Observation of Boson Peak of Fragile Baltic Amber Glass by Terahertz Time-Domain Spectroscopy
Highlights
- The boson peak of Baltic amber glass was observed by THz time-domain spectroscopy.
- A boson peak frequency determined the dynamic correlation length.
- The static correlation length was determined by X-ray diffraction in the previous study.
- The dynamic correlation length is closely related to the static correlation length.
Abstract
1. Introduction
2. Materials and Methods
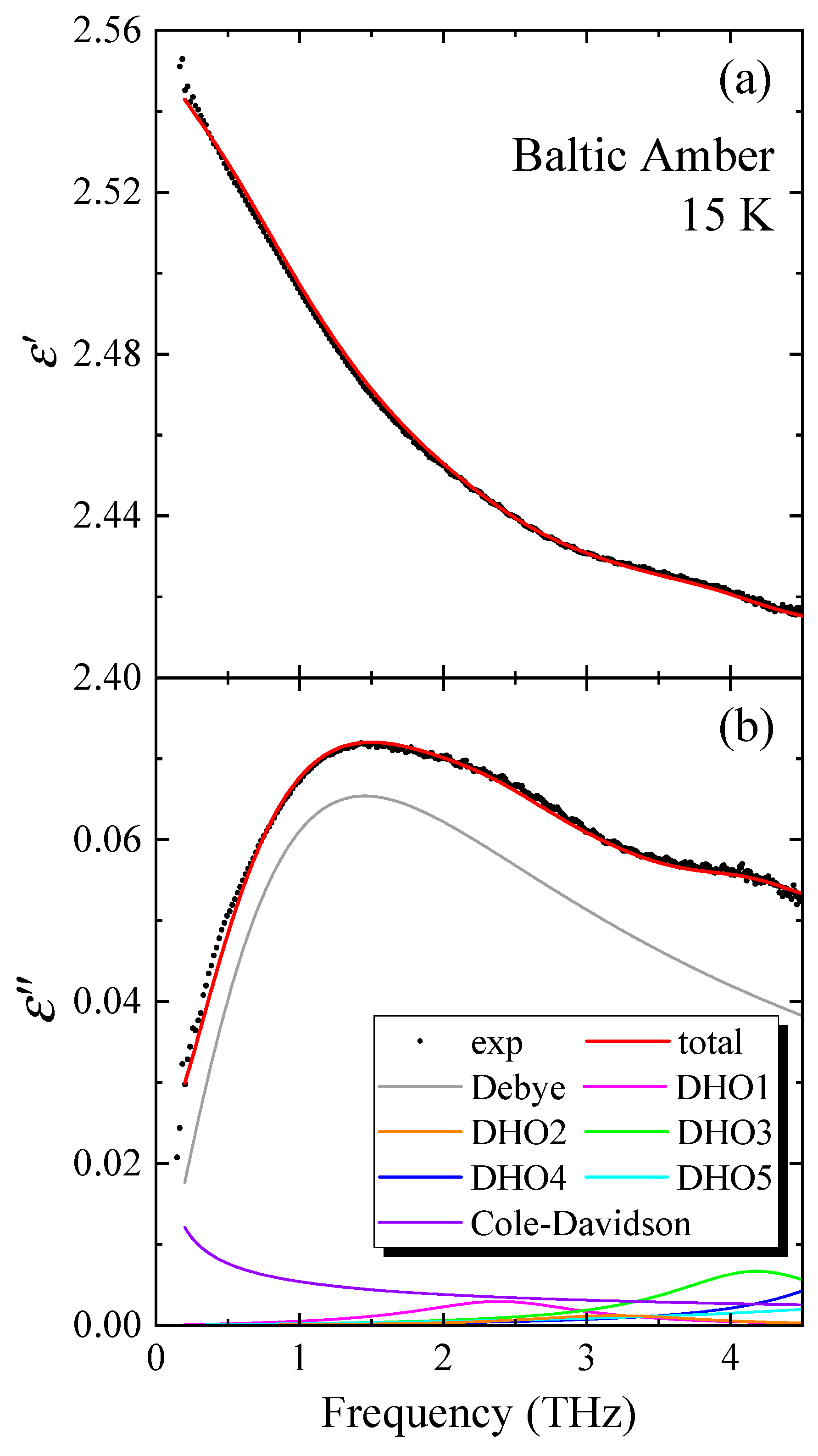
3. Observation of Boson Peak in the Sub-THz Range
4. Medium-Range Order
5. Analysis of Complex Dielectric Constant in the THz Frequency Range

6. Conclusions
Author Contributions
Funding
Institutional Review Board Statement
Informed Consent Statement
Data Availability Statement
Acknowledgments
Conflicts of Interest
References
- Kob, W.; Binder, K. Glassy Materials and Disordered Solids: An Introduction; World Scientific: London, UK, 2011. [Google Scholar]
- Nakayama, T. Boson peak and terahertz frequency dynamics of vitreous silica. Rep. Prog. Phys. 2002, 65, 1195–1242. [Google Scholar] [CrossRef]
- Kabeya, M.; Mori, T.; Fujii, Y.; Koreeda, A.; Lee, B.W.; Ko, J.-H.; Kojima, S. Boson peak dynamics of glassy glucose studied by integrated terahertz-band spectroscopy. Phys. Rev. B 2016, 94, 224204. [Google Scholar] [CrossRef]
- Sokolov, A.P.; Kisliuk, A.; Quitmann, D.; Kudlik, A.; Rossler, E. The dynamics of strong and fragile glass formers: Vibrational and relaxation contributions. J. Non-Crys. Solids 1994, 172–174, 138–153. [Google Scholar] [CrossRef]
- Sokolov, A.P.; Kisliuk, A.; Soltwisch, M.; Quitmann, D. Medium Range Order in Glasses: Comparison of Raman and Diffraction measurements. Phys. Rev. Lett. 1992, 69, 1540–1543. [Google Scholar] [CrossRef]
- Pogna, E.A.A.; Chumakov, A.I.; Ferrante, C.; Ramos, M.A.; Scopigno, T. Tracking the Connection between Disorder and Energy Landscape in Glasses Using Geologically Hyperaged Amber. J. Phys. Chem. Lett. 2019, 10, 427–432. [Google Scholar] [CrossRef] [PubMed]
- Sasaki, T.; Hashimoto, Y.; Mori, T.; Kojima, S. Broadband Terahertz Time-Domain Spectroscopy of Archaeological Baltic Amber. Inter. Lett. Chem. Phys. Astron. 2015, 62, 29–33. [Google Scholar] [CrossRef]
- Perez-Castaneda, T.; Jimenez-Rioboo, R.J.; Romas, M.A. Two-Level Systems and Boson Peak Remain Stable in 110-Million-Year-Old Amber Glass. Phys. Rev. Lett. 2014, 112, 165901. [Google Scholar] [CrossRef]
- Kimura, H.; Tsukada, Y.; Mita, H.; Yamamoto, Y.; Chujo, R.; Yukawa, T. A spectroscopic index for estimating the age of amber. Bull. Chem. Soc. Jpn. 2006, 79, 451–453. [Google Scholar] [CrossRef]
