The Functionalization of Activated Polyester Fabrics with Chitosan—Changes in Zeta Potential and Moisture Management
Abstract
1. Introduction
2. Materials and Methods
2.1. Materials
2.2. Treatment Procedures
2.3. Characterization Methods
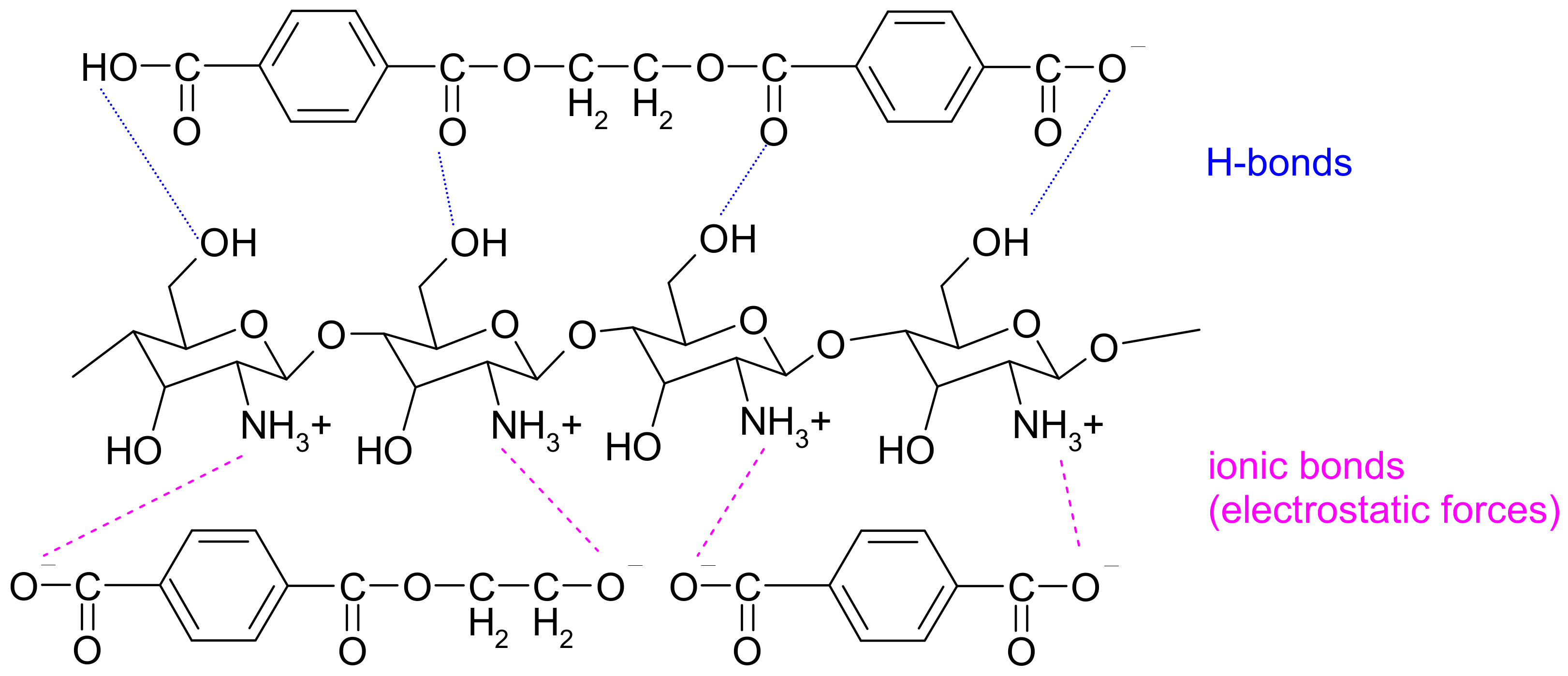
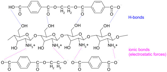
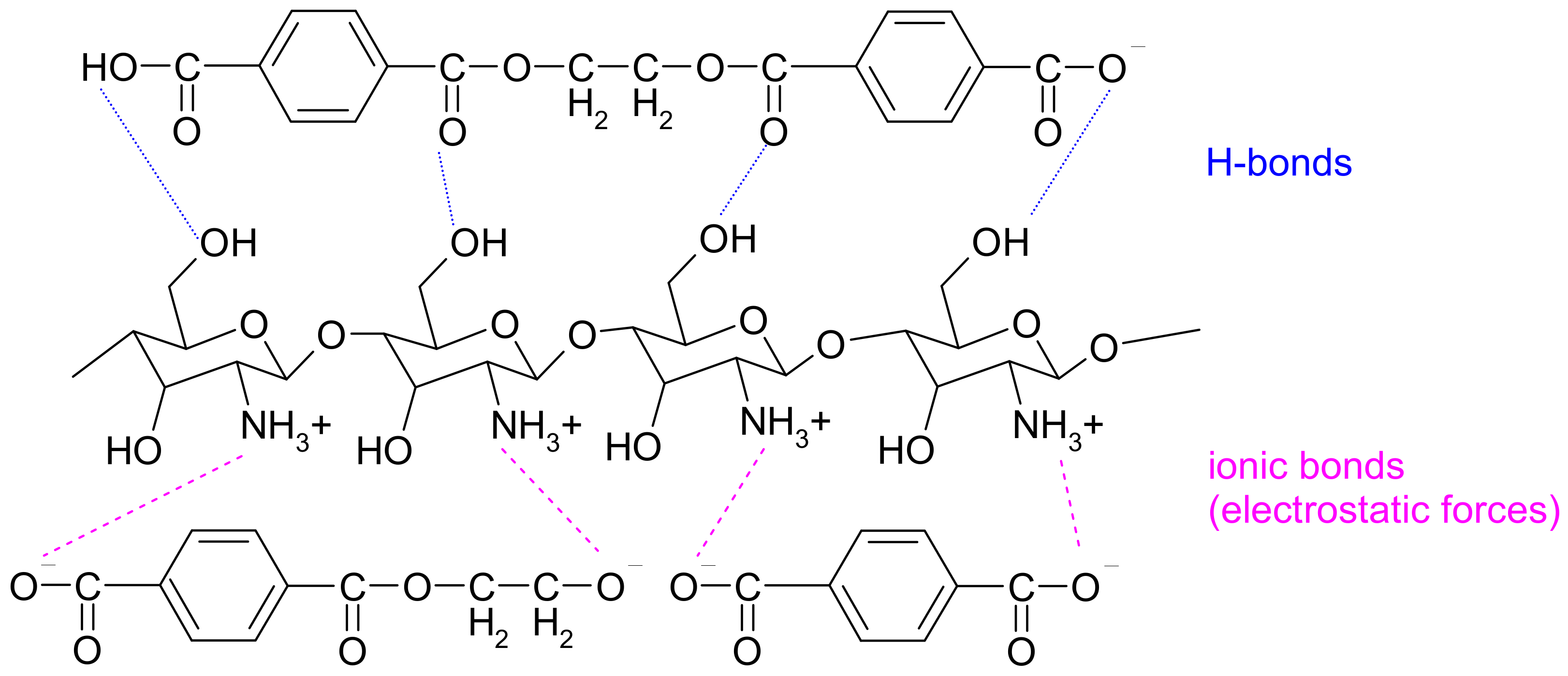
3. Results
4. Conclusions
Author Contributions
Funding
Institutional Review Board Statement
Informed Consent Statement
Data Availability Statement
Acknowledgments
Conflicts of Interest
References
- Hsieh, Y.L. Chapter 2: Surface Characteristics of Polyester Fibers. In Surface Characteristics of Fibers and Textiles, 1st ed.; Pastore, C., Kiekens, P., Eds.; Marcel Dekker: Basel, Switzerland, 2001; pp. 33–58. [Google Scholar]
- Sanders, E.M.; Zeronian, S.H. An analysis of the moisture-related properties of hydrolyzed polyester. J. Appl. Polym. Sci. 1982, 27, 4477–4491. [Google Scholar] [CrossRef]
- Zeronian, S.H.; Collins, M.J. Surface Modification of Polyester by Alkaline Treatments. Text. Prog. 1989, 20, 1–26. [Google Scholar] [CrossRef]
- Latta, B.M. Improved tactile and sorption properties of polyester fabrics through caustic treatment. Text. Res. J. 1984, 54, 766–775. [Google Scholar] [CrossRef]
- Tavanaia, H. A new look at the modification of polyethylene terephthalate by sodium hydroxide. J. Text. Inst. 2009, 100, 633–639. [Google Scholar] [CrossRef]
- Grancarić, A.M.; Soljačić, I.; Rukavina, I.; Čavar, T. Utjecaj obrade na efekte alkalne hidrolize poliestera. Tekstil 1988, 37, 689–694. [Google Scholar]
- Kallay, N.; Grancarić, A.M.; Tomić, M. Kinetics of Polyester Fibre Dissolution. Text. Res. J. 1990, 60, 663–668. [Google Scholar] [CrossRef]
