Characterization of hFOB 1.19 Cell Line for Studying Zn-Based Degradable Metallic Biomaterials
Abstract
1. Introduction
2. Materials and Methods
2.1. Cell Cultivation
2.2. Preparation of the ZnCl2 Solution
2.3. Preparation of the Materials
2.4. Preparation of the Extracts
2.5. Metabolic Activity of hFOB 1.19 and Cytotoxicity of Zn2+ towards hFOB 1.19 after Long-Term Cultivation at Different Temperatures
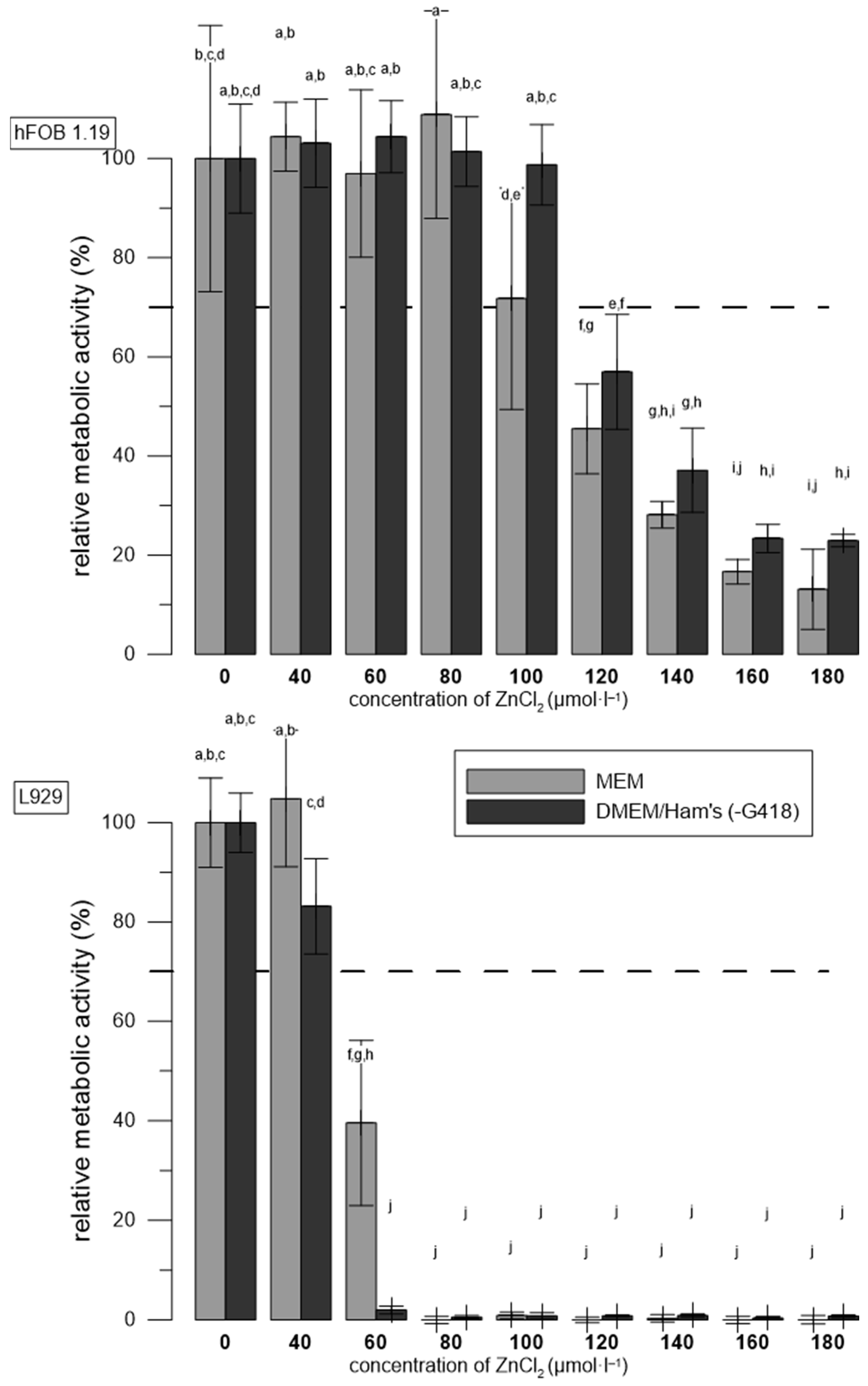
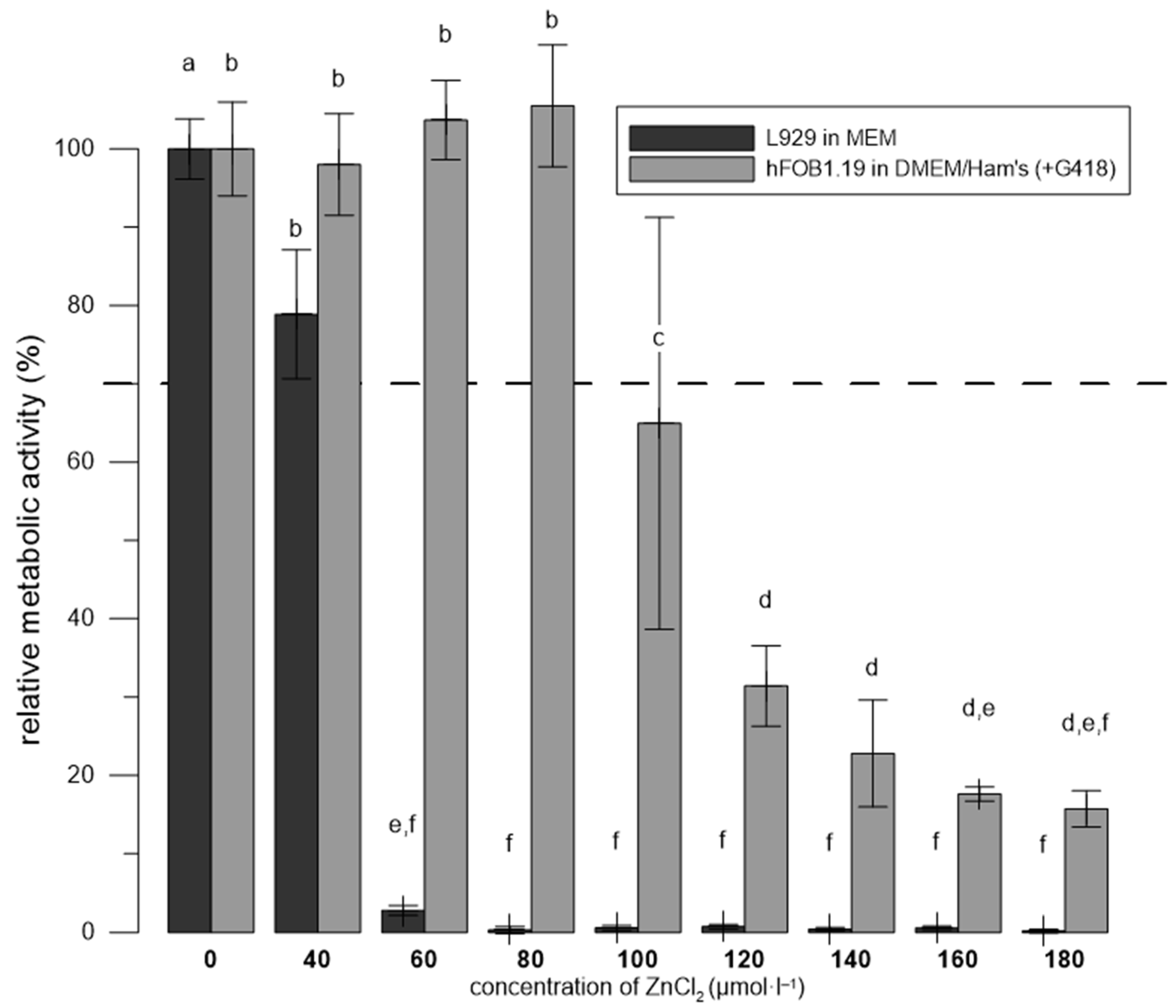
2.6. Cytotoxicity of Zn2+ and Extracts towards hFOB 1.19 and L929 in Different Media
2.7. Zn2+ and Extracts’ Cytotoxicity towards hFOB 1.19 and L929 in Different Media
2.8. Evaluation of Metabolic Activity (Resazurin Assay)
2.9. ICP-MS Measurement
2.10. Statistical Analysis
3. Results
3.1. The Influence of Selection Reagent on the Metabolic Activity of hFOB 1.19
3.2. Zn2+ Was More Toxic to hFOB 1.19 Cells at Restrictive Temperatures Than at Permissive Temperatures
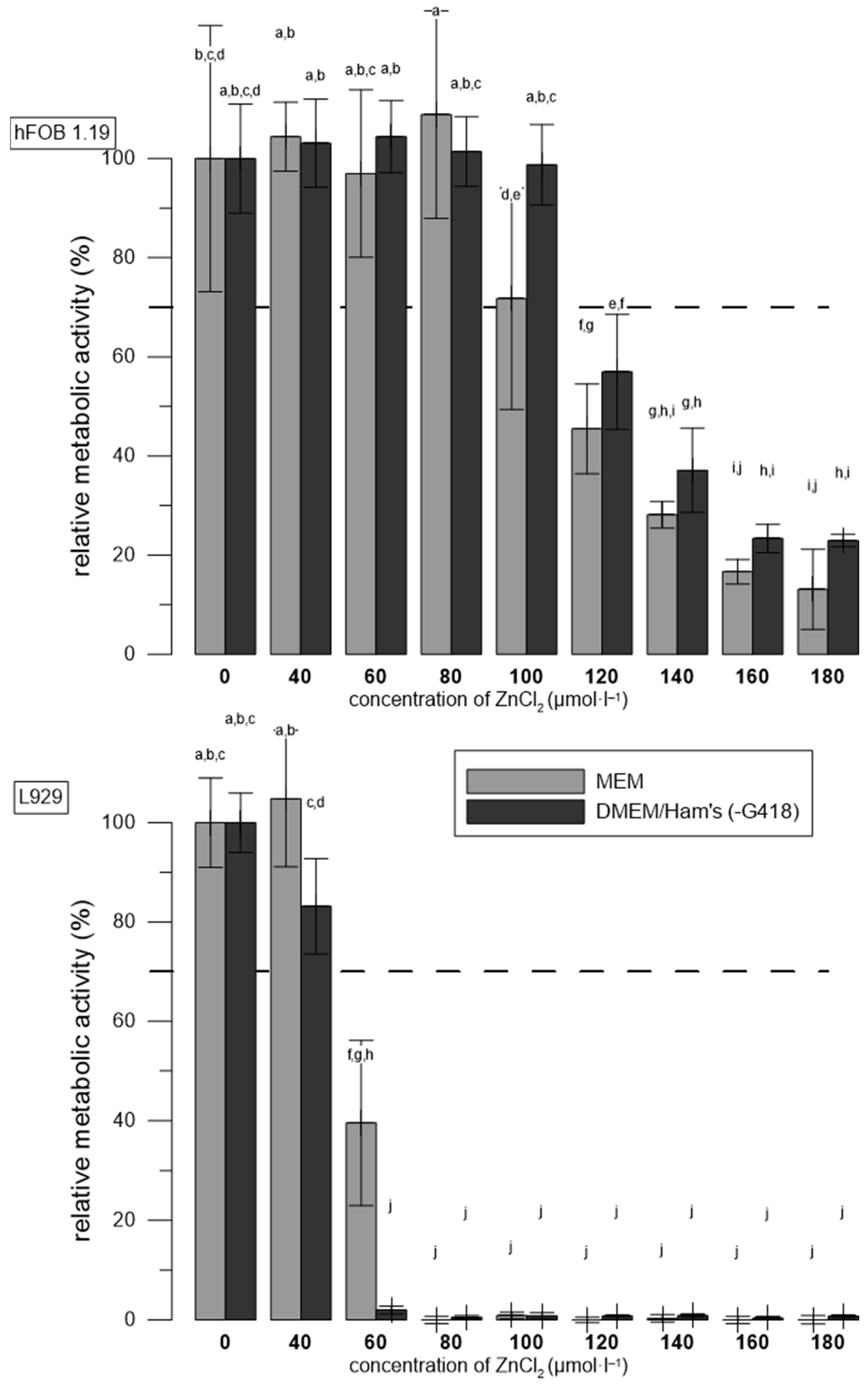
3.3. Zn2+ Was More Toxic to L929 Than to hFOB 1.19 in the Media Recommended for Each Cell Line
3.4. The Effects of Media Used
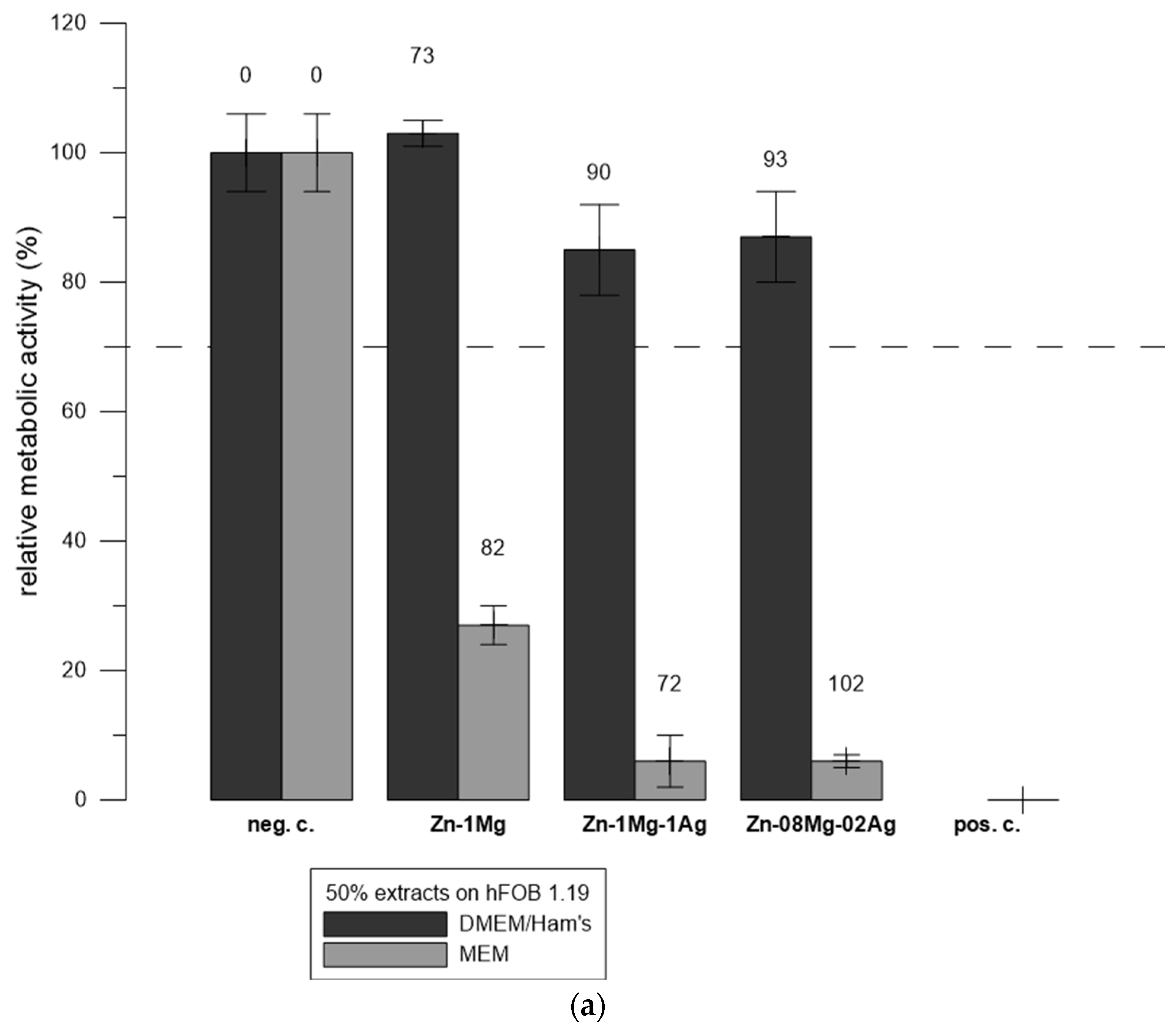
3.5. Comparison of the Cytotoxicity of Extracts of Alloys in Different Media towards hFOB 1.19 and L929
4. Discussion
5. Conclusions
Author Contributions
Funding
Institutional Review Board Statement
Informed Consent Statement
Data Availability Statement
Acknowledgments
Conflicts of Interest
References
- Zheng, Y.F.; Gu, X.N.; Witte, F. Biodegradable metals. Mater. Sci. Eng. R Rep. 2014, 77, 1–34. [Google Scholar] [CrossRef]
- Vojtěch, D.; Kubásek, J.; Šerák, J.; Novák, P. Mechanical and corrosion properties of newly developed biodegradable Zn-based alloys for bone fixation. Acta Biomater. 2011, 7, 3515–3522. [Google Scholar] [CrossRef] [PubMed]
- Pospíšilová, I.; Vojtěch, D. Zinc alloys for biodegradable medical implants. Mater. Sci. Forum Trans. Tech. Publ. 2014, 782, 457–460. [Google Scholar] [CrossRef]