- Anderson, K.B.; Winans, R.E.; Botto, R.E. The nature and fate of natural resins in the geosphere—II. Identification, classification and nomenclature of resinites. Org. Geochem. 1992, 18, 829–841. [Google Scholar] [CrossRef]
- Poinar, G.O., Jr. Fossils explained 22: Palaeontology of amber. Geol. Today 1998, 14, 154–160. [Google Scholar] [CrossRef]
- Zhao, J.; Ragazzi, E.; McKenna, G.B. Something about amber: Fictive temperature and glass transition temperature of extremely old glasses from copal to Triassic amber. Polymer 2013, 54, 7041–7047. [Google Scholar] [CrossRef]
- Mills, J.S.; White, R.; Gough, L.J. The chemical composition of Baltic amber. Chem. Geol. 1984, 47, 15–39. [Google Scholar] [CrossRef]
- Grischkowsky, D.; Keiding, S.; van Exter, M.; Fattinger, C. Far-infrared time-domain spectroscopy with terahertz beams of dielectrics and semiconductors. J. Opt. Soc. Am. B 1990, 7, 2006–2015. [Google Scholar] [CrossRef]
- Kojima, S.; Shibata, T.; Igawa, H.; Mori, T. Broadband terahertz time-domain spectroscopy: Crystalline and glassy drug materials. IOP Conf. Ser. Mater. Sci. Eng. 2014, 54, 012001. [Google Scholar] [CrossRef]
- Kojima, S.; Tsumura, N.; Takeda, M.W.; Nishizawa, S. Far-infrared phonon-polariton dispersion probed by terahertz time-domain spectroscopy. Phys. Rev. B 2003, 67, 035102. [Google Scholar] [CrossRef]
- Van Exter, M.; Grischkowsky, D. Optical and electronic properties of doped silicon from 0.1 to 2 THz. Appl. Phys. Lett. 1998, 56, 1694–1696. [Google Scholar] [CrossRef]
- Kojima, S.; Mori, T.; Shibata, T.; Kobayashi, Y.P. Broadband Terahertz Time-Domain and Low-Frequency Raman Spectroscopy of Crystalline and Glassy Pharmaceuticals. Pharm. Anal. Acta 2015, 6, 1000401. [Google Scholar]
- Jahnert, S.; Vaca Chávez, F.; Schaumann, G.E.; Schreiber, A.; Schönhoff, M.; Findenegg, G.H. Melting and freezing of water in cylindrical silica nanopores. Phys. Chem. Chem. Phys. 2008, 10, 6039–6051. [Google Scholar] [CrossRef] [PubMed]
- Borman, V.D.; Belogorlov, A.A.; Tronin, V.N. Anomalously slow relaxation of interacting liquid nanoclusters confined in a porous medium. Phys. Rev. E 2016, 93, 022142. [Google Scholar] [CrossRef]
- Malinovsky, V.K.; Novikov, V.N.; Sokolov, A.P. Log-normal spectrum of low-energy vibrational excitations in glasses. Phys. Lett. A 1991, 153, 63–66. [Google Scholar] [CrossRef]
- Log-normal: Nollmann, M.; Etchegoin, P. Origin of the lognormal shape in the boson-peak of globular proteins. Phys. A 2001, 294, 44–50. [Google Scholar] [CrossRef]
- Lucovsky, G.; Galeener, F.L. Intermediate range order in amorphous solids. J. Non-Cryst. Solids 1980, 35–36, 1209–1214. [Google Scholar] [CrossRef]
