 2023, 934, 167813. [Google Scholar] [CrossRef]
- Zhang, X.Y.; Liang, Y.F.; Yi, F.; Liu, H.; Zhou, Q.J.; Yan, Z.Y.; Lin, J.P. Anisotropy in microstructure and mechanical properties of additively manufactured Ni-based GH4099 alloy. J. Mater. Technol. 2023, 26, 6552–6564. [Google Scholar] [CrossRef]
- Wang, S.X.; Tao, S.; Peng, H. Influence of Powder Characteristics on the Microstructure and Mechanical Behaviour of GH4099 Superalloy Fabricated by Electron Beam Melting. Metals 2022, 12, 1301. [Google Scholar] [CrossRef]
- Lu, Z.; Zhang, C.C.; Huang, Y.L.; Zhang, H.B.; Chen, K.; Zhou, H.P.; Wang, Z.W.; Deng, N.N.; Gu, L.W. Microstructure Evolution and Corrosion Performance of Additively Manufactured GH4099 Superalloy Produced by Selective Laser Melting. J. Mater. Eng. Perform. 2023, in press. [Google Scholar] [CrossRef]
- Lu, X.F.; Chen, C.; Zhang, G.H.; Chiumenti, M.; Cervera, M.; Yin, H.L.; Ma, L.; Lin, X. Thermo-mechanical simulation of annealing heat treatment of Ni-based GH4099 superalloy made by laser powder bed fusion. Addit. Manuf. 2023, 73, 103703. [Google Scholar] [CrossRef]
- Perez, M. Gibbs-Thomson effects in phase transformations. Scr. Mater. 2005, 52, 709–712. [Google Scholar] [CrossRef]
- Xia, X.; Lin, D.Y.; Song, X.G.; Luo, X.S.; Ma, R.; Shi, Z.F.; Bian, H.; Fu, W.; Dong, Z.B.; Tan, C.W. Strength-plasticity transition mechanism after the solution treatment of GH3230 superalloy fabricated via laser powder bed fusion. Mater. Sci. Eng. A 2023, 876, 145124. [Google Scholar] [CrossRef]
- Elorz, J.A.; Hernández, M.J.; González, L.F. Solidification and Solid-State Transformations of Metals and Alloys: Equilibrium Transformations (Chapter 7), 1st ed.; Elsevier: Amsterdam, The Netherlands, 2017; pp. 209–254. ISBN 9780128126073. [Google Scholar]
- Song, X.Q.; Wang, Y.X.; Zhao, X.X.; Zhang, J.; Li, Y.; Wang, Y.F.; Chen, Z. Analysis of carbide transformation in MC-M23C6 and its effect on mechanical properties of Ni-based superalloy. J. Alloys Compd. 2022, 911, 164959. [Google Scholar] [CrossRef]
- Xiang, X.M.; Yao, Z.H.; Dong, J.X.; Sun, L.G. Dissolution behaviour of intragranular M23C6 carbide in 617B Ni-base superalloy during long-term aging. J. Alloys Compd. 2019, 787, 216–228. [Google Scholar] [CrossRef]
- Atabay, S.E.; Sanchez-Mata, O.; Muniz-Lerma, J.A.; Brochu, M. Effect of heat treatment on microstructure and elevated temperature tensile properties of Rene 41 alloy produced by laser powder bed fusion. J. Alloys Compd. 2021, 858, 157645. [Google Scholar] [CrossRef]
- Zhou, W.Z.; Tian, Y.S.; Wei, D.Y.; Tan, Q.B.; Kong, D.C.; Luo, H.; Huang, W.M.; Zhu, G.L.; Shu, D.; Mi, J.W.; et al. Effects of heat treatments on the microstructure and tensile properties of IN738 superalloy with high carbon content fabricated via laser powder bed fusion. J. Alloys Compd. 2023, 953, 170110. [Google Scholar] [CrossRef]
- Zhu, J.X.; Kang, N.; Li, D.; Li, B.; Feng, Z.Y.; Zhong, H.; Li, S.M. Reducing directionally arranged substructure induced anisotropic mechanical properties of Hastelloy X superalloy fabricated by laser directed energy deposition. Mater. Sci. Eng. A 2023, 862, 144461. [Google Scholar] [CrossRef]
- Sun, B.; Zhang, T.B.; Song, L.; Zhang, L. Correlation between secondary γ′ and high-temperature tensile behavior of a powder metallurgy nickel-based superalloy EP962NP. Mater. Sci. Eng. A 2023, 866, 144687. [Google Scholar] [CrossRef]
