Recent Progress in Modification of Polyphenylene Oxide for Application in High-Frequency Communication
Abstract
1. Introduction
2. Polymerization of PPO and Its Chemical Structure
3. Low-Molecular-Weight PPO
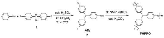
4. Hyperbranched PPO
5. Thermosetting PPO
6. PPO-Based Composites
7. Conclusions
- (1)
- The contradiction between reducing the Dk and improving the dimensional stability of polymer materials due to their different requirements for the molecular structure. The relationship between the molecule structure, dielectric, and dimensional stability should be further revealed by subtly structural design.
- (2)
- Another contradiction arises between reducing the Dk and improving the high thermal conductivity of PPO base composites. This is because the Dk of thermal-conducting fillers is usually higher than PPO. Therefore, the pivotal problem is how to improve thermal conductivity at low filler loading. Several approaches can help resolve this issue, such as improving intrinsic thermal conductivity of PPO through designing chemical structure or regulating the condensed state of PPO, building the thermal conduction pathway in composites, improving interface interactions, and reducing phonon scattering at the interface.
- (3)
- High-frequency bands, ranging at 5 GHz or even millimeter waves frequencies (>30 GHz), are used in 5G communication technology. However, many studies provide dielectric properties at low-frequency bands (<1 GHz) by the parallel plate capacitance method. Moreover, the parallel plate capacitance method can be challenging to measure accurately, especially for low-loss materials [62]. Therefore, adopting a high-accuracy method to measure the dielectric properties of materials at high-frequency bands (~GHz) is necessary.
Author Contributions
Funding
Conflicts of Interest
References
- Al-Falahy, N.; Alani, O.Y.K. Millimetre wave frequency band as a candidate spectrum for 5G network architecture: A survey. Phys. Commun. 2019, 32, 120–144. [Google Scholar] [CrossRef]
- Joseph, A.M.; Nagendra, B.; Surendran, K.P.; Gowd, E.B. Syndiotactic Polystyrene/Hybrid Silica Spheres of POSS Siloxane Composites Exhibiting Ultralow Dielectric Constant. ACS Appl. Mater. Interfaces 2015, 7, 19474–19483. [Google Scholar] [CrossRef]
- Choi, H.; Kim, T.; Kim, T.; Moon, S.; Yoo, S.; Parale, V.G.; Dhavale, R.P.; Kang, K.; Sohn, H.; Park, H.-H. Ultralow dielectric cross-linked silica aerogel nanocomposite films for interconnect technology. Appl. Mater. Today 2022, 28, 101536–101544. [Google Scholar] [CrossRef]
- Lee, D.; Davydov, A.; Mondal, B.; Xiong, G.; Morozov, G.; Kim, J. From sub-Terahertz to Terahertz: Challenges and Design Considerations. IEEE Wirel. Commun. Netw. Conf. Workshops 2020, 1, 978. [Google Scholar]
- Treichel, H.; Ruhl, G.; Ansmann, P.; Würl, R.; Müller, C.; Dietlmeier, M. Low dielectric constant materials for interlayer dielectric. Microelectron. Eng. 1998, 40, 1–19. [Google Scholar] [CrossRef]