- Grancarić, A.M.; Kallay, N. Kinetics of polyester fiber alkaline hydrolysis: Effect of temperature and cationic surfactants. J. Appl. Polym. Sci. 1993, 49, 175–181. [Google Scholar] [CrossRef]
- Grancarić, A.M.; Pušić, T.; Kallay, N. Modifikacija poliesterskog vlakna alkalnom hidrolizom. Polimeri 1991, 12, 141–145. [Google Scholar]
- Musale, R.M.; Shukla, S.R. Weight reduction of polyester fabric using sodium hydroxide solutions with additives cetyltrimethylammonium bromide and [BMIM]Cl. J. Text. Inst. 2017, 108, 467–471. [Google Scholar] [CrossRef]
- Gawish, S.M.; Bourgeois, M.; Ambroise, G. Effect of Cationic Surfactants on the Alkaline Hydrolysis of Polyester Fabrics. Am. Dyest. Report. 1986, 75, 19–24. [Google Scholar]
- Gawish, S.M.; Mosleh, S.; Ramadan, A.M. Synthesis of a new cationic surfactant for the alkaline hydrolysis of solvent-pretreated polyester fabrics. J. Appl. Polym. Sci. 2002, 85, 1652–1660. [Google Scholar] [CrossRef]
- Čorak, I.; Tarbuk, A.; Đorđević, D.; Višić, K.; Botteri, L. Sustainable Alkaline Hydrolysis of Polyester Fabric at Low Temperature. Materials 2022, 15, 1530. [Google Scholar] [CrossRef] [PubMed]
- Čorak, I.; Tarbuk, A.; Šeparović, N.; Višić, K.; Đorđević, D. Surface modification of polyester fabric at lower temperature. In 8th International Professional and Scientific Conference Book of Proceedings, Occupational Safety and Health; Kirin, S., Štedul, I., Bubaš, M., Eds.; Karlovac University of Applied Sciences: Karlovac, Croatia, 2022; pp. 564–570. [Google Scholar]
- Guebitz, G.M.; Cavaco-Paulo, A. Enzymes go big: Surface hydrolysis and functionalization of synthetic polymers. Trends Biotechnol. 2008, 26, 32–38. [Google Scholar] [CrossRef] [PubMed]