- Tian, G.F.; Jia, C.C.; Wen, Y.; Hu, B.F. Effect of solution cooling rate on the γ′ precipitation behaviors of a Ni-base P/M superalloy. Materials 2008, 15, 729–734. [Google Scholar] [CrossRef]
- Ghiaasiaan, R.; Ahmad, N.; Gradl, P.R.; Shao, S.; Shamsaei, N. Additively manufactured Haynes 282: Effect of unimodal vs. bimodal γ′-microstructure on mechanical properties. Mater. Sci. Eng. A 2022, 831, 142234. [Google Scholar] [CrossRef]
- Zhang, L.; Li, Y.T.; Zhang, Q.D.; Zhang, S. Microstructure evolution, phase transformation and mechanical properties of IN738 superalloy fabricated by selective laser melting under different heat treatments. Mater. Sci. Eng. A 2022, 844, 142947. [Google Scholar] [CrossRef]
- Joseph, C.; Persson, C.; Colliander, M.H. Precipitation Kinetics and Morphology of Grain Boundary Carbides in Ni-Base Superalloy Haynes 282. Metall. Mater. Trans. A 2020, 51, 6136–6141. [Google Scholar] [CrossRef]
- Unocic, K.A.; Shin, D.W.; Sang, X.H.; Cakmak, E.; Tortorelli, P.F. Single-step aging treatment for a precipitation-strengthened Ni-based alloy and its influence on high-temperature mechanical behavior. Script. Mater. 2019, 162, 416–420. [Google Scholar] [CrossRef]
- Taller, S.; Austin, T. Using post-processing heat treatments to elucidate precipitate strengthening of additively manufactured superalloy 718. Addit. Manuf. 2022, 60, 103280. [Google Scholar] [CrossRef]
- Wu, B.; Liang, J.J.; Zhou, Y.Z.; Yang, Y.H.; Li, J.G.; Sun, X.F. Effect of heat treatment on the microstructure and tensile properties of a new superalloy designed for additive manufacturing. Mater. Sci. Eng. A 2022, 856, 144023. [Google Scholar] [CrossRef]
- Xie, M.J. Effect of C content on the microstructures and mechanical properties of laser additive manufactured Ni-base superalloys. Heliyon 2023, 9, e16111. [Google Scholar] [CrossRef]
- Kipelova, A.; Belyakov, A.; Kaibyshev, R. The crystallography of M23C6 carbides in a martensitic 9% Cr steel after tempering, aging and creep. Philos. Mag. 2013, 93, 2259–2268. [Google Scholar] [CrossRef]
- Shu, D.L.; Tian, S.G.; Tian, N.; Xie, J.; Su, Y. Thermodynamic analysis of carbide precipitation and effect of its configuration on creep properties of FGH95 powder nickel-based superalloy. Mater. Sci. Eng. A 2017, 700, 152–161. [Google Scholar] [CrossRef]
- Matysiak, H.; Zagorska, M.; Andersson, J.; Balkowiec, A.; Cygan, R.; Rasinski, M.; Pisarek, M.; Andrzejczuk, M.; Kubiak, K.; Kurzydlowski, K.J. Microstructure of Haynes(®) 282(®) superalloy after vacuum induction melting and investment casting of thin-walled components. Materials 2013, 6, 5016–5037. [Google Scholar] [CrossRef]
- Zhang, H.L.; Wang, Y.K.; Vecchis, R.R.D.; Xiong, W. Evolution of carbide precipitates in Haynes® 282 superalloy processed by wire arc additive manufacturing. J. Mater. Process. Technol. 2022, 305, 117597. [Google Scholar] [CrossRef]
- Polkowska, A.; Polkowski, W.; Warmuzek, M.; Cieśla, N.; Włoch, G.; Zasada, D.; Purgert, R.M. Microstructure and Hardness Evolution in Haynes 282 Nickel-Based Superalloy During Multi-variant Aging Heat Treatment. J. Mater. Eng. Perform. 2019, 28, 3844–3851. [Google Scholar] [CrossRef]
- Joseph, C.; Persson, C.; Colliander, M.H. Influence of heat treatment on the microstructure and tensile properties of Ni-base superalloy Haynes 282. Mater. Sci. Eng. A 2017, 679, 520–530. [Google Scholar] [CrossRef]