- Venezuela, J.; Dargusch, M.S. The influence of alloying and fabrication techniques on the mechanical properties, biodegradability and biocompatibility of zinc: A comprehensive review. Acta Biomater. 2019, 87, 1–40. [Google Scholar] [CrossRef] [PubMed]
- Yang, H.; Jia, B.; Zhang, Z.; Qu, X.; Li, G.; Lin, W.; Zhu, D.; Dai, K.; Zheng, Y. Alloying design of biodegradable zinc as promising bone implants for load-bearing applications. Nat. Commun. 2020, 11, 401. [Google Scholar] [CrossRef] [PubMed]
- Levy, G.K.; Goldman, J.; Aghion, E. The Prospects of Zinc as a Structural Material for Biodegradable Implants—A Review Paper. Metals 2017, 7, 402. [Google Scholar] [CrossRef]
- Antoniac, I.; Adam, R.; Biță, A.; Miculescu, M.; Trante, O.; Petrescu, I.M.; Pogărășteanu, M. Comparative Assessment of In Vitro and In Vivo Biodegradation of Mg-1Ca Magnesium Alloys for Orthopedic Applications. Materials 2020, 14, 84. [Google Scholar] [CrossRef]
- Janardhanan, S.; Wang, M.O.; Fisher, J.P. Coculture strategies in bone tissue engineering: The impact of culture conditions on pluripotent stem cell populations. Tissue Eng. Part B Rev. 2012, 18, 312–321. [Google Scholar] [CrossRef]
- Hulsart-Billström, G.; Dawson, J.I.; Hofmann, S.; Müller, R.; Stoddart, M.J.; Alini, M.; Redl, R.; El Haj, A.; Brown, R.; Salih, V.; et al. A surprisingly poor correlation between in vitro and in vivo testing of biomaterials for bone regeneration: Results of a multicentre analysis. Eur. Cells Mater. 2016, 31, 312–322. [Google Scholar] [CrossRef]
- Rijal, G.; Li, W. Native-mimicking in vitro microenvironment: An elusive and seductive future for tumor modeling and tissue engineering. J. Biol. Eng. 2018, 12, 20. [Google Scholar] [CrossRef]
- Anderson, J.M. Future challenges in the in vitro and in vivo evaluation of biomaterial biocompatibility. Regen. Biomater. 2016, 3, 73–77. [Google Scholar] [CrossRef] [PubMed]