- Čorak, I.; Tarbuk, A.; Flinčec Grgac, S.; Dekanić, T. Bio-Innovative Modification of Poly(Ethylene Terephthalate) Fabric Using Enzymes and Chitosan. Polymers 2024, 16, 2532. [Google Scholar] [CrossRef]
- Dong, Z.Q.; Chen, G.Q. Alkaline Hydrolysis of Polyester in the Presence of Ionic Liquids. Adv. Mat. Res. 2012, 441, 661–665. [Google Scholar] [CrossRef]
- Cao, J.; Meng, C.; Cheng, X.; Pan, X. Surface alkali deweighting and dyeing of polyester fabric by one-bath and one-step process. Surf. Innov. 2019, 7, 104–111. [Google Scholar] [CrossRef]
- Pušić, T.; Kaurin, T.; Liplin, M.; Budimir, A.; Čurlin, M.; Grgić, K.; Sutlović, A.; Volmajer Valh, J. The Stability of the Chitosan Coating on Polyester Fabric in the washing process. Tekstilec 2023, 66, 85–104. [Google Scholar] [CrossRef]
- Burkinshaw, S.M. The roles of elevated temperature and carriers in the dyeing of polyester fibres using disperse dyes: Part 1 fundamental aspects. Color. Technol. 2024, 140, 149–207. [Google Scholar] [CrossRef]
- Braun, H. Particle Size and Solubility of Disperse Dyes. Rev. Prog. Color. Relat. Top. 1983, 13, 62–72. [Google Scholar] [CrossRef]
- Tarbuk, A.; Grancarić, A.; Jančijev, I.; Sharma, S. Protection against UV radiation using a modified polyester fabri. Tekstil 2006, 55, 383–394. (In Croatian) [Google Scholar]
- Grancarić, A.M.; Tarbuk, A. EDA Modified PET Fabric Treated with Activated Natural Zeolite Nanoparticles. Mater. Technol. Adv. Perform. Mater. 2009, 24, 58–63. [Google Scholar] [CrossRef]
- Grancarić, A.M.; Tarbuk, A.; McCall, D. Surface Modification of Polyester Fabric with Tribomechanically Activated Natural Zeolite (TMAZ) Nanoparticles. Polimeri 2007, 28, 219–224. Available online: https://hrcak.srce.hr/21590 (accessed on 1 November 2024). (In Croatian).
