Chloride Permeability of Alkali-Activated Slag Concretes after Exposure to High Temperatures
Abstract
1. Introduction
2. Experimental Program
2.1. Materials
2.2. Mix Proportions
2.3. Specimen Preparation
2.4. Heating Regime
2.5. Tests
3. Results and Discussion
3.1. Influence of Na2O% and Ms
3.2. Influence of Heating Regime
4. Conclusions
- (1)
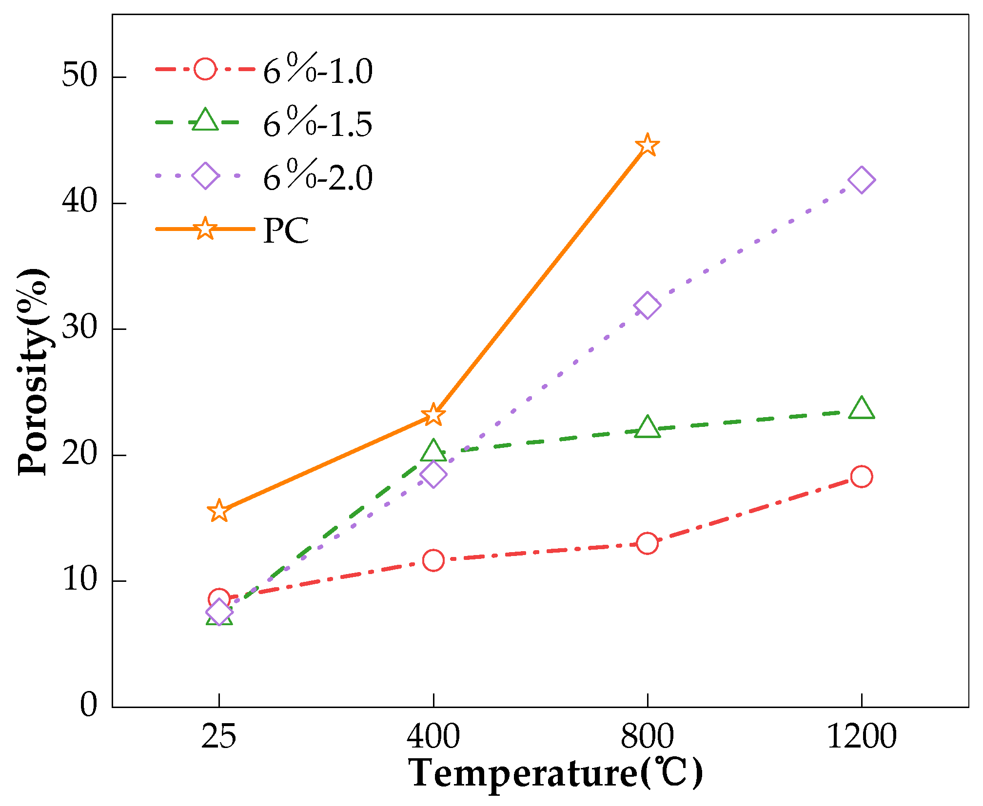
- The resistance of AAS concretes to chloride ingress was reduced with the increase in temperature as a result of both increased total porosity and pore coarsening.
- (2)
- The porosity results imply that, after exposure to high temperatures, AAS concrete with a lower Na2O% and lower Ms may exhibit lower chloride permeability; however, the charge passed of the AAS concretes examined in this study could have been caused by pore solution conductivity rather than chloride permeability, and it is therefore not suitable to apply the ASTM C 1202 charge passed method to compare the chloride permeability of concretes with different cementitious systems, such as PC and AAS, or different AAS concrete mixes. These findings should be confirmed using a proper approach instead, such as the non-steady-state chloride migration test (NT BUILD 492).
- (3)
- Faster heating and water cooling following the high-temperature exposure in this study could have increased the temperature gradient between the surface and the internal part of the AAS concrete, aggravating the coarsening of the pore structure and then reducing the resistance of the concrete to chloride ingress. Shortening the duration of the AAS concretes’ exposure to the target temperature may have reduced the thermal damage to the pore structure, thus yielding better resistance to chloride ingress.