- Wang, L.; Yang, J.; Cheng, W.; Zou, J.; Zhao, D. Progress on Polymer Composites With Low Dielectric Constant and Low Dielectric Loss for High-Frequency Signal Transmission. Front. Mater. 2021, 8, 774843. [Google Scholar] [CrossRef]
- Wu, H.; Kessler, M.R. Multifunctional cyanate ester nanocomposites reinforced by hexagonal boron nitride after noncovalent biomimetic functionalization. ACS Appl. Mater. Interfaces 2015, 7, 5915–5926. [Google Scholar] [CrossRef]
- Evans, A.M.; Giri, A.; Sangwan, V.K.; Xun, S.; Bartnof, M.; Torres-Castanedo, C.G.; Balch, H.B.; Rahn, M.S.; Bradshaw, N.P.; Vitaku, E.; et al. Thermally conductive ultra-low-k dielectric layers based on two-dimensional covalent organic frameworks. Nat. Mater. 2021, 20, 1142–1148. [Google Scholar] [CrossRef]
- Choi, J.; Kim, Y. Low Loss Hybrid-Plane PCB Structure for Improving Signal Quality in High-Speed Signal Transmission. IEEE Access 2024, 12, 6413–6422. [Google Scholar] [CrossRef]
- Peters, E. Poly(phenylene ether) Based Amphiphilic Block Copolymers. Polymers 2017, 9, 433. [Google Scholar] [CrossRef]
- Imai, H.; Sugimura, M.; Kawasaki, M.; Teramoto, A.; Sugawa, S.; Ohmi, T. High-Frequency Propagation on Printed Circuit Board Using a Material With a Low Dielectric Constant, a Low Dielectric Loss, and a Flat Surface. IEEE Trans. Compon. Packag. Technol. 2009, 32, 415–423. [Google Scholar] [CrossRef]
- Medvedev, A.M. Composite materials for Hi-Tech printed circuit boards. IOP Conf. Ser. Mater. Sci. Eng. 2019, 675, 012044. [Google Scholar] [CrossRef]
- Qin, Y.; Yu, X.; Fang, Z.; He, X.; Qu, M.; Han, M.; Lu, D.; Xue, K.; Wang, K. Recent progress on polyphenylene oxide-based thermoset systems for high-performance copper-clad laminates. J. Phys. D Appl. Phys. 2023, 56, 064002. [Google Scholar] [CrossRef]
- Dong, J.; Wang, H.; Zhang, Q.; Yang, H.; Cheng, J.; Xia, Z. Hydrocarbon Resin-Based Composites with Low Thermal Expansion Coefficient and Dielectric Loss for High-Frequency Copper Clad Laminates. Polymers 2022, 14, 2200. [Google Scholar] [CrossRef] [PubMed]
- Hahn, T.A. Thermal Expansion of Copper from 20 to 800 K—Standard Reference Material 736. J. Appl. Phys. 1970, 41, 5096–5101. [Google Scholar] [CrossRef]
- Tarannum, F.; Muthaiah, R.; Danayat, S.; Foley, K.; Annam, R.S.; Walters, K.B.; Garg, J. Chemically Edge-Carboxylated Graphene Enhances the Thermal Conductivity of Polyetherimide-Graphene Nanocomposites. ACS Appl. Mater. Interfaces 2022, 14, 14753–14763. [Google Scholar] [CrossRef] [PubMed]
- Shimoyama, Y.; Nakajima, Y. Oxidative Depolymerization of Polyphenylene Oxide into Benzoquinone. ChemSusChem 2023, 16, 202300684. [Google Scholar] [CrossRef] [PubMed]
- Ding, S.; Peng, H.; Ren, H.; Xie, T.; Yao, X.; Song, K. Investigation on preparation and properties of novel polyphenylene oxide based composites by injection molding. Ceram. Int. 2020, 46, 29067–29072. [Google Scholar] [CrossRef]
- Hwang, H.-J.; Hsu, S.-W.; Wang, C.-S. Low dielectric and flame-retardant properties of thermosetting redistributed poly(phenylene oxide). J. Vinyl Addit. Technol. 2009, 15, 54–59. [Google Scholar] [CrossRef]
