Fastening in Rock Mass—Structural Design of Shallow Embedded Anchors in Inhomogeneous Substrate
Abstract
1. Introduction
1.1. Post-Installed Anchors in Different Base Materials
1.2. Fastenings in Rock Mass
2. Materials and Methods
2.1. General
2.2. Rock Mass Substrate
2.3. Post-Installed Anchors
2.4. Fastening Areas and Assessment Method Types
2.5. In Situ Testing of Fasteners in Different Rock Types
2.6. Numerical Investigation
3. Results and Discussion
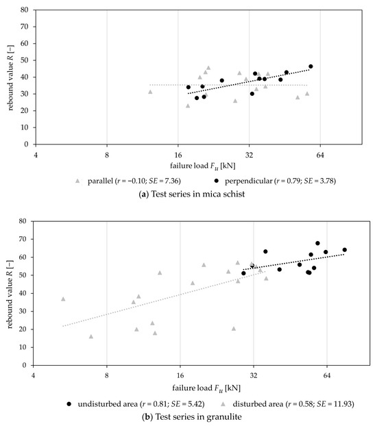
3.1. In Situ Testing of Fasteners in Different Rock Types
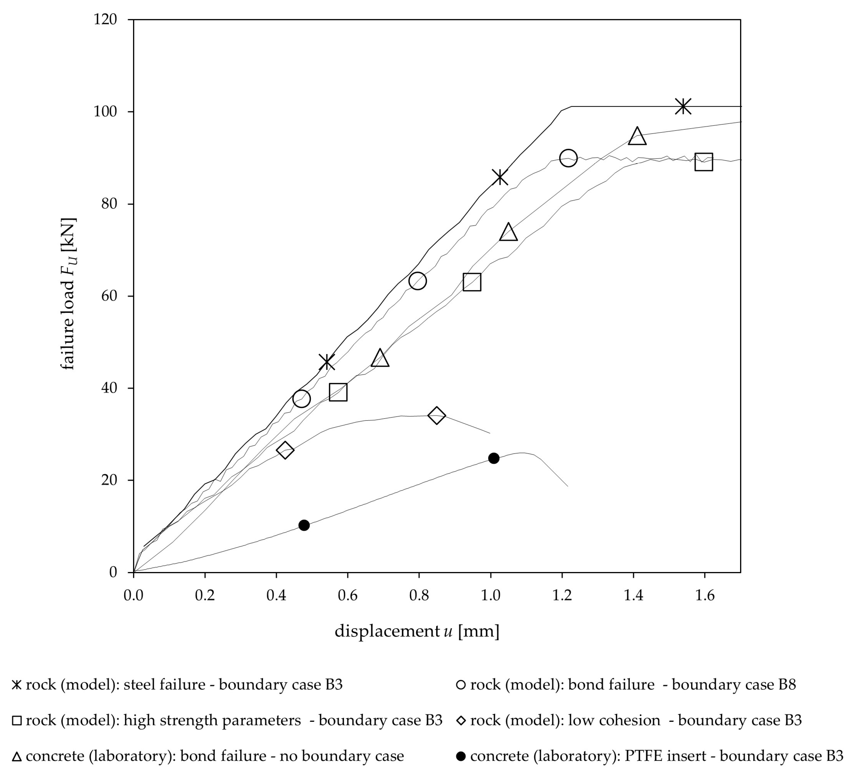
3.2. Numerical Investigation of Anchor Performance in Rock Mass
3.3. Applicability and Limitations of Assessment Methods
3.4. Determination of Partial Safety Factors in Rock Mass
- γR: partial safety factor [-]
- η: conversion factor [-]
- Rk: characteristic resistance [kN]
- Rd: design resistance [kN]
- µ: mean value of the lognormal distribution [kN]
- k: percentile factor [-]
- CV: sample coefficient of variation [%]
- αR: sensitivity factor [-]
- β: reliability index [-]
3.5. Proposal of a Procedure for the Design of Post-Installed Anchors in Rock
- NRk1: characteristic resistance [kN] from procedure (A)
- NRm: mean value of the determined failure loads [kN]
- k: percentile factor for an assumed 5% percentile, as shown in Table 8 [-]
- CV: coefficient of variation in the failure loads [%]
- NP: proof load [kN]
- NSd: design value of stress [kN]
- γR_prop: proposed partial safety factor on the resistance side, as shown in Table 9 [-]
- NRk2: characteristic resistance [kN] from procedure (B)
4. Conclusions
Author Contributions
Funding
Institutional Review Board Statement
Informed Consent Statement
Data Availability Statement
Conflicts of Interest
References
- EN 1992-4; Eurocode 2—Design of Concrete Structures—Part 4: Design of Fastenings for Use in Concrete. European Committee for Standardization: Brussels, Belgium, 2018.