- Ghosh, S.; Ma, L.; Levine, L.E.; Ricker, R.E.; Stoudt, M.R.; Heigel, J.C.; Guyer, J.E. Single-Track Melt-Pool Measurements and Microstructures in Inconel 625. Miner. Met. Mater. Soc. 2018, 70, 1011–1016. [Google Scholar] [CrossRef]
- Meyers, M.A.; Chawla, K.K. Mechanical Behavior of Materials, 2nd ed.; Cambridge University Press: Cambridge, UK, 2009; pp. 71–89, 374–386. [Google Scholar]
- Kangazian, J.; Shamanian, M.; Kermanpur, A.; Foroozmehr, E.; Badrossamay, M. Investigation of microstructure-tensile behaviour relationship in Hastelloy X Ni-based superalloy processed by laser powder-bed fusion: Insights into the elevated temperature ductility loss. Mater. Sci. Eng. A 2021, 823, 141742. [Google Scholar] [CrossRef]
- Tan, Q.B.; Zhu, G.L.; Zhou, W.Z.; Tian, Y.S.; Zhang, L.; Dong, A.P.; Shu, D.; Sun, B.D. Precipitation, transformation, and coarsening of carbides in a high-carbon Ni-based superalloy during selective laser melting and hot isostatic pressing processes. J. Alloys Compd. 2022, 913, 165196. [Google Scholar] [CrossRef]
- Jia, L.; Cui, H.; Yang, S.F.; Lv, S.M.; Xie, X.F.; Qu, J.L. Effect of carbon addition on microstructure and mechanical properties of a typical hard-to-deform Ni-base superalloy. Prog. Nat. Sci. Mater. Int. 2023, 33, 232–243. [Google Scholar] [CrossRef]
- Zhang, L.; Schmitz, G.; Meng, Y.; Chellali, R.; Schlesiger, R. Mechanism of intermediate temperature embrittlement of Ni and Ni-based superalloys. Crit. Rev. Solid State Mater. Sci. 2012, 8436, 181–214. [Google Scholar] [CrossRef]
- Hu, R.; Zhao, J.H.; Yang, C.; Du, J.H.; Luo, X.; Bi, Z.N.; Gan, B. Temperature Effects on the Deformation Mechanisms in a Ni-Co-Based Superalloys. Crystals 2022, 12, 1409–1420. [Google Scholar] [CrossRef]
- Zou, T.F.; Liu, M.; Cai, Y.F.; Wang, Q.Y.; Jiang, Y.Q.; Wang, Y.R.; Gao, Z.H.; Pei, Y.B.; Zhang, H.; Liu, Y.J.; et al. Effect of temperature on tensile behaviour, fracture morphology, and deformation mechanisms of Nickel-based additive manufacturing 939 superalloy. J. Alloys Compd. 2023, 959, 170559. [Google Scholar] [CrossRef]
- Bettge, D.; Österle, W.; Ziebs, J. Temperature dependence of yield strength and elongation of the nickel-base superalloy IN 738 LC and the corresponding microstructural evolution. Int. J. Mater. Res. 1995, 86, 190–197. [Google Scholar] [CrossRef]
- Sheng, L.Y.; Fang, Y.A.; Guo, J.T.; Xi, T.F. Anomalous yield and intermediate temperature brittleness behaviors of directionally solidified nickel-based superalloy. Trans. Nonferrous Met. Soc. China 2014, 24, 673–681. [Google Scholar] [CrossRef]
- Shin, K.Y.; Kim, J.H.; Terner, M.; Kong, B.O.; Hong, H.U. Effects of heat treatment on the microstructure evolution and the high-temperature tensile properties of Haynes 282 superalloy. Mater. Sci. Eng. A 2019, 751, 311–322. [Google Scholar] [CrossRef]
- Cui, L.Q.; Su, H.H.; Yu, J.J.; Liu, J.L.; Jin, T.; Sun, X.F. Temperature dependence of tensile properties and deformation behaviors of nickel-base superalloy M951G. Mater. Sci. Eng. A 2017, 696, 323–330. [Google Scholar] [CrossRef]
- Hou, K.L.; Wang, M.; Ou, M.Q.; Li, H.Z.; Hao, X.C.; Ma, Y.C.; Liu, K. Effects of microstructure evolution on the deformation mechanisms and tensile properties of a new Ni-base superalloy during aging at 800 °C. J. Mater. Sci. Technol. 2021, 68, 40–52. [Google Scholar] [CrossRef]
- Werner, H.; Bernd, R. Interaction of Dislocations with Coherent, Stress-Free, Ordered Particles. Internat. J. Mater. Res. 1978, 69, 628–634. [Google Scholar]