- Elliot, S.R. Medium-range structural order in covalent amorphous solids. Nature 1991, 354, 445–452. [Google Scholar] [CrossRef]
- Greaves, G.N.; Sen, S. Inorganic glasses, glass-forming liquids and amorphizing solids. Adv. Phys. 2007, 56, 1–166. [Google Scholar] [CrossRef]
- Tkachev, S.N.; Charlie Zoeller, C.; Kenney-Benson, C.; Ahart, M.; Hemley, R.J.; Novikov, V.N.; Kojima, S. Pressure Dependence of Intermediate-range Order and Elastic Properties of Glassy Baltic Amber. Phys. Rev. E 2024, 110, 024501. [Google Scholar] [CrossRef]
- Kojima, S. Low-Frequency Raman Investigation of The Liquid-Glass Transition in Glycerol. Phys. Rev. 1993, B47, 2924–2927. [Google Scholar] [CrossRef]
- Tkachev, S.N.; Ahart, M.; Novikov, V.N.; Kojima, S. Pressure dependence of Poisson’s ratio of glassy Baltic amber studied by Brillouin scattering spectroscopy. Jpn. J. Appl. Phys. 2021, 60, SDDA04. [Google Scholar] [CrossRef]
- Kojima, S.; Novikov, V.N.; Kofu, M.; Yamamuro, O. Nanometric Fluctuations of Sound Velocity in Alkali Borate Glasses and Fragility of Respective Melts. Phys. Stat. Solidi 2020, 257, 2000073. [Google Scholar] [CrossRef]
- Kojima, S.; Novikov, N.V.; Kodama, M. Fast relaxation, boson peak and anharmonicity in lithium borate glass. J. Chem. Phys. 2000, 113, 6344–6350. [Google Scholar] [CrossRef]
- Kodama, M.; Kojima, S. Velocity of sound and elastic properties of Li2O-B2O3 glasses. J. Appl. Phys. 1995, 34, 2570–2574. [Google Scholar] [CrossRef]
- Lin-Vien, D.; Colthup, N.B.; Fateley, W.G.; Grasselli, J.G. The Handbook of Infrared and Raman Characteristic Frequencies of Organic Molecules; Academic Press: Boston, MA, USA, 1991. [Google Scholar]
- Rygula, A.; Klisinska- Kopacz, A.; Krupska, P.; Kuras, E.; del Hoyo-Meléndez, J.M. The surface degradation of Baltic amber: The depth-profiling analysis and its application to historical object. J. Raman Spectrosc. 2021, 52, 123–129. [Google Scholar] [CrossRef]
- Yoshihara, A.; Maeda, Y.; Imai, Y. Spectroscopic characterization of ambers and amber-like materials. Vib. Spectrosc. 2009, 50, 250–256. [Google Scholar] [CrossRef]
- Klopffer, W. Polymers/Properties and Application 7: Introduction to Polymer Spectroscopy; Springer: Berlin/Heiderberg, Germany; New York, NY, USA; Tokyo, Japan, 1984. [Google Scholar]
- Mori, T.; Jiang, Y.; Fujii, Y.; Kitani, S.; Mizuno, H.; Koreeda, A.; Motoji, L.; Tokoro, H.; Shiraki, K.; Yamamoto, Y.; et al. Detection of boson peak and fractal dynamics of disordered systems using terahertz spectroscopy. Phys. Rev. E 2020, 102, 022502. [Google Scholar] [CrossRef]