- Hay, A.S. Polymerization by oxidative coupling: Discovery and commercialization of PPO and Noryl resins. J. Polym. Sci. Part A Polym. Chem. 1998, 36, 505–517. [Google Scholar] [CrossRef]
- Kim, N.C.; Kim, Y.T.; Nam, S.W.; Jeon, B.S.; Kim, Y.J. Synthesis of poly(2,6-dimethyl-1,4-phenylene ether) with controlled molecular weight via suspension polymerization catalyzed by amine–copper (I) complexes under various reaction conditions. Polym. Bull. 2012, 70, 23–33. [Google Scholar] [CrossRef]
- White, D.M.; Klopfer, H.J. Polymerization by oxidation coupling. I. A study of the oxidation of 2,6-diphenylphenol to poly(2,6-diphenyl-1,4-phenylene ether). J. Polym. Sci. Part A Polym. Chem. 1970, 8, 1427–1438. [Google Scholar] [CrossRef]
- Hay, A.S.; Clark, R.F. Poly(2,6-diaryl-1,4-phenylene oxides). Macromolecules 1970, 3, 533–535. [Google Scholar] [CrossRef]
- Hay, A.S. Poly(phenylene oxides)s and poly(arylene ether)s derived from 2,6-diarylphenols. Prog. Polym. Sci. 1999, 24, 45–80. [Google Scholar] [CrossRef]
- Fukuhara, T.; Shibasaki, Y.; Ando, S.; Ueda, M. Synthesis of thermosetting poly(phenylene ether) containing allyl groups. Polymer 2004, 45, 843–847. [Google Scholar] [CrossRef]
- Nunoshige, J.; Akahoshi, H.; Liao, Y.; Horiuchi, S.; Shibasaki, Y.; Ueda, M. Mechanical and Dielectric Properties of a New Polymer Blend Composed of 1,2-Bis(vinylphenyl)ethane and Thermosetting Poly(phenylene ether) Copolymer Obtained from 2,6-Dimethylphenol and 2-Allyl-6-methylphenol. Polym. J. 2007, 39, 828–833. [Google Scholar] [CrossRef]
- Bolon, D.A. Free-radical redistribution of phenol dimers. J. Org. Chem. 1967, 32, 1584–1590. [Google Scholar] [CrossRef]
- White, D.M. Synthesis of 4-hydroxyarylene ethers by the equilibration of phenols with poly(2,6-dimethyl-1,4-phenylene ether). J. Org. Chem. 1969, 34, 297–303. [Google Scholar] [CrossRef]
- Krijgsman, J.; Feijen, J.; Gaymans, R.J. Synthesis and characterisation of telechelic poly(2,6-dimethyl-1,4-phenylene ether) for copolymerisation. Polymer 2003, 44, 7055–7065. [Google Scholar] [CrossRef]
- Chao1CA, H.S.-I.; Whalen1, J.M. Poly(2,6-dimethyl-1,4-phenylene ether) (PPE) redistribution and its significance in the preparation of PPE/epoxy laminate. React. Polym. 1991, 15, 9–23. [Google Scholar]
- Chan, K.P.; Argyropoulos, D.S.; White, D.M.; Yeager, G.W.; Hay, A.S. Facile Quantitative Analysis of Hydroxyl End Groups of Poly(2,6-dimethyl-1,4-phenylene oxide)s by 31P NMR Spectroscopy. Macromolecules 1994, 27, 6371–6375. [Google Scholar] [CrossRef]
- Zhou, Y.; Peng, Z.; Ji, J.; Wu, Y.; Chen, Z.; Huang, H.; Liu, S.; Zhao, J. Fluorinated low molecular weight poly(phenylene oxide): Synthesis, characterization, and application in epoxy resin toward improved thermal and dielectric properties. Eur. Polym. J. 2021, 157, 110674–110683. [Google Scholar] [CrossRef]
- Risse, W.; Heitz, W.; Freitag, D.; Bottenbruch, L. Preparation and characterization of poly[oxy(2,6-dimethyl-1,4-phenylene)] with functional end groups. Die Makromol. Chem. 1985, 186, 1835–1853. [Google Scholar] [CrossRef]