- Brittan, A.; Mahaffey, J.; Anderson, M. The performance of Haynes 282 and its weld in supercritical CO2. Mater. Sci. Eng. A 2019, 759, 770–777. [Google Scholar] [CrossRef]
- Jiang, H.; Xiang, X.M.; Dong, J.X. The morphology and characteristics evolution of MC carbide during homogenization in hard-to-deform superalloy GH4975. J. Alloys Compd. 2022, 929, 167086. [Google Scholar] [CrossRef]
- Zhao, J.R.; Hung, F.Y.; Lui, T.S. Microstructure and tensile fracture behavior of three-stage heat treated Inconel 718 alloy produced via laser powder bed fusion process. J. Mater. Res. Tech. 2020, 9, 3357–3367. [Google Scholar] [CrossRef]
- Hao, Z.B.; Tian, T.; Peng, S.Q.; Ge, C.C.; Li, X.G.; Jia, C.L.; Guo, C.; Zhu, Q. Effect of Heat Treatment on Microstructure and Properties of FGH4096M Superalloy Processed by Selective Laser Melting. Met. Mater. Int. 2020, 26, 1270–1285. [Google Scholar] [CrossRef]













| Cr | Co | W | Mo | Al | Ti | C | Fe | Si | Mn | O | N | Ni |
|---|---|---|---|---|---|---|---|---|---|---|---|---|
| 18.08 | 6.68 | 5.91 | 4.00 | 2.18 | 1.4 | 0.053 | 0.70 | 0.062 | 0.014 | 0.0091 | <0.001 | Bal. |
| Sample | Standard Solid Solution | Primary Solid Solution | Secondary Solid Solution | Aging |
|---|---|---|---|---|
| 1140 °C × 120 min | 1205 °C × 120 min | 1010 °C × 240 min | 850 °C × 480 min | |
| SA | √ | √ | ||
| PA | √ | √ | ||
| PSA | √ | √ | √ |
| Sample | LAGB (2°~15°) | HAGB (>15°) | 60° ± 5° (TB) |
|---|---|---|---|
| SA | 41.2 | 58.8 | 0.4 |
| PA | 9.9 | 90.1 | 48.7 |
| PSA | 2.3 | 97.7 | 56.4 |
| Sample | Recrystallized Grain | Substructure Grain | Deformed Grain |
|---|---|---|---|
| SA | 2.85 | 22.58 | 74.57 |
| PA | 63.35 | 25.25 | 11.40 |
| PSA | 66.74 | 26.53 | 6.73 |
Disclaimer/Publisher’s Note: The statements, opinions and data contained in all publications are solely those of the individual author(s) and contributor(s) and not of MDPI and/or the editor(s). MDPI and/or the editor(s) disclaim responsibility for any injury to people or property resulting from any ideas, methods, instructions or products referred to in the content. |
© 2024 by the authors. Licensee MDPI, Basel, Switzerland. This article is an open access article distributed under the terms and conditions of the Creative Commons Attribution (CC BY) license (https://creativecommons.org/licenses/by/4.0/).
Share and Cite
Liu, J.; Wang, Y.; Guo, W.; Wang, L.; Zhang, S.; Hu, Q. Influence of Various Heat Treatments on Microstructures and Mechanical Properties of GH4099 Superalloy Produced by Laser Powder Bed Fusion. Materials 2024, 17, 1084. https://doi.org/10.3390/ma17051084
Liu J, Wang Y, Guo W, Wang L, Zhang S, Hu Q. Influence of Various Heat Treatments on Microstructures and Mechanical Properties of GH4099 Superalloy Produced by Laser Powder Bed Fusion. Materials. 2024; 17(5):1084. https://doi.org/10.3390/ma17051084
Chicago/Turabian StyleLiu, Jiahao, Yonghui Wang, Wenqian Guo, Linshan Wang, Shaoming Zhang, and Qiang Hu. 2024. "Influence of Various Heat Treatments on Microstructures and Mechanical Properties of GH4099 Superalloy Produced by Laser Powder Bed Fusion" Materials 17, no. 5: 1084. https://doi.org/10.3390/ma17051084
APA StyleLiu, J., Wang, Y., Guo, W., Wang, L., Zhang, S., & Hu, Q. (2024). Influence of Various Heat Treatments on Microstructures and Mechanical Properties of GH4099 Superalloy Produced by Laser Powder Bed Fusion. Materials, 17(5), 1084. https://doi.org/10.3390/ma17051084
