Characterization of Flexural Behavior of Hybrid Concrete-Filled Fiber-Reinforced Plastic Piles
Abstract
1. Introduction
2. Mechanical Properties of HCFFT
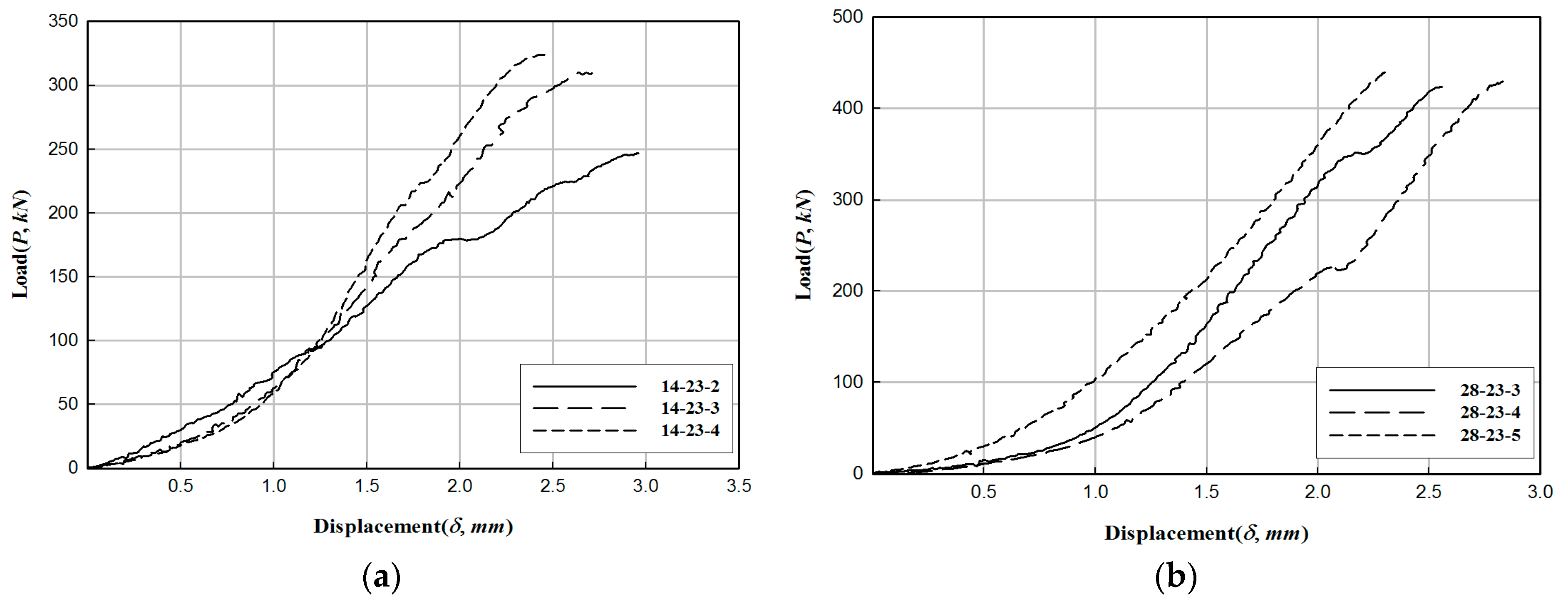
2.1. Concrete Compressive Strength Test
2.2. FRP Tensile Strength Test
3. Flexural Strength Test of HCFFT Specimens
3.1. Cross-Sectional Design of the HCFFT Specimens
3.2. Flexural Strength Test
4. Results of the Flexural Strength Test of HCFFT Specimens and Analysis
5. Conclusions
Funding
Institutional Review Board Statement
Informed Consent Statement
Data Availability Statement
Acknowledgments
Conflicts of Interest
References
- Lowry, K. Factors Affecting Axial and Lateral LOAD Transfer of Hollow Fibre-Reinforced Polymer Piles in Soft Clay; Undergraduated Research Report; Carleton University: Ottawa, ON, Canada, 24 December 2022. [Google Scholar]
- Oreintilize, M.; Prakoso, W.A.; Lase, Y.; Purnomo, S.; Sumartono, I.H. Study of repaired spun pile to pile cap connections containing fractured reinforcements using FRP. Int. J. GEOMATE 2023, 25, 114–122. [Google Scholar] [CrossRef]
- Mohammed, A.A.; Manalo, A.C.; Ferdous, W.; Zhuge, Y.; Vijay, P.V.; Pettigrew, J. Experimental and numerical evaluations on the behaviour of structures repaired using prefabricated FRP composites jacket. Eng. Struct. 2020, 210, 110358. [Google Scholar] [CrossRef]
- Al-Jaberi, Z.; Al-Jazeri, Z.; Mahdi, R. Utilizing underwater FRP system for hydraulic structures application. Water Resources in Iraq: Perspectives and Prognosis (ICWRPP 2022). IOP Conf. Ser. Earth Environ. Sci. 2022, 1120, 012046. [Google Scholar] [CrossRef]
- Almallah, A.; Nagar, H.E.; Sadeghian, P. Axial behavior of innovative sand-coated GFRP piles in cohesionless soil. Int. J. Geomech. 2020, 20, 10. [Google Scholar] [CrossRef]
- Kim, H.J.; Chung, H.J. An evaluation of flexural strength of hollow concrete filled FRP tube piles. J. Korea Inst. Struct. Maint. Insp. 2022, 26, 204–211. [Google Scholar]