- Ray, S.; Anderson, M.E.; Loeber, G.; McVey, D.; Tegtmeyer, P. Functional characterization of temperature-sensitive mutants of simian virus 40 large T antigen. J. Virol. 1992, 66, 6509–6516. [Google Scholar] [CrossRef] [PubMed]
- Reynisdóttir, I.; O’Reilly, D.; Miller, L.; Prives, C.J.J.O.V. Thermally inactivated simian virus 40 tsA58 mutant T antigen cannot initiate viral DNA replication in vitro. J. Virol. 1990, 64, 6234–6245. [Google Scholar] [CrossRef]
- ISO 10993-5:2009; Biological Evaluation of Medical Devices, Part 5: Tests for In Vitro Cytotoxicity. ISO: London, UK, 2009; p. 34.
- Pautke, C.; Schieker, M.; Tischer, T.; Kolk, A.; Neth, P.; Mutschler, W.; Milz, S. Characterization of osteosarcoma cell lines MG-63, Saos-2 and U-2 OS in comparison to human osteoblasts. Anticancer Res. 2004, 24, 3743–3748. [Google Scholar] [PubMed]
- Czekanska, E.M.; Stoddart, M.J.; Ralphs, J.R.; Richards, R.G.; Hayes, J.S. A phenotypic comparison of osteoblast cell lines versus human primary osteoblasts for biomaterials testing. J. Biomed. Mater. Res. A 2013, 2636, 102–2643. [Google Scholar] [CrossRef] [PubMed]
- Liu, Y.; Du, T.; Qiao, A.; Mu, Y.; Yang, H. Zinc-Based Biodegradable Materials for Orthopaedic Internal Fixation. J. Funct. Biomater. 2022, 13, 164. [Google Scholar] [CrossRef]
- Yuan, W.; Xia, D.; Wu, S.; Zheng, Y.; Guan, Z.; Rau, J.V. A review on current research status of the surface modification of Zn-based biodegradable metals. Bioact. Mater. 2022, 7, 192–216. [Google Scholar] [CrossRef]
- Jablonská, E.; Kubásek, J.; Vojtěch, D.; Ruml, T.; Lipov, J. Test conditions can significantly affect the results of in vitro cytotoxicity testing of degradable metallic biomaterials. Sci. Rep. 2021, 11, 6628. [Google Scholar] [CrossRef]