- Clark, A.T.; D’Anna, S.; Nemati, J.; Barden, P.; Gatley, I.; Federici, J. Evaluation of Fossil Amber Birefringence and Inclusions Using Terahertz Time-Domain Spectroscopy. Polymers 2022, 14, 5506. [Google Scholar] [CrossRef] [PubMed]
- Barden, P.; Sosiak, C.E.; Grajales, J.; Hawkins, J.; Rizzo, L.; Clark, A.; Gatley, S.; Gatley, I.; Federici, J. Non-destructive comparative evaluation of fossil amber using terahertz time-domain spectroscopy. PLoS ONE 2022, 17, e0262983. [Google Scholar] [CrossRef]
- Coffey, W.T. Dielectric relaxation: An overview. J. Mol. Liq. 2004, 114, 5–25. [Google Scholar] [CrossRef]
- Davidson, D.W.; Cole, R.H. Dielectric Relaxation in Glycerol, Propylene Glycol, and n-Propanol. J. Chem. Phys. 1951, 19, 1484–1490. [Google Scholar] [CrossRef]






| ε∞ | Δε | τ1 [ps] | Δε2 | S1 [THz2] | ω01/2π [THz] | γ1 [THz] | S2 [THz2] | ω02/2π [THz] | γ2 [THz] | S3 [THz2] | ω03/2π [THz] | γ3 [THz] | S4 [THz2] | ω04/2π [THz] | γ4 [THz] | S5 [THz2] | ω05/2π [THz] | γ5 [THz] |
|---|---|---|---|---|---|---|---|---|---|---|---|---|---|---|---|---|---|---|
| 2.39 | 0.13 | 0.11 | 0.0054 | 0.42 | 2.49 | 1.47 | 0.24 | 3.28 | 1.55 | 1.68 | 4.25 | 1.52 | 2.99 | 5.35 | 1.31 | 14.3 | 8.00 | 2.52 |
Disclaimer/Publisher’s Note: The statements, opinions and data contained in all publications are solely those of the individual author(s) and contributor(s) and not of MDPI and/or the editor(s). MDPI and/or the editor(s) disclaim responsibility for any injury to people or property resulting from any ideas, methods, instructions or products referred to in the content. |
© 2024 by the authors. Licensee MDPI, Basel, Switzerland. This article is an open access article distributed under the terms and conditions of the Creative Commons Attribution (CC BY) license (https://creativecommons.org/licenses/by/4.0/).
Share and Cite
Sasaki, T.; Oh, S.H.; Mori, T.; Kojima, S. Observation of Boson Peak of Fragile Baltic Amber Glass by Terahertz Time-Domain Spectroscopy. Materials 2024, 17, 5956. https://doi.org/10.3390/ma17235956
Sasaki T, Oh SH, Mori T, Kojima S. Observation of Boson Peak of Fragile Baltic Amber Glass by Terahertz Time-Domain Spectroscopy. Materials. 2024; 17(23):5956. https://doi.org/10.3390/ma17235956
Chicago/Turabian StyleSasaki, Toru, Soo Han Oh, Tatsuya Mori, and Seiji Kojima. 2024. "Observation of Boson Peak of Fragile Baltic Amber Glass by Terahertz Time-Domain Spectroscopy" Materials 17, no. 23: 5956. https://doi.org/10.3390/ma17235956
APA StyleSasaki, T., Oh, S. H., Mori, T., & Kojima, S. (2024). Observation of Boson Peak of Fragile Baltic Amber Glass by Terahertz Time-Domain Spectroscopy. Materials, 17(23), 5956. https://doi.org/10.3390/ma17235956