- European Organisation for Technical Assessment. Technical Report TR 054—Design Methods for Anchorages with Metal Injection Anchors for Use in Masonry; European Organisation for Technical Assessment: Brussels, Belgium, 2016. [Google Scholar]
- Davis, T.; Cook, R. Stress versus Time-to-Failure Test Method for Evaluating the Sustained Load Performance of Adhesive Anchor Systems in Concrete. Understanding Adhesive Anchors—Behavior, Materials, Installation, Design. Am. Concr. Inst. 2012, 283, 1–12. [Google Scholar]
- Eligehausen, R.; Mallée, R. Befestigungstechnik im Beton- und Mauerwerkbau, 1st ed.; Ernst & Sohn Verlag: Berlin, Germany, 2000. [Google Scholar]
- Fuchs, W.; Eligehausen, R. Das CC-Verfahren für die Berechnung der Betonausbruchslast von Verankerungen Teil 1. Beton Stahlbetonbau 1995, 90, 6–9. [Google Scholar] [CrossRef]
- Fuchs, W.; Eligehausen, R. Das CC-Verfahren für die Berechnung der Betonausbruchslast von Verankerungen Teil 2. Beton Stahlbetonbau 1995, 90, 38–44. [Google Scholar] [CrossRef]
- Fuchs, W.; Eligehausen, R. Das CC-Verfahren für die Berechnung der Betonausbruchslast von Verankerungen Teil 3. Beton Stahlbetonbau 1995, 90, 73–76. [Google Scholar] [CrossRef]
- Eligehausen, R.; Appl, J.; Lehr, B.; Meszaros, J.; Fuchs, W. Tragverhalten und Bemessung von Befestigungen mit Verbunddübeln unter Zugbeanspruchung—Teil 1: Einzeldübel mit großem Achs- und Randabstand. Beton Stahlbetonbau 2004, 99, 561–571. [Google Scholar] [CrossRef]
- Eligehausen, R.; Appl, J.; Lehr, B.; Meszaros, J.; Fuchs, W. Tragverhalten und Bemessung von Befestigungen mit Verbunddübeln unter Zugbeanspruchung—Teil 2: Dübelgruppen und Befestigungen am Bauteilrand. Beton Stahlbetonbau 2005, 100, 856–864. [Google Scholar] [CrossRef]
- Cook, R. Behavior of chemically bonded anchors. J. Struct. Eng. 1993, 119, 2744–2762. [Google Scholar] [CrossRef]
- European Organisation for Technical Assessment. Technical Report TR 053—Recommendations for Job-Site Tests of Metal Injection Anchors for Use in Masonry; European Organisation for Technical Assessment: Brussels, Belgium, 2016. [Google Scholar]
- Xiao-Fei, L.; Ming, L.; Xue-Fu, Z.; Xiang-Ge, C.; Ming-Yong, Z.; Kai, Z. Crystallization blockage damage in tunnel drainage system and suggestions. Results Eng. 2023, 19, 101288. [Google Scholar] [CrossRef]
- Eligehausen, R.; Mallée, R.; Silva, J.F. Anchorage in Concrete Structures, 1st ed.; Ernst & Sohn Verlag: Berlin, Germany, 2006; pp. 264–341. [Google Scholar]
- Lamplmair, S.; Voit, K.; Zeman, O. Factors influencing the load-bearing capacity of rock as base material for post-installed anchors. Materials 2021, 14, 5130. [Google Scholar] [CrossRef]
- Lamplmair, S.; Zeman, O.; Voit, K. Beurteilung von Fels als Befestigungsuntergrund für nachträgliche Befestigungen mit geringer Einbindetiefe. Bautechnik 2021, 98, 650–661. [Google Scholar] [CrossRef]
- Contrafatto, L.; Cosenza, R. Behaviour of post-installed adhesive anchors in natural stone. Constr. Build. Mater. 2014, 68, 355–369. [Google Scholar] [CrossRef]