5. Future Prospects
- (1)
- Future studies may use a proper approach to confirm the results of this study, such as the non-steady-state chloride migration test (NT BUILD 492).
- (2)
- After a large number of studies have been conducted, artificial neural network models could be utilized in the prediction and evaluation of the impermeability performance of AAS concretes after exposure to high temperatures.
Author Contributions
Funding
Institutional Review Board Statement
Informed Consent Statement
Data Availability Statement
Acknowledgments
Conflicts of Interest
Abbreviations
| PC | Portland cement |
| AAS | Alkali-activated slag |
| GGBS | Ground granulated blast furnace slag |
| Na2O% | Alkali concentration of activator |
| Ms | Modulus of activator |
| CA | Coarse aggregate |
| FA | Fine aggregate |
| WG | Water glass |
| W/B | Water/binder ratio |
| C | Charge passed |
References
- Rivera, O.G.; Long, W.R.; Weiss, C.A., Jr.; Moser, R.D.; Williams, B.A.; Torres-Cancel, K.; Gore, E.R.; Allison, P.G. Effect of elevated temperature on alkali-activated geopolymeric binders compared to portland cement-based binders. Cem. Concr. Res. 2016, 90, 43–51. [Google Scholar] [CrossRef]
- Zhang, M.; Ma, Q.; Chen, Y.; Liu, Z.; Zhou, H. Thermal-Related Stress–Strain Behavior of Alkali Activated Slag Concretes under Compression. Materials 2023, 16, 3470. [Google Scholar] [CrossRef] [PubMed]
- Ma, Q.; Guo, R.; Zhao, Z.; Lin, Z.; He, K. Mechanical properties of concrete at high temperature—A review. Constr. Build. Mater. 2015, 93, 371–383. [Google Scholar] [CrossRef]
- Yang, Y.; Huang, L.; Xu, L.; Yu, M.; Ye, H.; Chi, Y. Temperature-dependent compressive stress-strain behaviors of alkali-activated slag-based ultra-high strength concrete. Constr. Build. Mater. 2022, 357, 129250. [Google Scholar] [CrossRef]
- Yang, S.; Wang, J.; Dong, K.; Zhang, X.; Sun, Z. A predictive solution for fracture modeling of alkali-activated slag and fly ash blended sea sand concrete after exposure to elevated temperature. Constr. Build. Mater. 2022, 329, 127111. [Google Scholar] [CrossRef]
- Cai, R.; Ye, H. Clinkerless ultra-high strength concrete based on alkali-activated slag at high temperatures. Cem. Concr. Res. 2021, 145, 106465. [Google Scholar] [CrossRef]
- Dener, M.; Karatas, M.; Mohabbi, M. High temperature resistance of self compacting alkali activated slag/portland cement composite using lightweight aggregate. Constr. Build. Mater. 2021, 290, 123250. [Google Scholar] [CrossRef]
- Behfarnia, K.; Shahbaz, M. The effect of elevated temperature on the residual tensile strength and physical properties of the alkali-activated slag concrete. J. Build. Eng. 2018, 20, 442–454. [Google Scholar] [CrossRef]
- Manjunath, R.; Narasimhan, M.C.; Umesha, K.M. Studies on high performance alkali activated slag concrete mixes subjected to aggressive environments and sustained elevated temperatures. Constr. Build. Mater. 2019, 229, 116887. [Google Scholar] [CrossRef]