- Bakshi, P.S.; Selvakumar, D.; Kadirvelu, K.; Kumar, N.S. Chitosan as an environment friendly biomaterial—A review on recent modifications and applications. Int. J. Biol. Macromol. 2020, 150, 1072–1083. [Google Scholar] [CrossRef] [PubMed]
- Shahid-ul-Islam; Butola, B.S. Recent advances in chitosan polysaccharide and its derivatives in antimicrobial modification of textile materials. Int. J. Biol. Macromol. 2019, 121, 905–912. [Google Scholar] [CrossRef]
- Shabbir, M.; Rather, L.J.; Mohammad, F. Chitosan: Sustainable and Environmental-Friendly Resource for Textile Industry. In Chitosan: Derivatives, Composites and Applications; Ahmed, S., Ikram, S., Eds.; Scrivener Publishing: Beverly, MA, USA, 2017; Chapter 9; pp. 233–252. [Google Scholar] [CrossRef]
- Fras Zemljič, L.; Bračič, M.; Ristić, T.; Šauperl, O.; Strnad, S.; Peršin, Z. Functionalization of polymer materials for medical applications using chitosan nanolayers. In Polymeric Nanomaterials in Nanotherapeutics; Vasile, C., Ed.; Elsevier: Amsterdam, The Netherlands, 2019; Chapter 9; pp. 333–358. [Google Scholar] [CrossRef]
- Çaykara, T.; Sande, M.G.; Azoia, N.; Rodrigues, L.R.; Silva, C.J. Exploring the potential of polyethylene terephthalate in the design of antibacterial surfaces. Med. Microbiol. Immunol. 2020, 209, 363–372. [Google Scholar] [CrossRef]
- Simončič, B.; Tomšič, B. Structures of Novel Antimicrobial Agents for Textiles—A Review. Text. Res. J. 2010, 80, 1721–1737. [Google Scholar] [CrossRef]
- Flinčec Grgac, S.; Tarbuk, A.; Dekanić, T.; Sujka, W.; Draczyński, Z. The Chitosan Implementation into Cotton and Polyester/Cotton Blend Fabrics. Materials 2020, 13, 1616. [Google Scholar] [CrossRef]
- Flinčec Grgac, S.; Biruš, T.-D.; Tarbuk, A.; Dekanić, T.; Palčić, A. The Durable Chitosan Functionalization of Cellulosic Fabrics. Polymers 2023, 15, 3829. [Google Scholar] [CrossRef]
- Sunder, E.; Nalankilli, G. Croslinking of Chitosan with Cotton using Polycarboxylic Acids. Int. J. Eng. Res. Technol. 2014, 3, 1769–1774. [Google Scholar]
- Chung, Y.-S.; Lee, K.-K.; Kim, J.-W. Durable Press and Antimicrobial Finishing of Cotton Fabrics with a Citric Acid and Chitosan Treatment. Text. Res. J. 1998, 68, 772–775. [Google Scholar] [CrossRef]
- Latańska, I.; Kolesińska, B.; Draczyński, Z.; Sujka, W. The use of chitin and chitosan in manufacturing dressing materials. Prog. Chem. Appl. Chitin Its Deriv. 2020, 25, 16–36. [Google Scholar] [CrossRef]
- Tang, W.; Wang, J.; Hou, H.; Li, Y.; Wang, J.; Fu, J.; Lu, L.; Gao, D.; Liu, Z.; Zhao, F.; et al. Review: Application of chitosan and its derivatives in medical materials. Int. J. Biol. Macromol. 2023, 240, 124398. [Google Scholar] [CrossRef] [PubMed]
- Kim, J.H.; Lee, S.Y. Surface Modification of PET Film and Fabric by Oligo-Chitosan Treatment. Fibers Polym. 2014, 15, 2489–2494. [Google Scholar] [CrossRef]
- Hosseinnejad, M.; Jafari, S.M. Evaluation of different factors affecting antimicrobial properties of chitosan. Int. J. Biol. Macromol. 2016, 85, 467–475. [Google Scholar] [CrossRef]
- Furuike, T.; Komoto, D.; Hashimoto, H.; Tamura, H. Preparation of chitosan hydrogel and its solubility in organic acids. Int. J. Biol. Macromol. 2017, 104, 1620–1625. [Google Scholar] [CrossRef]
- Sikorski, D.; Gzyra-Jagiela, K.; Draczynski, Z. The Kinetics of Chitosan Degradation in Organic Acid Solutions. Mar. Drugs 2021, 19, 236. [Google Scholar] [CrossRef]