- Contrafatto, L.; Cosenza, R. Prediction of the pull-out strength of chemical anchors in natural stone. Frat. Ed. Integrità Strutt. 2014, 29, 196–208. [Google Scholar] [CrossRef]
- Tóth, M.; Hlavička, V.; Lublóy, É.; Török, Á.; Balázs, G.L. Performance of expansion and bonded anchors installed into concrete in comparison to limestone and granite. In Bond in Concrete—General Aspects of Bond; Cairns, W., Metelli, G., Plizzari, G.A., Eds.; Creations: Brescia, Italy, 2012; pp. 527–532. [Google Scholar]
- Holý, O. Evaluation of Many Load Tests of Passive Rock Bolts in the Czech Republic. GeoScience Eng. 2017, 63, 1–7. [Google Scholar] [CrossRef]
- Jonak, J.; Karpiński, R.; Siegmund, M.; Machrowska, A.; Prostański, D. Experimental Verification of Standard Recommendations for Estimating the Load-Carrying Capacity of Undercut Anchors in Rock Material. Adv. Sci. Technol. Res. J. 2021, 15, 230–244. [Google Scholar] [CrossRef]
- Jonak, J.; Karpiński, R.; Siegmund, M.; Wójcik, A.; Jonak, K. Analysis of the Rock Failure Cone Size Relative to the Group Effect from a Triangular Anchorage System. Materials 2020, 13, 4657. [Google Scholar] [CrossRef]
- Martín Díaz de Espada, C.; Rubio Cintas, M.D.; Mora Sepúlveda, C. Guide for the Design and Calculation of Via Ferrata. Preprints 2018. [Google Scholar] [CrossRef]
- Fogg, S.K.; O’Daniel, S.J.; Poole, G.C.; Reinhold, A.M.; Hyman, A.A. A simple, reliable method for long-term, in-stream data logger installation using rock-climbing hardware. Methods Ecol. Evol. 2020, 11, 684–689. [Google Scholar] [CrossRef]
- Deere, D.U.; Deere, D.W. Rock Quality Designation (RQD) After 20 Years; Contract Report GL-89-1; USACE: Washington, DC, USA, 1989. [Google Scholar]
- Hoek, E.; Brown, E.T. Practical estimates of rock mass strength. Int. J. Rock Mech. Min. Sci. 1997, 34, 1165–1186. [Google Scholar] [CrossRef]
- Hoek, E.; Brown, E.T. Underground Excavations in Rock; CRC Press: London, UK, 1980. [Google Scholar]
- Draebing, D.; Mayer, T. Topographic and Geologic Controls on Frost Cracking in Alpine Rockwalls. J. Geophys. Res. Earth 2021, 126, e2021JF006163. [Google Scholar] [CrossRef]
- Heidarzadeh, S.; Saeidi, A.; Lavoie, C.; Rouleau, A. Geomechanical characterization of a heterogenous rock mass using geological and laboratory test results: A case study of the Niobec Mine, Quebec (Canada). SN Appl. Sci. 2021, 3, 640. [Google Scholar] [CrossRef]
- Jonak, J.; Karpiński, R.; Wójcik, A. Influence of the Undercut Anchor Head Angle on the Propagation of the Failure Zone of the Rock Medium—Part II. Materials 2021, 14, 3880. [Google Scholar] [CrossRef] [PubMed]
- Jonak, J.; Karpiński, R.; Wójcik, A. Influence of the Undercut Anchor Head Angle on the Propagation of the Failure Zone of the Rock Medium. Materials 2021, 14, 2371. [Google Scholar] [CrossRef] [PubMed]
- Jonak, J.; Siegmund, M.; Karpiński, R.; Wójcik, A. Three-Dimensional Finite Element Analysis of the Undercut Anchor Group Effect in Rock Cone Failure. Materials 2020, 13, 1332. [Google Scholar] [CrossRef] [PubMed]
- Itasca Consulting Group, Inc. UDEC—Universal Distinct Element Code, version 7.0; Itasca: Minneapolis, IL, USA, 2019.