- Fox, T.; Flory, P. The Glass Temperature and Related Properties of Polystyrene. Influence of Molecular Weight. J. Polym. Sci. Part A Polym. Chem. 2010, 14, A315–A319. [Google Scholar] [CrossRef]
- Jauhiainen, T.-P. Effect of the catalyst-monomer ratio on the molar mass and glass transition temperature of poly(oxy-2,6-dimethoxy-1,4-phenylene). Macromol. Chem. Phys. 1982, 183, 915–923. [Google Scholar] [CrossRef]
- Weng, L.; Zhang, Y.; Zhang, X.; Liu, L.; Zhang, H. Synthesis and properties of cyanate mixed resin systems modified by polyphenylene oxide for production of high-frequency copper clad laminates. J. Mater. Sci. Mater. Electron. 2017, 29, 2831–2840. [Google Scholar] [CrossRef]
- Chen, C.H.; Gu, Z.C.; Tsai, Y.L.; Jeng, R.J.; Lin, C.H. Identification of the reaction mechanism between phenyl methacrylate and epoxy and its application in preparing low-dielectric epoxy thermosets with flexibility. Polymer 2018, 140, 225–232. [Google Scholar] [CrossRef]
- Chen, C.H.; Lee, K.W.; Lin, C.H.; Juang, T.Y. Low-Dissipation Thermosets Derived from Oligo(2,6-Dimethyl Phenylene Oxide)-Containing Benzoxazines. Polymers 2018, 10, 411. [Google Scholar] [CrossRef]
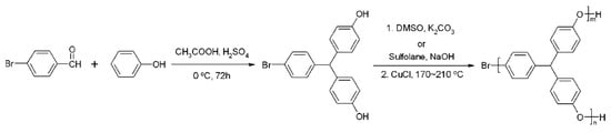
- Zhang, J.; Wang, H.; Li, X. Novel hyperbranched poly(phenylene oxide)s with phenolic terminal groups: Synthesis, characterization, and modification. Polymer 2006, 47, 1511–1518. [Google Scholar] [CrossRef]
- Huang, P.; Gu, A.; Liang, G.; Yuan, L. Synthesis of epoxy-functionalized hyperbranched poly(phenylene oxide) and its modification of cyanate ester resin. J. Appl. Polym. Sci. 2011, 123, 2351–2359. [Google Scholar] [CrossRef]
- Luo, L.; Qiu, T.; Meng, Y.; Guo, L.; Yang, J.; Li, Z.; Cao, X.; Li, X. A novel fluoro-terminated hyperbranched poly(phenylene oxide) (FHPPO): Synthesis, characterization, and application in low-k epoxy materials. RSC Advances 2013, 3, 14509–14520. [Google Scholar] [CrossRef]
- Luo, L.; Meng, Y.; Qiu, T.; Li, Z.; Yang, J.; Cao, X.; Li, X. Dielectric and mechanical properties of diglycidyl ether of bisphenol a modified by a new fluoro-terminated hyperbranched poly(phenylene oxide). Polym. Compos. 2013, 34, 1051–1060. [Google Scholar] [CrossRef]
- Huang, C.C.; Yang, M.S.; Liang, M. Synthesis of new thermosetting poly(2,6-dimethyl-1,4-phenylene oxide)s containing epoxide pendant groups. J. Polym. Sci. Part A Polym. Chem. 2006, 44, 5875–5886. [Google Scholar] [CrossRef]
- Wang, Y.x.; Cheng, S.j.; Li, W.; Huang, C.; Li, F.; Shi, J. Synthesis and Properties of Thermosetting Modified Polyphenylene Ether. Polym. Bull. 2007, 59, 391–401. [Google Scholar]
- Wang, Y.; Tao, Y.; Zhou, J.; Sun, J.; Fang, Q. Biobased Anethole-Functionalized Poly(phenylene oxides): New Low Dielectric Materials with High Tg and Good Dimensional Stability. ACS Sustain. Chem. Eng. 2018, 6, 9277–9282. [Google Scholar] [CrossRef]