- Sikorski, D.; Bauer, M.; Frączyk, J.; Draczyński, Z. Antibacterial and Antifungal Properties of Modified Chitosan Nonwovens. Polymers 2022, 14, 1690. [Google Scholar] [CrossRef]
- Choi, B.K.; Kim, K.Y.; Yoo, Y.J.; Oh, S.J.; Choi, J.H.; Kim, C.Y. In vitro antimicrobial activity of a chitooligosaccharide mixture against Actinobacillus actinomycetemcomitans and Streptococcus mutans. Int. J. Antimicrob. Agents 2001, 18, 53–57. [Google Scholar] [CrossRef]
- Rabea, E.I.; Badawy, M.E.T.; Stevens, C.V.; Smagghe, G.; Steurbaut, W. Chitosan as antimicrobial agent: Applications and mode of action. Biomacromolecules 2003, 4, 1457–1465. [Google Scholar] [CrossRef]
- Ke, C.L.; Deng, F.S.; Chuang, C.Y.; Lin, C.H. Antimicrobial actions and applications of chitosan. Polymers 2021, 13, 904. [Google Scholar] [CrossRef]
- Hassan, M.I.; Mohamed, A.F.; Taher, F.A.; Kamel, M.R. Antimicrobial activities of chitosan nanoparticles prepared from Lucila Cuprina Maggots (Diptera Calliphoridae). J. Egypt. Soc. Parasitol. 2016, 46, 563–570. [Google Scholar] [PubMed]
- Hassan, M.I.; Mohamed, A.F.; Taher, F.A.; Kamel, M.R. Chitosan nanoparticles prepared from Lucilia Cuprina Maggots as antibacterial agent. J. Egypt. Soc. Parasitol. 2016, 46, 519–526. [Google Scholar] [PubMed]
- Hassan, M.; El-dek, S.; Mohamed, A.; Abdelwahab, A. In Vitro Assessment of Antimicrobial Activity of Chitosan Nanoparticles Loaded with the Honeybee, Apis mellifera Venom. Egypt. Acad. J. Biol. Sciences. A Entomol. 2019, 12, 85–103. [Google Scholar] [CrossRef]
- Zhang, W.; Zhang, J.; Xia, W. Effect of Ball-Milling Treatment on Physicochemical and Structural Properties of Chitosan. Int. J. Food Prop. 2014, 17, 26–37. [Google Scholar] [CrossRef]
- Czechowska-Biskup, R.; Wach, R.A.; Rosiak, J.M.; Ulański, P. Procedure for determination of the molecular weight of chitosan by viscometry. Prog. Chem. Appl. Chitin Its Deriv. 2018, 23, 45–54. [Google Scholar] [CrossRef]
- Qian, J.; Wang, X.; Chen, Y.; Mo, C.; Liang, C.; Guo, H. The correlation of molecule weight of chitosan oligomers with the corresponding viscosity and antibacterial activity. Carbohydr. Res. 2023, 530, 108860. [Google Scholar] [CrossRef]
- Li, J.; Fu, J.; Tian, X.; Hua, T.; Poon, T.; Koo, M.; Chan, W. Characteristics of chitosan fiber and their effects towards improvement of antibacterial activity. Carbohydr. Polym. 2022, 280, 119031. [Google Scholar] [CrossRef]
- Gomes, L.C.; Faria, S.I.; Valcarcel, J.; Vázquez, J.A.; Cerqueira, M.A.; Pastrana, L.; Bourbon, A.I.; Mergulhão, F.J. The Effect of Molecular Weight on the Antimicrobial Activity of Chitosan from Loligo opalescens for Food Packaging Applications. Mar. Drugs 2021, 19, 384. [Google Scholar] [CrossRef]
- van der Wal, A.; Norde, W.; Zehnder, A.J.B.; Lyklema, J. Determination of the total charge in the cell walls of Gram-positive bacteria. Colloids Surf. B Biointerfaces 1997, 9, 81–100. [Google Scholar] [CrossRef]
- Cremin, K.; Jones, B.A.; Teahan, J.; Meloni, G.N.; Perry, D.; Zerfass, C.; Asally, M.; Soyer, S.; Unwin, P.R. Scanning Ion Conductance Microscopy Reveals Differences in the Ionic Environments of Gram-Positive and Negative Bacteria. Anal. Chem. 2020, 92, 16024–16032. [Google Scholar] [CrossRef]
- UN Environment Programme: Green and Sustainable Chemistry. Available online: https://www.unep.org/topics/chemicals-and-pollution-action/circularity-sectors/green-and-sustainable-chemistry (accessed on 1 September 2024).