- Gerstner, R.; Fey, C.; Kuschel, E. Polyphase rock slope failure controlled by pre-existing geological structures and rock bridges. Bull. Eng. Geol. Environ. 2023, 82, 363. [Google Scholar] [CrossRef]
- Bahaaddini, M.; Rahimi, M. Distinct element modelling of the mechanical behavior of intact rocks using Voronoi tessellation model. Int. J. Min. Geo-Eng. 2017, 52, 61–68. [Google Scholar] [CrossRef]
- Bahrani, N.; Hadjigeorgiou, J. Explicit reinforcement models for fully-grouted rebar rock bolts. J. Rock Mech. Geotech. Eng. 2017, 9, 267–280. [Google Scholar] [CrossRef]
- Nemcik, J.; Ma, S.; Aziz, N.; Ren, T.; Geng, X. Numerical modeling of failure propagation in fully grouted rock bolts subjected to tensile load. Int. J. Rock Mech. Min. Sci. 2014, 71, 293–300. [Google Scholar] [CrossRef]
- Shreedharan, S.; Kulatilake, P. Discontinuum-equivalent continuum analysis of the stability of tunnels in a deep coal mine using the distinct element method. Rock Mech. Rock Eng. 2016, 49, 1903–1922. [Google Scholar] [CrossRef]
- Malmgren, L.; Nordlund, E. Interaction of shotcrete with rock and rock bolts—A numerical study. Int. J. Rock Mech. Min. Sci. 2008, 45, 538–553. [Google Scholar] [CrossRef]
- Li, B.; Taiyue, Q.; Wang, Z.; Longwei, Y. Back analysis of grouted rock bolt pullout strength parameters from field tests. Tunn. Undergr. Space Technol. 2012, 28, 345–349. [Google Scholar] [CrossRef]
- Wang, J.; Apel, D.; Xu, H.; Wei, C. Evaluation of the performance of yielding rockbolts during rockbursts using numerical modeling method. Int. J. Coal Sci. Technol. 2022, 9, 87. [Google Scholar] [CrossRef] [PubMed]
- Bieniawski, Z.T. Engineering Rock Mass Classifications: A Complete Manual for Engineers and Geologists in Mining, Civil, and Petroleum Engineering; John Wiley & Sons: Hoboken, NJ, USA, 1989. [Google Scholar]
- Matura, A.; Heinz, H. Geologische Karte der Republik Österreich 1:50000—Erläuterungen zu Blatt 37 Mautern; Geologische Bundesanstalt: Wien, Austria, 1989. [Google Scholar]
- Fuchs, W. Geologische Karte der Republik Österreich 1:50000—61 Hainburg an der Donau—62; Geologische Bundesanstalt: Pressburg, Slovakia, 1985. [Google Scholar]
- Geologisches Gutachten; Geotec ZT GmbH Nfg.KG: Bad Deutsch-Altenburg, Austria, 2005.
- Schnabel, W. Geologische Karte der Republik Österreich 1:50000—58 Baden; Geologische Bundesanstalt: Wien, Austria, 1997. [Google Scholar]
- Geologisches Gutachten; Geologie Weixelberger GmbH: Gaaden, Austria, 2014.