- Harris, S.A.; Enger, R.J.; Riggs, L.B.; Spelsberg, T.C. Development and characterization of a conditionally immortalized human fetal osteoblastic cell line. J. Bone Miner. Res. 1995, 10, 178–186. [Google Scholar] [CrossRef]
- Subramaniam, M.; Jalal, S.M.; Rickard, D.J.; Harris, S.A.; Bolander, M.E.; Spelsberg, T.C. Further characterization of human fetal osteoblastic hFOB 1.19 and hFOB/ER alpha cells: Bone formation in vivo and karyotype analysis using multicolor fluorescent in situ hybridization. J. Cell. Biochem. 2002, 87, 9–15. [Google Scholar] [CrossRef]
- Yen, M.-L.; Chien, C.-C.; Chiu, I.-M.; Huang, H.-I.; Chen, Y.-C.; Hu, H.-I.; Yen, B. Multilineage Differentiation and Characterization of the Human Fetal Osteoblastic 1.19 Cell Line: A Possible In Vitro Model of Human Mesenchymal Progenitors. Stem Cells 2007, 25, 125–131. [Google Scholar] [CrossRef]
- Marozin, S.; Simon-Nobbe, B.; Irausek, S.; Chung, L.W.K.; Lepperdinger, G. Kinship of conditionally immortalized cells derived from fetal bone to human bone-derived mesenchymal stroma cells. Sci. Rep. 2021, 11, 10933. [Google Scholar] [CrossRef] [PubMed]
- Cieslik, M.; Mertas, A.; Morawska-Chochół, A.; Sabat, D.; Orlicki, R.; Owczarek, A.; Król, W.; Cieślik, T. The Evaluation of the Possibilities of Using PLGA Co-Polymer and Its Composites with Carbon Fibers or Hydroxyapatite in the Bone Tissue Regeneration Process—In Vitro and in Vivo Examinations. Int. J. Mol. Sci. 2009, 10, 3224–3234. [Google Scholar] [CrossRef] [PubMed]
- Steckiewicz, K.; Barcinska, E.; Malankowska, A.; Zauszkiewicz-Pawlak, A.; Nowaczyk, G.; Zaleska-Medynska, A.; Inkielewicz-Stepniak, I. Impact of gold nanoparticles shape on their cytotoxicity against human osteoblast and osteosarcoma in in vitro model. Evaluation of the safety of use and anti-cancer potential. J. Mater. Sci. Mater. Med. 2019, 30, 22. [Google Scholar] [CrossRef] [PubMed]
