Tests of Uniaxial Compression of Single Grains
Abstract
1. Introduction
2. Materials and Methods
2.1. Compressive Strength Testing of Grains
2.2. Eastooptical Testing
2.3. Tested Materials
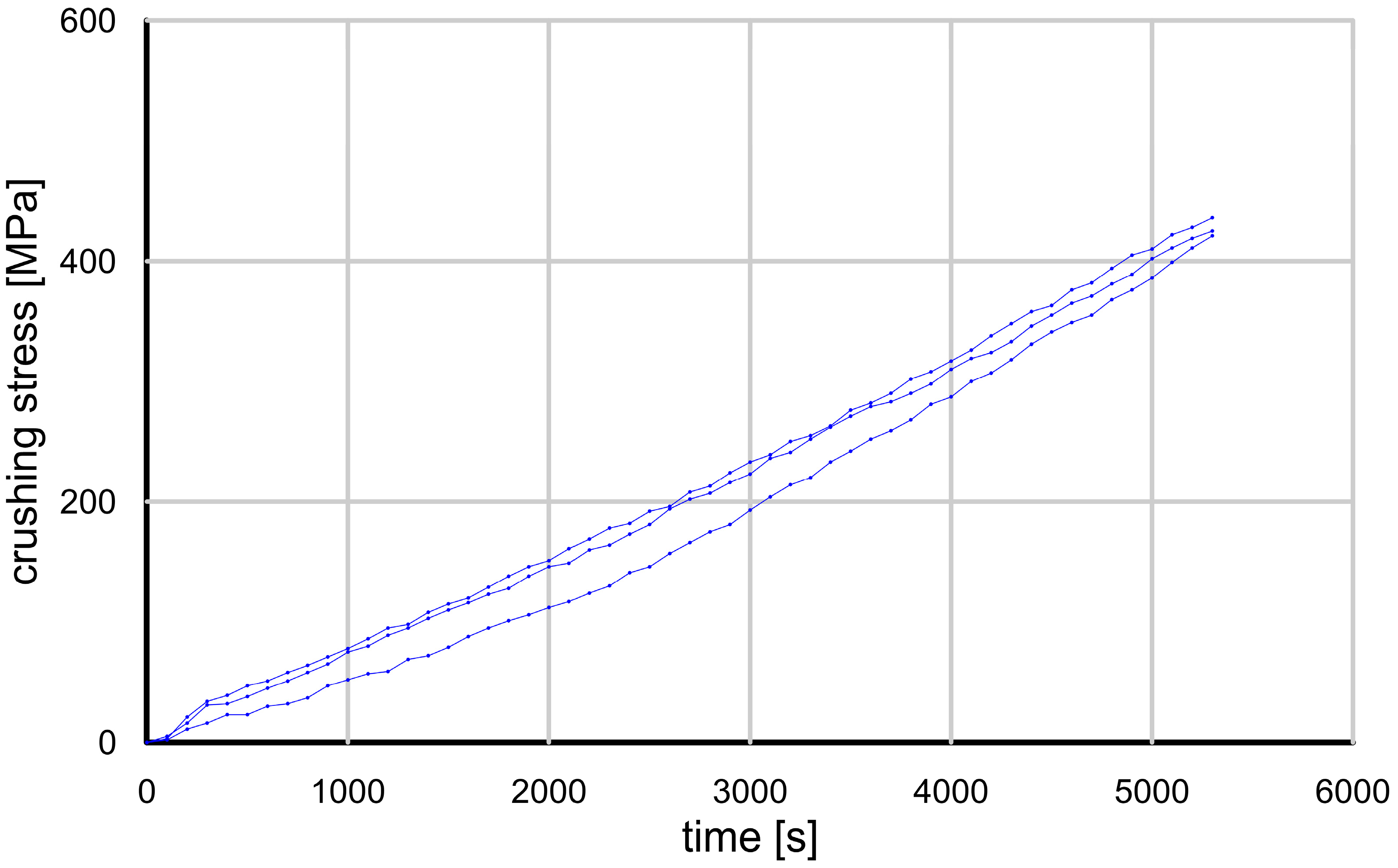
3. Results and Discussion
4. Conclusions
Author Contributions
Funding
Institutional Review Board Statement
Informed Consent Statement
Data Availability Statement
Conflicts of Interest
References
- Basu, A.; Aydin, A. Predicting Uniaxial Compressive Strength by Point Load Test: Significance of Cone Penetration. Rock Mech. Rock Eng. 2006, 39, 483–490. [Google Scholar] [CrossRef]
- Kong, F.; Shang, J. A Validation Study for the Estimation of Uniaxial Compressive Strength Based on Index Tests. Rock Mech. Rock Eng. 2018, 51, 2289–2297. [Google Scholar] [CrossRef]
- Villié, L.; Cabrol, E.; Hof, L.; Feulvarch, E.; Bocher, P. Heterogeneities induced by uniaxial compression and resulting errors in material behavior assessment. Int. J. Mater. Form. 2023, 16, 58. [Google Scholar] [CrossRef]
- Liu, J.; Ma, F.; Guo, J.; Zhou, T.; Song, Y.; Li, F. Numerical Simulation of Failure Behavior of Brittle Heterogeneous Rock under Uniaxial Compression Test. Materials 2022, 15, 7035. [Google Scholar] [CrossRef]
- Del Greco, O.; Ferrero, A.M.; Oggeri, C. Experimental and analytical interpretation of the behaviour of laboratory tests on composite specimens. Int. J. Rock Mech. Min. Sci. Géoméch. Abstr. 1993, 30, 1539–1543. [Google Scholar] [CrossRef]
- Wu, H.; Ju, Y.; Han, X.; Ren, Z.; Sun, Y.; Zhang, Y.; Han, T. Size effects in the uniaxial compressive properties of 3D printed transparent rock models. J. Rock Me-Chanics Geotech. Eng. 2022, 14, 1045–1055. [Google Scholar]
- Komadja, T.; Stanislas, T.T.; Munganyinka, J.P.; Anye, V.C. New approach for assessing uniaxial compressive strength of rocks using measurement from nanoinden-tation experiments. Bull. Eng. Geol. Environ. 2022, 81, 21. [Google Scholar] [CrossRef]
- McDowell, G.R.; Bolton, M.D. On the micro mechanics of crushable aggregates. Géotechnique 1998, 48, 667–679. [Google Scholar] [CrossRef]
- Nakata, Y.; Hyodo, M.; Hyde, A.F.; Kato, Y.; Murata, H. Microscopic particle crushing of sand subjected to high pressure one-dimensional compression. Soils Found. 2001, 41, 69–82. [Google Scholar] [CrossRef]
- Nakata, Y.; Kato, Y.; Hyodo, M.; Hyde, A.F.; Murata, H. One-dimensional compression behaviour of uniformly graded sand related to single particle crushing strength. Soils Found. 2001, 41, 39–51. [Google Scholar] [CrossRef]
- Cavarretta, I.; O’Sullivan, C.; Coop, M.R. The relevance of roundness to the crushing strength of granular materials. Geotechnique 2017, 67, 301–312. [Google Scholar] [CrossRef]
- Cavarretta, I.; O’Sullivan, C.; Coop, M.; Bolton, M.D.; Nakata, Y.; Cheng, Y.P.; McDowell, G.; DE Bono, J. The mechanics of rigid irregular particles subject to uniaxial compression. Geotechnique 2012, 62, 681–692. [Google Scholar] [CrossRef]
- Russell, A.R.; Muir Wood, D. Point load tests and strength measurements for brittle spheres. Int. J. Rock Mech. Min. Sci. 2009, 46, 272–280. [Google Scholar] [CrossRef]