- Ray, T.; Mohanta, N.R.; Kumar, M.H.; Macharyulu, I.S.; Samantaray, S. Study of effect of temperature on behavior of alkali activated slag concrete. Mater. Today Proc. 2021, 43, 1352–1357. [Google Scholar] [CrossRef]
- Tran, T.T.; Kwon, H.M. Influence of activator Na2O concentration on residual strengths of alkali-activated slag mortar upon exposure to elevated temperatures. Materials 2018, 11, 1296. [Google Scholar] [CrossRef] [PubMed]
- Choinska, M.; Khelidj, A.; Chatzigeorgiou, G.; Pijaudier-Cabot, G. Effects and interactions of temperature and stress-level related damage on permeability of concrete. Cem. Concr. Res. 2007, 37, 79–88. [Google Scholar] [CrossRef]
- Kodur, V.K.R.; Agrawal, A. Effect of temperature induced bond degradation on fire response of reinforced concrete beams. Eng. Struct. 2017, 142, 98–109. [Google Scholar] [CrossRef]
- Memon, S.A.; Shah, S.F.A.; Khushnood, R.A.; Balochet, W.L. Durability of sustainable concrete subjected to elevated temperature–A review. Constr. Build. Mater. 2019, 199, 435–455. [Google Scholar] [CrossRef]
- Touil, B.; Ghomari, F.; Bezzar, A.; Khelidj, A.; Bonnet, S. Effect of temperature on chloride diffusion in saturated concrete. Mater. J. 2017, 114. [Google Scholar] [CrossRef]
- Mathews, M.E.; Kiran, T.; Naidu, V.C.H.; Jeyakumaret, G.; Anand, N. Effect of high-temperature on the mechanical and durability behaviour of concrete. Mater. Today Proc. 2021, 42, 718–725. [Google Scholar] [CrossRef]
- De Gutierrez, R.M.; Maldonado, J.; Gutiérrez, C. Performance of alkaline activated slag at high temperatures. Mater. Constr. 2004, 54, 87–92. [Google Scholar]
- Fu, H.; Mo, R.; Wang, P.; Wang, Y.; Cao, Y.; Guang, W.; Ding, Y. Influence of Elevated Temperatures and Cooling Method on the Microstructure Development and Phase Evolution of Alkali-Activated Slag. Materials 2022, 15, 2022. [Google Scholar] [CrossRef]
- Ma, Q.; Nanukuttan, S.V.; Basheer, P.A.M.; Bai, Y.; Yang, C. Chloride transport and the resulting corrosion of steel bars in alkali activated slag concretes. Mater. Struct. 2016, 49, 3663–3677. [Google Scholar] [CrossRef]
- Ma, Q.; Liu, Q.; Li, L.; Qing, X.; Zhang, M.; Shi, T. Influence of temperature elevation on residual compressive strength of alkali activated slag concretes. J. Civ. Environ. Eng. 2023, 1–8. (In Chinese) [Google Scholar]
- Akçaözoğlu, S.; Çiflikli, M.; Bozkaya, Ö.; Atiş, C.D.; Uluet, C. Examination of mechanical properties and microstructure of alkali activated slag and slag-metakaolin blends exposed to high temperatures. Struct. Concr. 2022, 23, 1273–1289. [Google Scholar] [CrossRef]
- GB/T 50080-2016; Standard for Test Method of Performance on Ordinary Fresh Concrete. China Standards Press: Beijing, China, 2016.
- GB/T 1346-2011; Test Methods for Water Requirement of Normal Consistency, Setting Time and Soundness of the Portland Cement. China Standards Press: Beijing, China, 2011.
- GB/T 50082-2009; Standard for Test Methods of Long-Term Performance and Durability of Ordinary Concrete. China Standards Press: Beijing, China, 2009.