- Pallavi, M.; Waterman, J.; Koo, Y.; Sankar, J.; Yun, Y. In Vitro Cytotoxicity of Possible Corrosion Products from Mg-Based Biodegradable Metals: Magnesium Oxide and Magnesium Hydroxide Nanoparticles. Appl. Sci. 2019, 9, 4304. [Google Scholar] [CrossRef]
- Gnaneshwar, P.V.; Sudakaran, S.V.; Abisegapriyan, S.; Sherine, J.; Ramakrishna, S.; Rahim, M.H.A.; Yusoff, M.M.; Jose, R.; Venugopal, J.R. Ramification of zinc oxide doped hydroxyapatite biocomposites for the mineralization of osteoblasts. Mater. Sci. Eng. C 2019, 96, 337–346. [Google Scholar] [CrossRef] [PubMed]
- Donahue, H.J.; Li, Z.; Zhou, Z.; Yellowley, C.E. Differentiation of human fetal osteoblastic cells and gap junctional intercellular communication. Am. J. Physiol.-Cell Physiol. 2000, 278, C315–C322. [Google Scholar] [CrossRef]
- Oki, A.; Parveen, B.; Hossain, S.; Adeniji, S.; Donahue, H. Preparation and in vitro bioactivity of zinc containing sol-gel–derived bioglass materials. J. Biomed. Mater. Res. Part A 2004, 69, 216–221. [Google Scholar] [CrossRef]
- Saidykhan, L.; Bakar, M.Z.A.; Rukayadi, Y.; Kura, A.; Latifah, S. Development of nanoantibiotic delivery system using cockle shell-derived aragonite nanoparticles for treatment of osteomyelitis. Int. J. Nanomed. 2016, 2016, 661–673. [Google Scholar] [CrossRef]
- Balla, V.; Bhat, A.; Bose, S.; Bandyopadhyay, A. Laser Processed TiN Reinforced Ti6Al4V Composite Coatings. J. Mech. Behav. Biomed. Mater. 2012, 6, 9–20. [Google Scholar] [CrossRef]
- Setzer, B.; Bächle, M.; Metzger, M.C.; Kohal, R.J. The gene-expression and phenotypic response of hFOB 1.19 osteoblasts to surface-modified titanium and zirconia. Biomaterials 2009, 30, 979–990. [Google Scholar] [CrossRef]
- Eugen, G.; Claus, M.; Anna-Maria, S.; Niklas, D.; Philipp, S.; Andrea, E.; Andrea, M.-L.; Elke, V. Degradation of 3D-printed magnesium phosphate ceramics in vitro and a prognosis on their bone regeneration potential. Bioact. Mater. 2023, 19, 376–391. [Google Scholar] [CrossRef] [PubMed]