- Roetzel, R. Geologische Karte der Republik Österreich 1:50000—22 Hollabrunn; Geologische Bundesanstalt: Wien, Austria, 1998. [Google Scholar]
- Geologische Bundesanstalt. Arbeitstagung Geologische Bundesanstalt, Haltepunkt 16—Limberg; Geologische Bundesanstalt: Vienna, Austria, 1991. [Google Scholar]
- Geologische Bundesanstalt. Arbeitstagung Geologische Bundesanstalt—3.2. das Moravikum der Thaya-Kuppel in Österreich; Geologische Bundesanstalt: Vienna, Austria, 1991. [Google Scholar]
- Höck, V.; Marschallinger, R.; Topa, D. Granat-Biotit-Geothermometrie in Metapeliten der Moravischen Zone in Österreich; Geologische Bundesanstalt: Vienna, Austria, 1990. [Google Scholar]
- Aydin, A. ISRM Suggested Method for Determination of the Schmidt Hammer Rebound Hardness: Revised Version. In The ISRM Suggested Methods for Rock Characterization, Testing and Monitoring; Springer: Cham, Switzerland, 2008; pp. 2007–2014. [Google Scholar] [CrossRef]
- Zeman, O.; Voit, K.; Lamplmair-Irsigler, S. Fastening in Concrete vs. Rock Mass—Comparative Determination of Pull-Out Loads for Artificially Created Discontinuities in Concrete; Structural Concrete: Martinez, CA, USA, 2024. [Google Scholar] [CrossRef]
- Itasca Consulting Group. UDEC—Universal Distinct Element CODE, version 7.0. In User’s Manual; Itasca Consulting Group: Itasca, IL, USA, 2019. [Google Scholar]
- Goodman, R.E. Rock Strength and Failure Criteria. In Introduction to Rock Mechanics; John Wiley&Sons: New York, NY, USA, 1989; p. 55. [Google Scholar]
- Gonzales de Vallejo, L.; Ferrer, M. Geological Engineering; CRC Press Taylor&Francis Group: London, UK, 2011; p. 678. [Google Scholar]
- Hoek, E. Shear Strength of Discontinuities. In Practical Rock Engineering; Rocscience: Toronto, ON, Canada, 2007; Available online: https://www.rocscience.com/learning/hoeks-corner (accessed on 1 November 2024).
- Voit, K. Einsatz und Optimierung von Tunnelausbruchsmaterial des Brenner Basistunnels. Ph.D. Thesis, University of Natural Resources and Life Sciences, Vienna, Austria, 2013. [Google Scholar]
- Hudson, J.; Harrison, J. Engineering Rock Mechanics: An Introduction to the Principles; Elsevier Science Ltd.: Amsterdam, The Netherlands, 1997. [Google Scholar] [CrossRef]
- EN 1990; Eurocode 0—Basis of Structural Design. European Committee for Standardization: Brussels, Belgium, 2010.