- Liao, L.Y.; Ruan, W.H.; Zhang, M.Q.; Weihao, L. Improving the Dimensional Stability of Polyphenylene Oxide without Reducing Its Dielectric Properties for High-Frequency Communication Applications. Ind. Eng. Chem. Res. 2023, 62, 7007–7016. [Google Scholar] [CrossRef]
- Kinjo, N.; Ogata, M.; Numata, S.i. Thermal Expansion Coefficients of Polymers. Jpn. Thermosetting Plast. Ind. Assoc. 1987, 8, 208. [Google Scholar]
- Ando, S.; Sekiguchi, K.; Mizoroki, M.; Okada, T.; Ishige, R. Anisotropic Linear and Volumetric Thermal-Expansion Behaviors of Self-Standing Polyimide Films Analyzed by Thermomechanical Analysis (TMA) and Optical Interferometry. Macromol. Chem. Phys. 2018, 219, 1700354. [Google Scholar] [CrossRef]
- Markandan, K.; Lai, C.Q. Fabrication, properties and applications of polymer composites additively manufactured with filler alignment control: A review. Compos. B. Eng. 2023, 256, 110661. [Google Scholar] [CrossRef]
- Lim, G.; Bok, G.; Park, S.-D.; Kim, Y. Thermally conductive hexagonal boron nitride/spherical aluminum oxide hybrid composites fabricated with epoxyorganosiloxane. Ceram. Int. 2022, 48, 1408–1414. [Google Scholar] [CrossRef]
- Lin, Z.; Liu, Y.; Raghavan, S.; Moon, K.S.; Sitaraman, S.K.; Wong, C.P. Magnetic alignment of hexagonal boron nitride platelets in polymer matrix: Toward high performance anisotropic polymer composites for electronic encapsulation. ACS Appl. Mater. Interfaces 2013, 5, 7633–7640. [Google Scholar] [CrossRef]
- Zhu, X.; Fang, Z.; Yi, Y.; Wang, Z.; Meng, Y.; Liu, Q.; Wang, K. Ultra-low loss polyphenylene oxide-based composites with negative thermal expansion fillers. Polym. Compos. 2022, 44, 1849–1858. [Google Scholar] [CrossRef]
- Zhang, W.; Lu, C.; Ge, M.; Bu, F.; Zhang, J. Surface modified and gradation-mixed Al2O3 as an effective filler for the polyphenylene oxide (PPO) insulative layer in copper clad laminates. J. Mater. Sci. Mater. Electron. 2020, 31, 21602–21616. [Google Scholar] [CrossRef]
- Nag, A.; Raidongia, K.; Hembram, K.P.S.S.; Datta, R.; Waghmare, U.V.; Rao, C.N.R. Graphene analogues of BN: Novel synthesis and properties. ACS Nano 2010, 4, 1539–1544. [Google Scholar] [CrossRef] [PubMed]
- Glavin, N.R.; Muratore, C.; Jespersen, M.L.; Hu, J.; Hagerty, P.T.; Hilton, A.M.; Blake, A.T.; Grabowski, C.A.; Durstock, M.F.; McConney, M.E.; et al. Amorphous Boron Nitride: A Universal, Ultrathin Dielectric For 2D Nanoelectronics. Adv. Funct. Mater. 2016, 26, 2640–2647. [Google Scholar] [CrossRef]
- Hong, S.; Lee, C.S.; Lee, M.H.; Lee, Y.; Ma, K.Y.; Kim, G.; Yoon, S.I.; Ihm, K.; Kim, K.J.; Shin, T.J.; et al. Ultralow-dielectric-constant amorphous boron nitride. Nature 2020, 582, 511–514. [Google Scholar] [CrossRef]
- Guiney, L.M.; Mansukhani, N.D.; Jakus, A.E.; Wallace, S.G.; Shah, R.N.; Hersam, M.C. Three-Dimensional Printing of Cytocompatible, Thermally Conductive Hexagonal Boron Nitride Nanocomposites. Nano Lett. 2018, 18, 3488–3493. [Google Scholar] [CrossRef] [PubMed]
- Cai, Q.; Scullion, D.; Gan, W.; Falin, A.; Zhang, S.; Watanabe, K.; Taniguchi, T.; Chen, Y.; Santos, E.J.G.; Li, L.H. High thermal conductivity of high-quality monolayer boron nitride and its thermal expansion. Sci. Adv. 2019, 6, eaav0129. [Google Scholar] [CrossRef] [PubMed]