- Bahrami, H.; Cheng, Y.P.; Bai, Y. Effect of modulus and dosage of waterglass on early age shrinkage of sodium silicate activated slag paste. In Proceedings of the International Workshop on Innovation in Low-Carbon Cement & Concrete Technology, London, UK, 21–24 September 2016. [Google Scholar]
- Vu, T.H.; Dang, L.C.; Kang, G.; Sirivivatnanon, V. Chloride induced corrosion of steel reinforcement in alkali activated slag concretes: A critical review. Case Stud. Constr. Mater. 2022, 16, e01112. [Google Scholar]
- Fu, Q.; Bu, M.; Zhang, Z.; Xu, W.; Yuan, Q.; Niu, D. Hydration characteristics and microstructure of alkali-activated slag concrete: A review. Engineering 2023, 20, 162–179. [Google Scholar] [CrossRef]
- Amer, I.; Kohail, M.; El-Feky, M.S.; Rashad, A.; Khalaf, A.M. A review on alkali-activated slag concrete. Ain. Shams. Eng. J. 2021, 12, 1475–1499. [Google Scholar] [CrossRef]
- Ji, X.; Wang, X.; Zhao, X.; Wang, Z.; Zhang, H.; Liu, J. Properties, Microstructure Development and Life Cycle Assessment of Alkali-Activated Materials Containing Steel Slag under Different Alkali Equivalents. Materials 2023, 17, 48. [Google Scholar] [CrossRef]
- Lima, V.M.E.; Basto, P.A.; Henrique, M.A.; Almeida, Y.M.; de Melo Neto, A.A. Optimizing the concentration of Na2O in alkaline activators to improve mechanical properties and reduce costs and CO2 emissions in alkali-activated mixtures. Constr. Build. Mater. 2022, 344, 128185. [Google Scholar] [CrossRef]
- Sadeghian, G.; Behfarnia, K.; Teymouri, M. Drying shrinkage of one-part alkali-activated slag concrete. J. Build. Eng. 2022, 51, 104263. [Google Scholar] [CrossRef]
- Rashad, A.M.; Zeedan, S.R.; Hassan, A.A. Influence of the activator concentration of sodium silicate on the thermal properties of alkali-activated slag pastes. Constr. Build. Mater. 2016, 102, 811–820. [Google Scholar] [CrossRef]
- Guerrieri, M.; Sanjayan, J.G. Behavior of combined fly ash/slag-based geopolymers when exposed to high temperatures. Fire Mater. 2010, 34, 163–175. [Google Scholar] [CrossRef]
- Choe, G.; Kim, G.; Yoon, M.; Hwang, E.; Nam, J.; Guncunski, N. Effect of moisture migration and water vapor pressure build-up with the heating rate on concrete spalling type. Cem. Concr. Res. 2019, 116, 1–10. [Google Scholar] [CrossRef]
- Shoaib, M.M.; Ahmed, S.A.; Balaha, M.M. Effect of fire and cooling mode on the properties of slag mortars. Cem. Concr. Res. 2001, 31, 1533–1538. [Google Scholar] [CrossRef]
- Bi, J.; Liu, P.; Gan, F. Effects of the cooling treatment on the dynamic behavior of ordinary concrete exposed to high temperatures. Constr. Build. Mater. 2020, 248, 118688. [Google Scholar] [CrossRef]









| CaO | SiO2 | Al2O3 | MgO | TiO2 | SO3 | MnO | Na2O | K2O | Fe2O3 | |
|---|---|---|---|---|---|---|---|---|---|---|
| GGBS | 38.26 | 31.40 | 15.71 | 6.90 | 2.94 | 1.43 | 1.23 | 0.96 | 0.53 | 0.38 |
| PC | 60.45 | 20.44 | 5.59 | 3.41 | 1.18 | 4.30 | 0.06 | 0.32 | 0.77 | 3.21 |
| Mix No. (Na2O%-Ms) | kg/m3 | |||||||
|---|---|---|---|---|---|---|---|---|
| GGBS | PC | WG | NaOH | CA | FA | Water | Superplasticizer | |