- Hwang, U.-S. Study on bearing capacity of ultra high strength end extended PHC pile by loading test. J. Korea Acad. Ind. Coop. Soc. 2019, 20, 269–275. [Google Scholar]
- Valez, J.G.; Rayhani, M.T. Axial and lateral load transfer of fibre-reinforced polymer (FRP) piles in soft clay. Int. J. Geotech. Eng. 2016, 11, 149–155. [Google Scholar]
- Elhamaymy, A.; Mohamed, H.M.; Benmokrane, B. Durability assessment and behavior under axial load of circular GFRP-RC piles conditioned in severe simulated marine environment. Eng. Struct. 2021, 249, 113376. [Google Scholar] [CrossRef]
- Choi, J.W.; Park, J.S.; Nam, J.H.; An, D.J.; Kang, I.K.; Yoon, S.J. An experimental study for the compression strength of Hybrid CFFT pile. J. Korean Soc. Adv. Compos. Struct. 2011, 2, 30–39. [Google Scholar] [CrossRef]
- Lee, Y.G.; Choi, J.W.; Park, J.S.; Yoon, S.J. Compression strength test of FRP reinforced concrete composite pile. J. Korean Soc. Adv. Compos. Struct. 2011, 2, 19–27. [Google Scholar] [CrossRef][Green Version]
- Kang, I.K.; Kim, S.H. Compressive strength testing of hybrid concrete-filled fiber-reinforced plastic tubes confied by filament winding. Appl. Sci. 2021, 11, 2900. [Google Scholar] [CrossRef]
- KS F ISO 2405; Test Method for Compressive Strength of Concrete. Korean Agency for Technology and Standards (KS): Seoul, Republic of Korea, 2022.
- KS M ISO 527-4; Plastics-Determination Of Tensile Properties-Part 4: Test Conditions For Isotropic And Orthotropic Fiber-Reinforced Plastic Composites. Korean Agency for Technology and Standards (KS): Seoul, Republic of Korea, 2023. (In Korean)
- ASTM D3039/D3039M-17; Standard Test Method for Tensile Properties of Polymer Matrix Composite Materials. ASTM International: West Conshohochen, PA, USA, 2017.
- ANSI/AISC 360; Specification for Structural Steel Buildings. American Institute of Steel Construction: Chicago, IL, USA, 2022.
