- Ge, M.; Zhang, J.; Zhao, C.; Lu, C.; Du, G. Effect of hexagonal boron nitride on the thermal and dielectric properties of polyphenylene ether resin for high-frequency copper clad laminates. Mater. Des. 2019, 182, 108028–108036. [Google Scholar] [CrossRef]
- Sainsbury, T.; O’Neill, A.; Passarelli, M.K.; Seraffon, M.; Gohil, D.; Gnaniah, S.; Spencer, S.J.; Rae, A.; Coleman, J.N. Dibromocarbene Functionalization of Boron Nitride Nanosheets: Toward Band Gap Manipulation and Nanocomposite Applications. Chem. Mater. 2014, 26, 7039–7050. [Google Scholar] [CrossRef]
- Daneshmehr, S.; Román, F.; Hutchinson, J.M. The surface modification of boron nitride particles. J. Therm. Anal. Calorim. 2019, 143, 151–163. [Google Scholar] [CrossRef]
- Raymond, W.J.K.; Chakrabarty, C.K.; Hock, G.C.; Ghani, A.B. Complex permittivity measurement using capacitance method from 300 kHz to 50 MHz. Measurement 2013, 46, 3796–3801. [Google Scholar] [CrossRef]


















| Samples | Reaction Conditions | Tg (°C) | Mw (Da) | Polydispersity Index | Degree of Branching | References |
|---|---|---|---|---|---|---|
| HPPO | DMSO/K2CO3 170 °C for 32 h | 153 | 2230 | 1.39 | 0.71 | [39] |
| HPPO | sulfolane/NaOH 200–210 °C for 6 h | 130 | 5530 | 2.04 | 0.48 | [39] |
| FHPPO | NMP/ K2CO3 202 °C for 2–5 days | 135 | 2000 | 1.7 | 0.63 | [41] |
| 147 | 2500 | 2.2 | 0.60 | |||
| 156 | 5400 | 3.2 | 0.56 | |||
| 163 | 5800 | 3.7 | 0.55 | |||
| 164 | 6800 | 4.8 | 0.53 |
Disclaimer/Publisher’s Note: The statements, opinions and data contained in all publications are solely those of the individual author(s) and contributor(s) and not of MDPI and/or the editor(s). MDPI and/or the editor(s) disclaim responsibility for any injury to people or property resulting from any ideas, methods, instructions or products referred to in the content. |
© 2024 by the authors. Licensee MDPI, Basel, Switzerland. This article is an open access article distributed under the terms and conditions of the Creative Commons Attribution (CC BY) license (https://creativecommons.org/licenses/by/4.0/).
Share and Cite
Liao, L.; Ruan, W.; Zhang, M.; Lin, M. Recent Progress in Modification of Polyphenylene Oxide for Application in High-Frequency Communication. Materials 2024, 17, 1086. https://doi.org/10.3390/ma17051086
Liao L, Ruan W, Zhang M, Lin M. Recent Progress in Modification of Polyphenylene Oxide for Application in High-Frequency Communication. Materials. 2024; 17(5):1086. https://doi.org/10.3390/ma17051086
Chicago/Turabian StyleLiao, Lingyuan, Wenhong Ruan, Mingqiu Zhang, and Musong Lin. 2024. "Recent Progress in Modification of Polyphenylene Oxide for Application in High-Frequency Communication" Materials 17, no. 5: 1086. https://doi.org/10.3390/ma17051086
APA StyleLiao, L., Ruan, W., Zhang, M., & Lin, M. (2024). Recent Progress in Modification of Polyphenylene Oxide for Application in High-Frequency Communication. Materials, 17(5), 1086. https://doi.org/10.3390/ma17051086