- DIN ISO 2267:2016-12; Surface Active Agents—Evaluation of Certain Effects of Laundering—Methods of Preparation and Use of Unsoiled Cotton Control Cloth. DIN: Berlin, Germany, 2016.
- Grancarić, A.M.; Tarbuk, A.; Pušić, T. Electrokinetic properties of textile fabrics. Color. Technol. 2005, 121, 221–227. [Google Scholar] [CrossRef]
- Luxbacher, T.; Pušić, T.; Bukšek, H.; Petrinić, I. The zeta potential of textile fabrics: A review. Tekstil 2016, 65, 346–351. Available online: https://hrcak.srce.hr/186570 (accessed on 1 November 2024).
- ISO 3801:1977; Textiles—Woven Fabrics—Determination of Mass per Unit Length and Mass per Unit Area. ISO: Geneva, Switzerland, 1977.
- ISO 13934-1:2013; Textiles—Tensile Properties of Fabrics—Part 1: Determination of Maximum Force and Elongation at Maximum Force Using the Strip Method. ISO: Geneva, Switzerland, 2013.
- ISO 105-J02:1997; Textiles—Tests for Color Fastness—Part J02: Instrumental Assessment of Relative Whiteness. ISO: Geneva, Switzerland, 1997.
- Griesser, R. Assessment of whiteness and tint of fluorescent substrates with good inter-instrument correlation. Color Res. Appl. 1994, 19, 446–460. [Google Scholar] [CrossRef]
- DIN 6167:1980-01; Description of Yellowness of Near-White or Near-Colourless Materials. DIN: Berlin, Germany, 1980.
- AATCC TM 195-2017; Liquid Moisture Management Properties of Textile Fabrics. AATCC: Research Triangle Park, NC, USA, 2017.
- AATCC TM 147-2016; Antibacterial Activity of Textile Materials: Parallel Streak. AATCC: Research Triangle Park, NC, USA, 2017.
- Pušić, T.; Grancarić, A.M.; Tarbuk, A.; Šauperl, O.; Soljačić, I. Adsorption and Desorption of Ionic Surfactants. Tenside Surfactants Deterg. 2010, 47, 173–178. [Google Scholar] [CrossRef]
- Jakobi, G. Detergents and Textile Washing; VCH GmbH: Weinheim, Germany, 1987. [Google Scholar]
- Smulders, E. Laundry Detergents; Wiley-VCH Verlag GmbH: Weinheim, Germany, 2002. [Google Scholar]
- Pepić, I.; Filipović-Grčić, J.; Jalšenjak, I. Bulk properties of nonionic surfactant and chitosan mixtures. Colloids Surf. A Physicochem. Eng. Asp. 2009, 336, 135–141. [Google Scholar] [CrossRef]
- Dekanić, T.; Tarbuk, A.; Flinčec Grgac, S. The liquid moisture management properties of low-temperature cured water-repellent cotton fabrics. Tekstil 2018, 67, 189–200. Available online: https://hrcak.srce.hr/243045 (accessed on 1 July 2024).
- Tarbuk, A.; Flinčec Grgac, S.; Dekanić, T. Wetting and Wicking of Hospital Protective Textiles. Adv. Technol. 2019, 8, 5–15. [Google Scholar] [CrossRef]








| Label | Treatment |
|---|---|
| STD | Untreated standard polyester fabric |
| −H | Alkali hydrolysis |
| −D3 | Functionalization with water suspension of chitosan submicron particles by thermosol process similar to disperse dyeing |
| −3 | Functionalization with homogenized chitosan gel by pad-dry-cure process |
| −1W, 3W, 5W, 10W | 1, 3, 5 or 10 washing cycles |