| Curing Period (Day) | Specimen No. | Failure Concrete Compressive Strength (MPa) | Average Failure Concrete Compressive Strength (MPa) | (%) |
|---|---|---|---|---|
| 14 | 23-14-1 | 13.76 | 16.65 | 72.40 |
| 23-14-2 | 13.97 | |||
| 23-14-3 | 17.52 | |||
| 23-14-4 | 18.46 | |||
| 23-14-5 | 24.81 | |||
| 28 | 23-28-1 | 31.29 | 24.40 | 106.10 |
| 23-28-2 | 17.17 | |||
| 23-28-3 | 23.98 | |||
| 23-28-4 | 24.29 | |||
| 23-28-5 | 24.92 |
| Specimen No. | Width (mm) | Thickness (mm) | Area (mm2) |
|---|---|---|---|
| 300-28-1 | 25.52 | 3.13 | 79.88 |
| 300-28-2 | 26.35 | 2.50 | 65.88 |
| 300-28-3 | 26.07 | 3.29 | 85.75 |
| 300-28-4 | 26.07 | 3.53 | 92.03 |
| 300-28-5 | 24.42 | 3.52 | 85.96 |
| 300-42-1 | 25.41 | 6.51 | 165.42 |
| 300-42-2 | 25.89 | 6.18 | 160.00 |
| 300-42-3 | 25.31 | 6.76 | 171.06 |
| 300-42-4 | 26.43 | 6.16 | 162.78 |
| 300-42-5 | 24.75 | 5.88 | 145.53 |
| 300-56-1 | 26.07 | 8.71 | 227.03 |
| 300-56-2 | 25.52 | 8.19 | 209.01 |
| 300-56-3 | 26.78 | 8.56 | 229.24 |
| 300-56-4 | 25.00 | 8.84 | 220.96 |
| 300-56-5 | 27.70 | 8.82 | 244.27 |
| Specimen No. | (MPa) | (GPa) | |
|---|---|---|---|
| 300-28-1 | 62.71 | 9.46 | 0.34 |
| 300-28-2 | 73.42 | - | - |
| 300-28-3 | 62.71 | 11.37 | 0.36 |
| 300-28-4 | 60.14 | 10.23 | 0.36 |
| 300-28-5 | 57.16 | 8.45 | 0.32 |
| Average | 63.23 | 9.88 | 0.35 |
| 300-42-1 | 52.17 | 7.63 | 0.36 |
| 300-42-2 | 55.43 | - | - |
| 300-42-3 | 52.22 | 7.05 | 0.36 |
| 300-42-4 | 59.40 | 9.09 | 0.37 |
| 300-42-5 | 62.14 | 11.29 | 0.36 |
| Average | 56.27 | 8.77 | 0.36 |
| 300-56-1 | 50.31 | 9.54 | 0.38 |
| 300-56-2 | 52.57 | 9.87 | 0.41 |
| 300-56-3 | 50.62 | 10.53 | 0.42 |
| 300-56-4 | 48.18 | 8.23 | 0.41 |
| 300-56-5 | 49.27 | 7.16 | 0.33 |
| Average | 50.19 | 9.07 | 0.39 |
| Diameter (D, mm) | 300 | ||
| Length (L, mm) | 4000 | ||
| Concrete Design Standard Strength (fck, MPa) | 23 | ||
| PFRP Thickness (tp, mm) | 1.0 | ||
| FFRP Thickness (tf, mm) | 2.8 (4 ply) | 4.2 (6 ply) | 5.6 (8 ply) |
| Specimen | 3 | 3 | 3 |
| Specimen No. | FFRP Thickness (tf, mm) | Ultimate Load (Pu, kN) | Moment at Failure (Mu, kN·m) | Max. Displacement (δmax, mm) | 1/4 Point Maximum Displacement (δ1/4, mm) | ||||
|---|---|---|---|---|---|---|---|---|---|
| Specimen | Ave. | Specimen | Ave. | Specimen | Ave. | Specimen | Ave. | ||
| 2.8-1 | 2.8 | 367.0 | 353.1 | 367.0 | 353.1 | 149.9 | 129.2 | 112.9 | 98.2 |
| 2.8-2 | 395.3 | 395.3 | 130.1 | 101.6 | |||||
| 2.8-3 | 297.1 | 297.1 | 107.5 | 80.2 | |||||
| 4.2-1 | 4.2 | 376.2 | 351.6 | 376.2 | 351.6 | 132.5 | 135.4 | 96.1 | 102.3 |
| 4.2-2 | 356.0 | 356.0 | 148.5 | 112.1 | |||||
| 4.2-3 | 322.5 | 322.5 | 125.2 | 98.6 | |||||