- Joint Committee on Structural Safety. JCSS Probabilistic Model Code—Part 3: Resistance Models; 3.1 Concrete Properties; Joint Committee on Structural Safety: Ghent, Belgium, 2000. [Google Scholar]
- Joint Committee on Structural Safety. JCSS Probabilistic Model Code—Part 3: Resistance Models; 3.2 Masonry Properties; Joint Committee on Structural Safety: Ghent, Belgium, 2011. [Google Scholar]
- Joint Committee on Structural Safety. JCSS Probabilistic Model Code—Part 3: Material Properties; 3.0 General Principles; Joint Committee on Structural Safety: Ghent, Belgium, 2000. [Google Scholar]
- Fischer, L. Sicherheitskonzept für neue Normen—ENV und DIN-neu, Grundlagen und Hintergrundinformationen—Teil 9: Einführung in die Zuverlässigkeitstheorie tragender Baukonstruktionen. Bautechnik 1999, 76, 921–932. [Google Scholar] [CrossRef]
- Owen, D.B. Handbook of Statistical Tables; Addison-Wesley Pub. Co.: Boston, MA, USA, 1962. [Google Scholar]
- Joint Committee for Guides in Metrology. Evaluation of Measurement Data—Guide to the Expression of Uncertainty in Measurement; Joint Committee for Guides in Metrology: Geneva, Switzerland, 2008. [Google Scholar]
- Lont, M.A. Manual of Codes of Practice for the Determination of Uncertainties in Mechanical Tests on Metallic Materials: The Determination of Uncertainties in Charpy, Impact Testing; UNCERT COP 06; Standards Measurement & Testing Project. No. SMT4-CT97-2165; TNO: Apeldoorn, The Netherlands, 2000. [Google Scholar]
- Gabauer, W. Manual of Codes of Practice for the Determination of Uncertainties in Mechanical Tests on Metallic Materials: The Determination of Uncertainties in Tensile Testing; UNCERT COP 07; Project. No. SMT4-CT97-2165; TNO: Apeldoorn, The Netherlands, 2000. [Google Scholar]
- Gabauer, W. Manual of Codes of Practice for the Determination of Uncertainties in Mechanical Tests on Metallic Materials: The Estimation of Uncertainties in Hardness Measurements; UNCERT COP 14; Project. No. SMT4-CT97-2165; TNO: Apeldoorn, The Netherlands, 2000. [Google Scholar]
- Polzin, T.; Nowaczyk, D.; Tscheuschner, R.; Worch, A. Measurement uncertainty in testing of materials. Mater. Werkst. 2007, 38, 423–431. [Google Scholar] [CrossRef]
- Zeman, O.; Schwenn, M.; Bergmeister, K. Uncertainty of measurement and its influence on essential characteristics of post-installed fasteners. Beton Stahlbetonbau 2018, 113, 67–73. [Google Scholar] [CrossRef]















| Concrete | Masonry | Rock Mass | |
|---|---|---|---|
| Base material scheme: | ![]() | ![]() | ![]() |
| Base material characteristic: |
|
|
|
| Main material parameters: |
|
|
|
| Design regulations: |
|
|
|
| References: | [1,13] | [2,4,11] | [14,15,16,17,18] |
| Rock Type | Location (Austria) | Geology (Source) |
|---|---|---|
| Granulite | West of Vienna | Metamorphic; narrowly fractured [42] |
| Dolomitic limestone | East of Vienna | Sedimentary; tectonically strongly influenced [43,44] |
| Dolomite | Southwest of Vienna | Sedimentary; narrow joint distance [45,46] |
| Granite | Northwest of Vienna | Metamorphic; tectonically influenced [47,48] |
| Mica schist | Northwest of Vienna | Metamorphic; foliated, schistose [49,50] |
| Rock Type | Fastening Area (Assembly Situation) | Assessments per Anchor Position | References |
|---|---|---|---|
| Granulite | Disturbed (n = 18) Undisturbed (n = 12) | R, Fu | [14,15] 2 |
| Dolomitic limestone | Disturbed (n = 15) Undisturbed (n = 15) | R, Fu | [14,15] 2 |
| Dolomite | Disturbed (n = 10) Undisturbed (n = 0) 1 | R, Fu | [14,15] 2 |