| Fabric | F[N] | CV [%] | ΔF [%] | ε[%] | CV [%] | Δε [%] | m[g/m2] | Δm |
| STD | 1914.50 | 2.05 | 22.65 | 2.04 | 170.00 | - | ||
| STD-D3 | 2007.00 | 2.87 | −4.83 | 23.85 | 2.18 | −5.30 | 177.72 | −4.54 |
| STD-D3-1W | 1891.00 | 1.45 | 1.23 | 24.00 | 3.19 | −5.96 | 171.72 | −1.01 |
| STD-3 | 1890.00 | 1.32 | 1.28 | 23.25 | 1.38 | −2.65 | 172.09 | −1.23 |
| STD-3-1W | 1898.50 | 2.97 | 0.84 | 25.20 | 0.98 | −11.26 | 172.41 | −1.42 |
| STD-3-3W | 1903.50 | 3.23 | 0.57 | 25.46 | 0.21 | −12.41 | 172.65 | −1.56 |
| STD-3-5W | 1860.50 | 1.77 | 2.82 | 25.50 | 0.36 | −12.58 | 172.47 | −1.45 |
| STD-3-10W | 1837.00 | 2.01 | 4.05 | 25.50 | 1.25 | −12.58 | 167.57 | 1.43 |
| STD-H | 1782.50 | 1.39 | 6.89 | 20.85 | 1.11 | 7.95 | 158.88 | 6.54 |
| STD-H-D3 | 1762.50 | 1.45 | 7.94 | 21.90 | 0.06 | 3.31 | 160.40 | 5.65 |
| STD-H-D3-1W | 1737.50 | 1.73 | 9.25 | 22.50 | 1.49 | 0.66 | 159.99 | 5.89 |
| STD-H-3 | 1854.00 | 0.90 | 3.16 | 24.30 | 2.08 | −7.28 | 173.42 | −2.01 |
| STD-H-3-1W | 1783.00 | 0.74 | 6.87 | 24.00 | 0.90 | −5.96 | 164.70 | 3.12 |
| STD-H-3-3W | 1825.50 | 1.36 | 4.65 | 24.30 | 2.32 | −7.28 | 162.78 | 4.25 |
| STD-H-3-5W | 1799.50 | 2.35 | 6.01 | 23.67 | 1.13 | −4.48 | 162.37 | 4.49 |
| STD-H-3-10W | 1774.00 | 1.47 | 7.34 | 23.55 | 1.25 | −3.97 | 161.11 | 5.23 |
| Fabric | WCIE | YI | TV | TD and Its Coloristic Meaning |
|---|---|---|---|---|
| STD | 77.9 | 3.0 | 0 | no appreciable deviation in tint from the white standard |
| STD-D3 | 76.6 | 3.6 | 0 | |
| STD-D3-1W | 76.9 | 3.5 | 0 | |
| STD-3 | 77.0 | 3.5 | 0.1 | |
| STD-3-1W | 75.6 | 3.8 | 0.1 | |
| STD-3-3W | 77.2 | 3.4 | 0.1 | |
| STD-3-5W | 77.9 | 3.3 | 0.1 | |
| STD-3-10W | 76.4 | 3.6 | 0.1 | |
| STD-H | 79.6 | 2.6 | 0.1 | |
| STD-H-D3 | 73.5 | 4.2 | −0.2 | |
| STD-H-D3-1W | 73.7 | 4.5 | −0.1 | |
| STD-H-3 | 78.2 | 3.2 | 0 | |
| STD-H-3-1W | 77.1 | 3.5 | 0 | |
| STD-H-3-3W | 78.1 | 3.1 | 0.1 | |
| STD-H-3-5W | 78.0 | 3.1 | 0.1 | |
| STD-H-3-10W | 73.7 | 4.3 | 0.1 |
| WT (s) | AR (%/s) | MWR (mm) | SS (mm/s) | R (%) | OMMC | Type | ||||||
|---|---|---|---|---|---|---|---|---|---|---|---|---|
| T | B | T | B | T | B | T | B | |||||
| STD | A | 67.18 | 3.42 | 6.38 | 59.24 | 5.0 | 6.25 | 4.52 | 1.45 | 924.82 | 0.67 | WPF |
| CV | 0.84 | 0.28 | 0.84 | 0.08 | 0.81 | 0.4 | 1.95 | 0.21 | 0.12 | 0.02 | ||
| STD-3 | A | 53.90 | 5.04 | 14.74 | 60.84 | 5.0 | 6.25 | 0.12 | 1.02 | 853.30 | 0.65 | WPF |
| CV | 0.54 | 0.28 | 0.93 | 0.135 | 0.0 | 0.4 | 0.64 | 0.25 | 0.14 | 0.02 | ||
| STD-3-1W | A | 43.14 | 4.73 | 8.99 | 49.41 | 8.75 | 10.0 | 0.58 | 1.18 | 569.38 | 0.58 | WPF |
| CV | 1.24 | 0.26 | 0.75 | 0.37 | 0.97 | 0.70 | 0.98 | 0.19 | 0.51 | 0.22 | ||
| STD-3-3W | A | 35.82 | 10.59 | 6.32 | 93.51 | 7.5 | 7.5 | 0.22 | 0.59 | 603.39 | 0.67 | WPF |
| CV | 0.58 | 0.57 | 0.31 | 0.53 | 0.38 | 0.38 | 0.60 | 0.33 | 0.31 | 0.04 | ||
| STD-3-5W | A | 20.29 | 7.37 | 7.52 | 64.19 | 5.0 | 5.0 | 0.33 | 0.66 | 676.11 | 0.65 | WPF |
| CV | 0.62 | 0.10 | 0.27 | 0.07 | 0.0 | 0.0 | 0.59 | 0.10 | 0.13 | 0.02 | ||