| 5.6-1 | 5.6 | 392.8 | 397.2 | 392.8 | 397.2 | 114.9 | 114.9 | 84.8 | 84.6 |
| 5.6-2 | 351.9 | 351.9 | 111.9 | 84.4 | |||||
| 5.6-3 | 446.8 | 446.8 | 117.8 | 84.7 | |||||
| Specimen No. | FFRP Thickness | Flexural Stiffness | ||||
|---|---|---|---|---|---|---|
| Predicted Values/Experimental Result (%) | ||||||
| Specimen | Average | Specimen | Average | |||
| 2.8-1 | 2.8 | 10,515.21 | 9192.58 | 8011.92 | 0.76 | 0.87 |
| 2.8-2 | 11,155.50 | 0.72 | ||||
| 2.8-3 | 5907.04 | 1.36 | ||||
| 4.2-1 | 4.2 | 9287.29 | 9308.34 | 8250.81 | 0.89 | 0.89 |
| 4.2-2 | 8134.95 | 1.01 | ||||
| 4.2-3 | 10,502.78 | 0.79 | ||||
| 5.6-1 | 5.6 | 11,422.55 | 11,302.59 | 8488.55 | 0.74 | 0.75 |
| 5.6-2 | 11,140.29 | 0.76 | ||||
| 5.6-3 | 11,344.93 | 0.75 | ||||
| Specimen No. | FFRP Thickness | ||
|---|---|---|---|
| Specimens | Ave. | ||
| 2.8-1 | 2.8 | 134.66 | 129.56 |
| 2.8-2 | 145.02 | ||
| 2.8-3 | 109.00 | ||
| 4.2-1 | 4.2 | 136.14 | 127.21 |
| 4.2-2 | 128.80 | ||
| 4.2-3 | 116.70 | ||
| 5.6-1 | 5.6 | 140.19 | 141.75 |
| 5.6-2 | 125.59 | ||
| 5.6-3 | 159.46 | ||
| Description | FFRP Thickness | ||
|---|---|---|---|
| Tffrp = 2.8 mm | Tffrp = 4.2 mm | Tffrp = 5.6 mm | |
| Flexural test results (kN·m) | 353.1 | 351.6 | 397.2 |
| Numerical results (kN·m) | 356.3 | 358.3 | 360.7 |
| Error (%) | 0.99 | 0.98 | 1.10 |
Disclaimer/Publisher’s Note: The statements, opinions and data contained in all publications are solely those of the individual author(s) and contributor(s) and not of MDPI and/or the editor(s). MDPI and/or the editor(s) disclaim responsibility for any injury to people or property resulting from any ideas, methods, instructions or products referred to in the content. |
© 2024 by the author. Licensee MDPI, Basel, Switzerland. This article is an open access article distributed under the terms and conditions of the Creative Commons Attribution (CC BY) license (https://creativecommons.org/licenses/by/4.0/).
Share and Cite
Kim, S.-H. Characterization of Flexural Behavior of Hybrid Concrete-Filled Fiber-Reinforced Plastic Piles. Materials 2024, 17, 1072. https://doi.org/10.3390/ma17051072
Kim S-H. Characterization of Flexural Behavior of Hybrid Concrete-Filled Fiber-Reinforced Plastic Piles. Materials. 2024; 17(5):1072. https://doi.org/10.3390/ma17051072
Chicago/Turabian StyleKim, Sun-Hee. 2024. "Characterization of Flexural Behavior of Hybrid Concrete-Filled Fiber-Reinforced Plastic Piles" Materials 17, no. 5: 1072. https://doi.org/10.3390/ma17051072
APA StyleKim, S.-H. (2024). Characterization of Flexural Behavior of Hybrid Concrete-Filled Fiber-Reinforced Plastic Piles. Materials, 17(5), 1072. https://doi.org/10.3390/ma17051072
