Assessing the Drying Sensitivity of Alkali-Activated Binders Through Mechanical Reliability: Effect of Particle Size and Packing
Abstract
1. Introduction
1.1. Inorganic Binders in Context
1.2. The Chemistry of Alkali-Activated Binders
1.3. The Water in Alkali-Activated Binders
2. Materials and Methods
2.1. Materials
2.2. Methods
3. Results and Discussion
3.1. Characterization of Activator and Precursors
3.2. Choosing Homogenization and Casting Processing Parameters
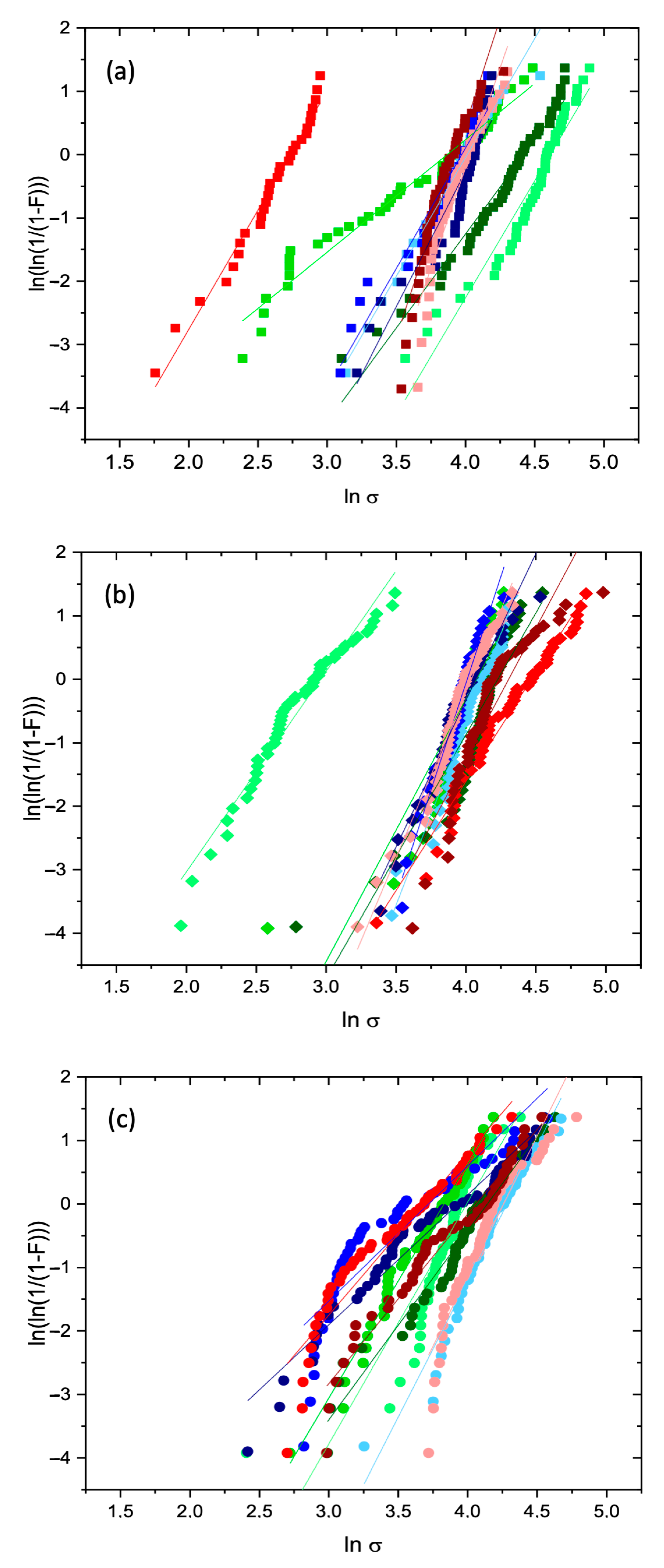
3.3. Mechanical Characterization of AABs
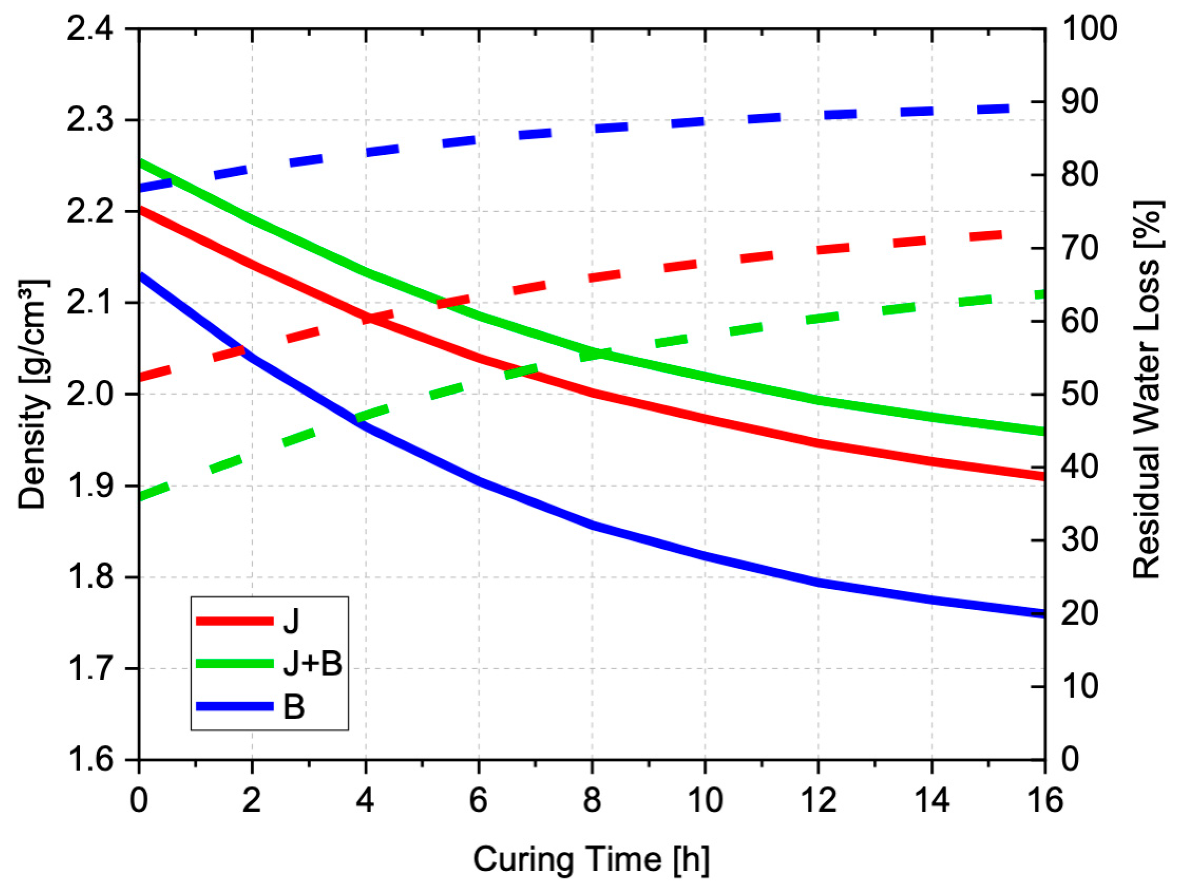
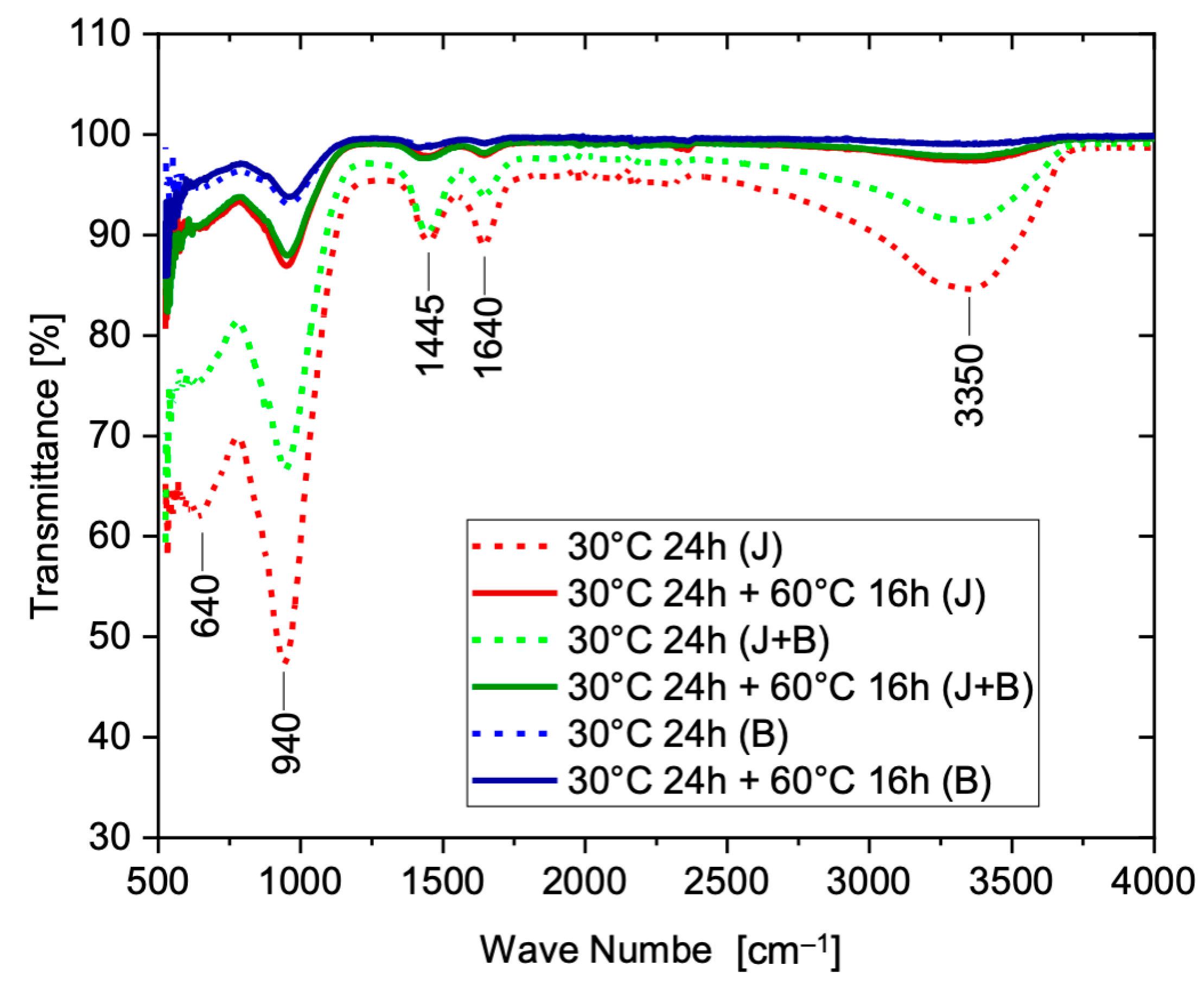
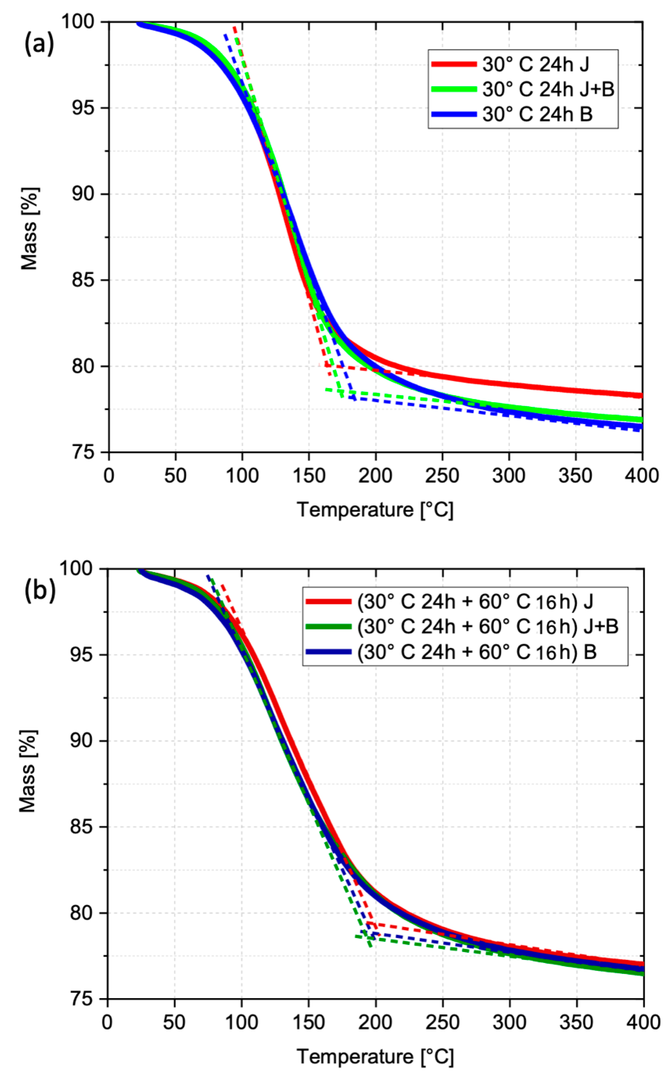
3.4. Water Removal and Its Bearing on the Mechanical Reliability of AABs
4. Conclusions
Author Contributions
Funding
Data Availability Statement
Acknowledgments
Conflicts of Interest
References
- Duxson, P.; Provis, J.L. Designing Precursors for Geopolymer Cements. J. Am. Ceram. Soc. 2008, 91, 3864–3869. [Google Scholar] [CrossRef]