- Zhao, B.; Wang, J.; Coop, M.R. An investigation of single sand particle fracture using X-ray micro-tomography. Geotechnique 2015, 65, 625–641. [Google Scholar] [CrossRef]
- Wang, W.; Coop, M.R. An investigation of breakage behaviour of single sand particles using a high-speed microscope camera. Geotechnique 2016, 66, 984–998. [Google Scholar] [CrossRef]
- Suhr, B.; Skipper, W.A.; Lewis, R.; Six, K. Sanded Wheel–Rail Contacts: Experiments on Sand Crushing Behaviour. Lubricants 2023, 11, 38. [Google Scholar] [CrossRef]
- Ciantia, M.O.; Arroyo, M.; Calvetti, F.; Gens, A. An approach to enhance efficiency of DEM modelling of soils with crushable grains. Geotechnique 2015, 65, 91–110. [Google Scholar] [CrossRef]
- Zheng, J.; Hryciw, R.D. Traditional soil particle sphericity, roundness and surface roughness by computational geometry. Geotechnique 2015, 65, 494–506. [Google Scholar] [CrossRef]
- De Bono, J.; McDowell, G. Particle breakage criteria in discrete-element modeling. Geotechnique 2016, 66, 1014–1027. [Google Scholar] [CrossRef]
- Zhang, Y.D.; Buscarnera, G.; Einav, I. Grain size dependence of yielding in granular soils interpreted using fracture mechanics, breakage mechanics and Weibull statistics. Geotechnique 2016, 66, 149–160. [Google Scholar] [CrossRef]
- Benmebarek, M.A.; Rad, M.M.; Benmebarek, S. 3D DEM Analysis of Particle Breakage Effect on Direct Shear Tests of Coarse Sand. Materials 2023, 16, 5025. [Google Scholar] [CrossRef] [PubMed]
- Li, Z.; Yi, H.; Xu, Y.; Li, G.; Zhuo, Z. A Three-Dimensional Mesoscale Computational Simulation Method for Soil–Rock Mixtures Considering Grain Crushing. Appl. Sci. 2023, 13, 10552. [Google Scholar] [CrossRef]
- Aben, H.; Guillemet, C. Photoelasticity of Glass; Springer: Berlin, Germany, 1992. [Google Scholar]
- Dantu, P. Contribution a l’etiude mecanique et geometrique des milieux pulverulents. In Proceedings of the 4th International Conference on Soil Mechanics and Foundation Engineering, London, UK, 12–24 August 1957; Volume 1, pp. 144–148. [Google Scholar]
- Wakabayashi, T. Photo-elastic Method for Determination of Stress in Powdered Mass. J. Phys. Soc. Jpn. 1957, 5, 383–385. [Google Scholar] [CrossRef]
- Drescher, A. An experimental investigation of flow rules for granular materials using optically sensitive glass particles. Geotechnique 1976, 26, 591–601. [Google Scholar] [CrossRef]
- Allersma, H.G.B. Optical Analysis of Stress and Strain in Photoelastic Particle; Delft University of Technology: Delft, The Netherlands, 1987. [Google Scholar]
- Dyer, M.R. Observation of the Stress Distribution in Crushed Glass with Applications to Soil Reinforcement. PhD Thesis, University of Oxford, Oxford, London, 1985. [Google Scholar]
- Leśniewska, D.; Muir Wood, D. Observations of stresses and strains in a granular material. J. Eng. Mech. 2009, 135, 1038–1054. [Google Scholar] [CrossRef]
- Leśniewska, D.; Muir Wood, D.; Pietrzak, M. Particle scale features in shearing of glass ballotini. In Powders and Grains 2009: Proceedings of the 6th International Conference on Micromechanics of Granular Media, Golden, Colorado, 13–17 July 2009; Nakagawa, M., Luding, S., Eds.; American Institute of Physics: New York, NY, USA, 2009; AIP Conference Proceedings; Volume 1145, pp. 335–338. [Google Scholar]