- Predoi, D.; Iconaru, S.L.; Predoi, M.V. Fabrication of Silver- and Zinc-Doped Hydroxyapatite Coatings for Enhancing Antimicrobial Effect. Coatings 2020, 10, 905. [Google Scholar] [CrossRef]
- Donnadio, A.; Bini, M.; Centracchio, C.; Mattarelli, M.; Caponi, S.; Ambrogi, V.; Pietrella, D.; Di Michele, A.; Vivani, R.; Nocchetti, M. Bioinspired Reactive Interfaces Based on Layered Double Hydroxides-Zn Rich Hydroxyapatite with Antibacterial Activity. ACS Biomater. Sci. Eng. 2021, 7, 1361–1373. [Google Scholar] [CrossRef]
- Laskus-Zakrzewska, A.; Kazimierczak, P.; Kolmas, J. Porous Composite Granules with Potential Function of Bone Substitute and Simvastatin Releasing System: A Preliminary Study. Materials 2021, 14, 5068. [Google Scholar] [CrossRef] [PubMed]
- Chirica, I.; Enciu, A.-M.; Teddy, T.; Dudau, M.; Albulescu, L.; Iconaru, S.L.; Predoi, D.; Pasuk, I.; Enculescu, M.; Radu, C.; et al. The Physico-Chemical Properties and Exploratory Real-Time Cell Analysis of Hydroxyapatite Nanopowders Substituted with Ce, Mg, Sr, and Zn (0.5–5 at.%). Materials 2021, 14, 3808. [Google Scholar] [CrossRef] [PubMed]
- Higuchi, J.; Klimek, K.; Wojnarowicz, J.; Opalińska, A.; Chodara, A.; Szałaj, U.; Dąbrowska, S.; Fudala, D.; Ginalska, G. Electrospun Membrane Surface Modification by Sonocoating with HA and ZnO:Ag Nanoparticles—Characterization and Evaluation of Osteoblasts and Bacterial Cell Behavior In Vitro. Cells 2022, 11, 1582. [Google Scholar] [PubMed]
- Kazimierczak, P.; Golus, J.; Kolmas, J.; Wojcik, M.; Kolodynska, D.; Przekora, A. Noncytotoxic zinc-doped nanohydroxyapatite-based bone scaffolds with strong bactericidal, bacteriostatic, and antibiofilm activity. Biomater. Adv. 2022, 139, 213011. [Google Scholar] [CrossRef] [PubMed]
- Kubasek, J.; Vojtech, D.; Jablonska, E.; Pospisilova, I.; Lipov, J.; Ruml, T. Structure, mechanical characteristics and in vitro degradation, cytotoxicity, genotoxicity and mutagenicity of novel biodegradable Zn-Mg alloys. Mater. Sci. Eng. C Mater. Biol. Appl. 2016, 58, 24–35. [Google Scholar] [CrossRef]