- Palomo, A.; Maltseva, O.; Garcia-Lodeiro, I.; Fernández-Jiménez, A. Portland Versus Alkaline Cement: Continuity or Clean Break: ‘A Key Decision for Global Sustainability’. Front. Chem. 2021, 9, 705475. [Google Scholar] [CrossRef] [PubMed]
- Ouellet-Plamondon, C.; Habert, G. Life cycle assessment (LCA) of alkali-activated cements and concretes. In Handbook of Alkali-Activated Cements, Mortars and Concretes; Pacheco-Torgal, F., Labrincha, J.A., Leonelli, C., Palomo, A., Chindaprasirt, P., Eds.; Woodhead Publishing-Elsevier: Amsterdam, The Netherlands, 2015; pp. 663–686. [Google Scholar] [CrossRef]
- Fernández-Jiménez, A.; Palomo, A. Chemical durability of geopolymers. In Geopolymers: Structure, Processing, Properties and Applications; Provis, J.L., van Deventer, J.S.J., Eds.; Woodhead Publishing: Sawston, UK, 2009; pp. 167–193. [Google Scholar] [CrossRef]
- Ismail, I.; Bernal, S.A.; Provis, J.L.; Hamdan, S.; van Deventer, J.S.J. Drying-induced changes in the structure of alkali-activated pastes. J. Mater. Sci. 2013, 48, 3566–3577. [Google Scholar] [CrossRef]