- Leśniewska, D.; Muir Wood, D. Photoelastic and photographic study of a granular material. Geotechnique 2011, 61, 605–611. [Google Scholar] [CrossRef]
- Muir Wood, D.; Leśniewska, D. Stresses in granular materials. Granul. Matter 2011, 13, 395–415. [Google Scholar] [CrossRef]
- Pietrzak, M. Badanie Pól Odkształceń i Naprężeń w Ośrodku Rozdrobnionym w Stanie Parcia Czynnego (Eng. Study of Strain and Stress Fields in a Fragmented Medium Under Active Pressure). Ph.D. Thesis, Koszalin University of Technology, Koszalin, Poland, 2014. Available online: https://dlibra.tu.koszalin.pl/dlibra/publication/1084/edition/1082/content (accessed on 19 October 2024).
- Behringer, R.P.; Bi, D.; Chakraborty, B.; Clark, A.; Dijksman, J.; Ren, J.; Zhang, J. Statistical properties of granular materials near jamming. J. Stat. Mech. Theory Exp. 2014, 2014, P06004. [Google Scholar] [CrossRef]
- Pietrzak, M. Cyclical changes in deformation process in granular material in active state. In Proceedings of the 7th International Symposium on Deformation Characteristics of Geomaterials (IS-Glasgow 2019), Glasgow, UK, 26–28 June 2019; Volume 92, p. 17004. [Google Scholar] [CrossRef]
- Leśniewska, D.; Radosz, I.; Pietrzak, M. Photo-elastic observation of loading and crushing of a single grain. In Micro to MACRO Mathematical Modelling in Soil Mechanics; Springer: Berlin/Heidelberg, Germany, 2018; pp. 213–223. [Google Scholar]
- Leśniewska, D.; Radosz, I.; Pietrzak, M. Sand grains versus tiny glass granules—Comparative study on stress-deformation characteristics. In Proceedings of the 7th International Symposium on Deformation Characteristics of Geomaterials (IS-Glasgow 2019), Glasgow, UK, 26–28 June 2019; p. 01002. [Google Scholar] [CrossRef]




















Disclaimer/Publisher’s Note: The statements, opinions and data contained in all publications are solely those of the individual author(s) and contributor(s) and not of MDPI and/or the editor(s). MDPI and/or the editor(s) disclaim responsibility for any injury to people or property resulting from any ideas, methods, instructions or products referred to in the content. |
© 2024 by the authors. Licensee MDPI, Basel, Switzerland. This article is an open access article distributed under the terms and conditions of the Creative Commons Attribution (CC BY) license (https://creativecommons.org/licenses/by/4.0/).
Share and Cite
Radosz, I.; Pietrzak, M.; Kaczmarek, L.M. Tests of Uniaxial Compression of Single Grains. Materials 2024, 17, 5479. https://doi.org/10.3390/ma17225479
Radosz I, Pietrzak M, Kaczmarek LM. Tests of Uniaxial Compression of Single Grains. Materials. 2024; 17(22):5479. https://doi.org/10.3390/ma17225479
Chicago/Turabian StyleRadosz, Iwona, Magdalena Pietrzak, and Leszek M. Kaczmarek. 2024. "Tests of Uniaxial Compression of Single Grains" Materials 17, no. 22: 5479. https://doi.org/10.3390/ma17225479
APA StyleRadosz, I., Pietrzak, M., & Kaczmarek, L. M. (2024). Tests of Uniaxial Compression of Single Grains. Materials, 17(22), 5479. https://doi.org/10.3390/ma17225479