| STD-3-10W | A | 5.36 | 5.60 | 9.97 | 54.26 | 13.75 | 11.25 | 1.71 | 1.54 | 525.29 | 0.64 | WPF |
| CV | 0.27 | 0.31 | 0.50 | 0.27 | 0.54 | 0.56 | 0.50 | 0.75 | 0.31 | 0.02 | ||
| STD-H | A | 120.0 | 4.03 | 0.0 | 47.52 | 0.0 | 5.0 | 0.0 | 1.22 | 979.32 | 0.62 | WPF |
| CV | 0.0 | 0.23 | 0.0 | 0.31 | 0.0 | 0.0 | 0.0 | 0.24 | 0.03 | 0.08 | ||
| STD-H-3 | A | 20.29 | 7.37 | 7.52 | 64.19 | 5.0 | 5.0 | 0.33 | 0.66 | 676.11 | 0.65 | WPF |
| CV | 0.62 | 0.11 | 0.27 | 0.072 | 0.0 | 0.0 | 0.59 | 0.10 | 0.13 | 0.01 | ||
| STD-H-3-1W | A | 16.89 | 4.41 | 9.76 | 61.05 | 8.75 | 12.5 | 5.64 | 1.52 | 592.53 | 0.68 | WPF |
| CV | 1.52 | 0.41 | 0.21 | 0.07 | 0.28 | 0.23 | 1.75 | 0.68 | 0.31 | 0.10 | ||
| STD-H-3-3W | A | 14.37 | 4.12 | 22.55 | 73.18 | 15.0 | 15.0 | 2.14 | 2.90 | 534.17 | 0.80 | WPF |
| CV | 1.19 | 0.35 | 0.33 | 0.10 | 0.57 | 0.57 | 0.91 | 0.49 | 0.34 | 0.18 | ||
| STD-H-3-5W | A | 6.68 | 6.08 | 10.71 | 38.00 | 16.25 | 16.25 | 1.62 | 1.61 | 431.14 | 0.61 | MMF |
| CV | 0.33 | 0.22 | 0.22 | 0.30 | 0.29 | 0.294 | 0.33 | 0.31 | 0.19 | 0.04 | ||
| STD-H-3-10W | A | 10.71 | 4.85 | 20.11 | 30.73 | 23.75 | 23.75 | 1.68 | 1.78 | 264.01 | 0.43 | MMF |
| CV | 1.13 | 0.08 | 0.31 | 0.33 | 0.20 | 0.20 | 0.48 | 0.31 | 0.80 | 0.21 | ||
Disclaimer/Publisher’s Note: The statements, opinions and data contained in all publications are solely those of the individual author(s) and contributor(s) and not of MDPI and/or the editor(s). MDPI and/or the editor(s) disclaim responsibility for any injury to people or property resulting from any ideas, methods, instructions or products referred to in the content. |
© 2024 by the authors. Licensee MDPI, Basel, Switzerland. This article is an open access article distributed under the terms and conditions of the Creative Commons Attribution (CC BY) license (https://creativecommons.org/licenses/by/4.0/).
Share and Cite
Čorak, I.; Tarbuk, A.; Dekanić, T.; Sikorski, D.; Draczyński, Z. The Functionalization of Activated Polyester Fabrics with Chitosan—Changes in Zeta Potential and Moisture Management. Materials 2024, 17, 5987. https://doi.org/10.3390/ma17235987
Čorak I, Tarbuk A, Dekanić T, Sikorski D, Draczyński Z. The Functionalization of Activated Polyester Fabrics with Chitosan—Changes in Zeta Potential and Moisture Management. Materials. 2024; 17(23):5987. https://doi.org/10.3390/ma17235987
Chicago/Turabian StyleČorak, Ivana, Anita Tarbuk, Tihana Dekanić, Dominik Sikorski, and Zbigniew Draczyński. 2024. "The Functionalization of Activated Polyester Fabrics with Chitosan—Changes in Zeta Potential and Moisture Management" Materials 17, no. 23: 5987. https://doi.org/10.3390/ma17235987
APA StyleČorak, I., Tarbuk, A., Dekanić, T., Sikorski, D., & Draczyński, Z. (2024). The Functionalization of Activated Polyester Fabrics with Chitosan—Changes in Zeta Potential and Moisture Management. Materials, 17(23), 5987. https://doi.org/10.3390/ma17235987