- Kubásek, J.; Pinc, J.; Hosová, K.; Straková, M.; Molnárová, O.; Duchoň, J.; Nečas, D.; Čavojský, M.; Knapek, M.; Godec, M.; et al. The evolution of microstructure and mechanical properties of Zn-0.8Mg-0.2Sr alloy prepared by casting and extrusion. J. Alloys Compd. 2022, 906, 164308. [Google Scholar] [CrossRef]
- Nečas, D.; Kubásek, J.; Pinc, J.; Marek, I.; Donik, Č.; Paulin, I.; Vojtěch, D. Ultrafine-Grained Zn–Mg–Sr Alloy Synthesized by Mechanical Alloying and Spark Plasma Sintering. Materials 2022, 15, 8379. [Google Scholar] [CrossRef]
- Nečas, D.; Marek, I.; Pinc, J.; Vojtěch, D.; Kubásek, J. Advanced Zinc-Magnesium Alloys Prepared by Mechanical Alloying and Spark Plasma Sintering. Materials 2022, 15, 5272. [Google Scholar] [CrossRef]
- Riss, T.L.; Moravec, R.A.; Niles, A.L.; Duellman, S.; Benink, H.A.; Worzella, T.J.; Minor, L. Cell Viability Assays. In Assay Guidance Manual; Sittampalam, G.S., Coussens, N.P., Foley, T.L., Hoare, S.R.J., McGee, J., Eds.; 2016. Available online: https://www.ncbi.nlm.nih.gov/books/NBK144065/ (accessed on 7 February 2024).
- Liu, W.; Xiong, Y.; Gossen, M. Stability and homogeneity of transgene expression in isogenic cells. J. Mol. Med. 2006, 84, 57–64. [Google Scholar] [CrossRef]
- Ničová, A. Quantitative Analysis of hFOB1.19 Cell Line Proteome. Master’s Thesis, The University of Chemistry and Technology, Prague, Czech Republic, 2021. [Google Scholar]
- Yao, T.; Asayama, Y. Animal-cell culture media: History, characteristics, and current issues. Reprod. Med. Biol. 2017, 16, 99–117. [Google Scholar] [CrossRef]
- Sigma-Aldrich. Riboflavin in Cell Culture. Available online: https://www.sigmaaldrich.com/CZ/en/technical-documents/technical-article/cell-culture-and-cell-culture-analysis/mammalian-cell-culture/riboflavin (accessed on 21 March 2023).