| 4%-1.5 | 344.2 | - | 90.0 | 9.1 | 1138.8 | 759.2 | 107.8 | - |
| 6%-1.0 | 336.4 | - | 87.9 | 17.5 | 1142.7 | 761.8 | 109.2 | - |
| 6%-1.5 | 328.7 | - | 128.9 | 13.0 | 1164.5 | 776.3 | 80.5 | - |
| 6%-2.0 | 321.5 | - | 168.0 | 8.6 | 1185.4 | 790.2 | 53.0 | - |
| 8%-1.5 | 314.6 | - | 164.4 | 1.5 | 1188.0 | 792.0 | 55.5 | - |
| PC | - | 380 | - | - | 1079.4 | 719.6 | 171.0 | 2.0 × 10−3 |
| Mix No. | Slump (mm) | Compressive Strength (MPa) |
|---|---|---|
| 4%-1.5 | 75.4 (±6.5) | 61.4 (±1.9) |
| 6%-1.0 | 100.2 (±4.1) | 63.6 (±7.5) |
| 6%-1.5 | 119.7 (±3.2) | 71.9 (±7.7) |
| 6%-2.0 | 114.8 (±3.9) | 70.4 (±4.7) |
| 8%-1.5 | 130.3 (±5.6) | 74.5 (±6.7) |
| PC | 100.2 (±7.1) | 63.1 (±3.2) |
| Mix No. | Temperature | Charge Passed (C) |
|---|---|---|
| 4%-1.5 | 25 °C | 759 (±47.5) |
| 200 °C | 2485 (±101.8) | |
| 400 °C | 5247 (±166.0) | |
| 6%-1.0 | 25 °C | 804 (±39.0) |
| 200 °C | 2731 (±105.8) | |
| 400 °C | 5940 (±94.9) | |
| 6%-1.5 | 25 °C | 908 (±7.0) |
| 200 °C | 3161 (±238.9) | |
| 400 °C | 6280 (±218.9) | |
| 6%-2.0 | 25 °C | 1068 (±74.0) |
| 200 °C | 3263 (±74.8) | |
| 400 °C | 6212 (±59.6) | |
| 8%-1.5 | 25 °C | 1224 (±24.9) |
| 200 °C | 3907 (±135.9) | |
| 400 °C | 6233 (±18.5) | |
| PC | 25 °C | 827 (±38.6) |
| 200 °C | 2431 (±140.4) | |
| 400 °C | 4801 (±258.2) |
| Mix No. | 25 °C | 400 °C | 800 °C | 1200 °C |
|---|---|---|---|---|
| 4%-1.5 | 9.14 | 9.25 | 13.43 | 15.27 |
| 6%-1.0 | 8.57 | 11.66 | 13.01 | 18.31 |
| 6%-1.5 | 7.17 | 20.15 | 22.03 | 23.54 |
| 6%-2.0 | 7.56 | 18.49 | 31.90 | 41.86 |
| 8%-1.5 | 6.05 | 19.01 | 41.74 | 51.34 |
| PC | 15.54 | 23.18 | 44.58 | - |
Disclaimer/Publisher’s Note: The statements, opinions and data contained in all publications are solely those of the individual author(s) and contributor(s) and not of MDPI and/or the editor(s). MDPI and/or the editor(s) disclaim responsibility for any injury to people or property resulting from any ideas, methods, instructions or products referred to in the content. |
© 2024 by the authors. Licensee MDPI, Basel, Switzerland. This article is an open access article distributed under the terms and conditions of the Creative Commons Attribution (CC BY) license (https://creativecommons.org/licenses/by/4.0/).
Share and Cite
Zhou, B.; Ma, Q.; Guo, R.; Li, P. Chloride Permeability of Alkali-Activated Slag Concretes after Exposure to High Temperatures. Materials 2024, 17, 1028. https://doi.org/10.3390/ma17051028
Zhou B, Ma Q, Guo R, Li P. Chloride Permeability of Alkali-Activated Slag Concretes after Exposure to High Temperatures. Materials. 2024; 17(5):1028. https://doi.org/10.3390/ma17051028
Chicago/Turabian StyleZhou, Baomeng, Qianmin Ma, Rongxin Guo, and Ping Li. 2024. "Chloride Permeability of Alkali-Activated Slag Concretes after Exposure to High Temperatures" Materials 17, no. 5: 1028. https://doi.org/10.3390/ma17051028
APA StyleZhou, B., Ma, Q., Guo, R., & Li, P. (2024). Chloride Permeability of Alkali-Activated Slag Concretes after Exposure to High Temperatures. Materials, 17(5), 1028. https://doi.org/10.3390/ma17051028