| Granite | Disturbed (n = 15) Undisturbed (n = 15) | R, Fu | [14,15] 2 |
| Mica schist | Parallel to foliation (n = 15) Perpendicular to foliation (n = 12) | R, Fu | Performed for this study |
| Boundary Case | Schematic Illustration | Boundary Case | Schematic Illustration |
|---|---|---|---|
| B1 | ![]() | B5 | ![]() |
| B2 | ![]() | B6 | ![]() |
| B3 | ![]() | B7 | ![]() |
| B4 | ![]() | B8 | ![]() |
| Rock Conditions | Parameter Varied | t in MPa | c in MPa | φ in ° |
|---|---|---|---|---|
| c | 5.0 | 0–10 | 50 | |
| Strong | t | 0–10 | 10.0 | 50 |
| φ | 5.0 | 10.0 | 5–50 | |
| c | 0.1 | 0–10 | 30 | |
| Weak | t | 0–10 | 1.0 | 30 |
| φ | 0.1 | 1.0 | 5–50 |
| Fastening Area | R | Fu | ||
|---|---|---|---|---|
| Mean Value [-] | CV | Mean Value [kN] | CV | |
| Parallel to foliation (n = 15) | 35.3 | 20.2% | 30.3 | 40.8% |
| Perpendicular to foliation (n = 12) | 36.7 | 16.1% | 32.4 | 38.9% |
| Boundary Case | FU/FUR (%) for t, c and φ | |||||
|---|---|---|---|---|---|---|
| t | c | φ | ||||
| B1 | 100.0 | 100.0 | 100.0 | |||
| B2 | 100.0 | 100.0 | 100.0 | |||
| B3 | 17.6 | 35.2 | 92.8 | |||
| B4 | 51.6 | 100.0 | 100.0 | |||
| B5 | 20.1 | 100.0 | 100.0 | |||
| B6 | 22.0 | 100.0 | 100.0 | |||
| B7 | 16.6 | 44.5 | 93.2 | |||
| B8 | Weak | Strong | Weak | Strong | Weak | Strong |
| 29–100 | 14–100 | 44–100 | 13–100 | 83–100 | 100–100 | |
| N | 5 | 10 | 15 | ∞ |
|---|---|---|---|---|
| K | 3.400 | 2.570 | 2.330 | 1.645 |
| Method according to Figure 13 | (i) No base material assessment | (ii) Visual assessment of the fastening area with no joints affecting the anchor | (iii) Visual assessment and assessment by rebound hammer |
| Note: | Covers all fastening areas (disturbed, undisturbed, foliated) | Covers undisturbed fastening areas | Covers undisturbed fastening areas that meet R ≥ 36 |
| γR,MAX ≙ γR(i) | γR,MED ≙ γR(ii) | γR,MIN ≙ γR(iii) | |
| CV | 63% | 47% | 34% |
| γR_calc (calculated) | 2.41 | 1.92 | 1.61 |
| γR_prop (proposed) | 2.50 | 2.00 | 1.70 |
Disclaimer/Publisher’s Note: The statements, opinions and data contained in all publications are solely those of the individual author(s) and contributor(s) and not of MDPI and/or the editor(s). MDPI and/or the editor(s) disclaim responsibility for any injury to people or property resulting from any ideas, methods, instructions or products referred to in the content. |
© 2024 by the authors. Licensee MDPI, Basel, Switzerland. This article is an open access article distributed under the terms and conditions of the Creative Commons Attribution (CC BY) license (https://creativecommons.org/licenses/by/4.0/).
Share and Cite
Lamplmair-Irsigler, S.; Zeman, O.; Stierschneider, E.; Voit, K. Fastening in Rock Mass—Structural Design of Shallow Embedded Anchors in Inhomogeneous Substrate. Materials 2024, 17, 6044. https://doi.org/10.3390/ma17246044
Lamplmair-Irsigler S, Zeman O, Stierschneider E, Voit K. Fastening in Rock Mass—Structural Design of Shallow Embedded Anchors in Inhomogeneous Substrate. Materials. 2024; 17(24):6044. https://doi.org/10.3390/ma17246044
Chicago/Turabian StyleLamplmair-Irsigler, Stefan, Oliver Zeman, Elisabeth Stierschneider, and Klaus Voit. 2024. "Fastening in Rock Mass—Structural Design of Shallow Embedded Anchors in Inhomogeneous Substrate" Materials 17, no. 24: 6044. https://doi.org/10.3390/ma17246044
APA StyleLamplmair-Irsigler, S., Zeman, O., Stierschneider, E., & Voit, K. (2024). Fastening in Rock Mass—Structural Design of Shallow Embedded Anchors in Inhomogeneous Substrate. Materials, 17(24), 6044. https://doi.org/10.3390/ma17246044