- Chandra, G.; Pandey, A. Biodegradable bone implants in orthopedic applications: A review. Biocybern. Biomed. Eng. 2020, 40, 596–610. [Google Scholar] [CrossRef]
- Cui, Z.; Luo, M.; Zhang, Y.; Gong, D.; Wang, W.; Wang, J. Fabrication of high strength and plasticity of Zn-Mg composites with core–shell structure by spark plasma sintering. Mater. Lett. 2020, 279, 128525. [Google Scholar] [CrossRef]
- Bagha, P.S.; Khaleghpanah, S.; Sheibani, S.; Khakbiz, M.; Zakeri, A. Characterization of nanostructured biodegradable Zn-Mn alloy synthesized by mechanical alloying. J. Alloys Compd. 2018, 735, 1319–1327. [Google Scholar] [CrossRef]
- Xiao, X.; Liu, E.; Shao, J.; Ge, S. Advances on biodegradable zinc-silver-based alloys for biomedical applications. J. Appl. Biomater. Funct. Mater. 2021, 19, 22808000211062407. [Google Scholar] [CrossRef] [PubMed]
- Lansdown, A.B. Silver in health care: Antimicrobial effects and safety in use. Curr. Probl. Dermatol. 2006, 33, 17–34. [Google Scholar] [PubMed]






| Material | G418 | Temperatures | References |
|---|---|---|---|
| sol–gel-prepared glass materials with ZnO | not mentioned | 37 °C as permissive 39.5 °C as restrictive | [29] |
| Zn-doped HA coatings | not mentioned | 37 °C | [34] |
| Reactive interfaces based on hydroxides-Zn rich HA | present | 37 °C | [35] |
| 3D porous granules based on Zn-containing CaPs | present | 34 °C | [36] |
| Zn-doped HA nanopowders | not mentioned | 34 °C | [37]. |
| HA and bimetallic nanocomposite of ZnO–Ag | present | 34 °C | [38] |
| Zn-doped nanoHA-based bone scaffolds | present | 34 °C | [39] |
| Designation (Composition in wt.%) | Synthesis | Processing Conditions (Temperature and Extrusion Ratio) |
|---|---|---|
| Zn-1Mg | Powder metallurgy | Extrusion of powder billets at 200 °C and extrusion ratio of 25 |
| Zn-1Mg-1Ag | Powder metallurgy | Extrusion of powder billets at 200 °C and extrusion ratio of 25 |
| Zn-0.8Mg-0.2Ag | Conventional casting and extrusion | Extrusion of casted ingot at 200 °C and extrusion ratio of 25 |
Disclaimer/Publisher’s Note: The statements, opinions and data contained in all publications are solely those of the individual author(s) and contributor(s) and not of MDPI and/or the editor(s). MDPI and/or the editor(s) disclaim responsibility for any injury to people or property resulting from any ideas, methods, instructions or products referred to in the content. |
© 2024 by the authors. Licensee MDPI, Basel, Switzerland. This article is an open access article distributed under the terms and conditions of the Creative Commons Attribution (CC BY) license (https://creativecommons.org/licenses/by/4.0/).
Share and Cite
Jablonská, E.; Mrázková, L.; Kubásek, J.; Vojtěch, D.; Paulin, I.; Ruml, T.; Lipov, J. Characterization of hFOB 1.19 Cell Line for Studying Zn-Based Degradable Metallic Biomaterials. Materials 2024, 17, 915. https://doi.org/10.3390/ma17040915
Jablonská E, Mrázková L, Kubásek J, Vojtěch D, Paulin I, Ruml T, Lipov J. Characterization of hFOB 1.19 Cell Line for Studying Zn-Based Degradable Metallic Biomaterials. Materials. 2024; 17(4):915. https://doi.org/10.3390/ma17040915
Chicago/Turabian StyleJablonská, Eva, Lucie Mrázková, Jiří Kubásek, Dalibor Vojtěch, Irena Paulin, Tomáš Ruml, and Jan Lipov. 2024. "Characterization of hFOB 1.19 Cell Line for Studying Zn-Based Degradable Metallic Biomaterials" Materials 17, no. 4: 915. https://doi.org/10.3390/ma17040915
APA StyleJablonská, E., Mrázková, L., Kubásek, J., Vojtěch, D., Paulin, I., Ruml, T., & Lipov, J. (2024). Characterization of hFOB 1.19 Cell Line for Studying Zn-Based Degradable Metallic Biomaterials. Materials, 17(4), 915. https://doi.org/10.3390/ma17040915