- Provis, J.L.; Bernal, S.A. Geopolymers and related alkali-activated materials. Annu. Rev. Mater. Res. 2014, 44, 299–327. [Google Scholar] [CrossRef]
- Awoyera, P.; Adesina, A. A critical review on application of alkali activated slag as a sustainable composite binder. Case Stud. Constr. Mater. 2019, 11, e00268. [Google Scholar] [CrossRef]
- Liu, X.; Kolehmainen, J.; Nwogbaga, I.; Ozel, A.; Sundaresan, S. Effect of particle size on tribocharging. Powder Technol. 2020, 375, 199–209. [Google Scholar] [CrossRef]
- Kriven, W.M.; Leonelli, C.; Provis, J.L.; Boccaccini, A.R.; Attwell, C.; Ducman, V.S.; Ferone, C.; Rossignol, S.; Luukkonen, T.; van Deventer, J.S.J.; et al. Why geopolymers and alkali-activated materials are key components of a sustainable world: A perspective contribution. J. Am. Ceram. Soc. 2024, 107, 5159–5177. [Google Scholar] [CrossRef]
- Ye, H.; Cartwright, C.; Rajabipour, F.; Radlińska, A. Understanding the drying shrinkage performance of alkali-activated slag mortars. Cem. Concr. Compos. 2017, 76, 13–24. [Google Scholar] [CrossRef]
- Mastali, M.; Kinnunen, P.; Dalvand, A.; Mohammadi Firouz, R.; Illikainen, M. Drying shrinkage in alkali-activated binders—A critical review. Constr. Build. Mater. 2018, 190, 533–550. [Google Scholar] [CrossRef]
- Cruz, R.C.D.; Pereira, C.H.S.; Casaril, A. Process for Manufacturing Friction Material, Inorganic Liquid Binder, Use of Liquid Binder for Manufacturing Friction Material, and Friction. Material. Patent WO/2021/007641, 21 January 2021. [Google Scholar]
- Amer, I.; Kohail, M.; El-Feky, M.S.; Rashad, A.; Khalaf, M.A. A review on alkali-activated slag concrete. Ain Shams Eng. J. 2021, 12, 1475–1499. [Google Scholar] [CrossRef]
- Pacheco-Torgal, F.; Castro-Gomes, J.; Jalali, S. Alkali-activated binders: A review. Part 1. Historical background, terminology, reaction mechanisms and hydration products. Constr. Build. Mater. 2008, 22, 1305–1314. [Google Scholar] [CrossRef]
- Moranville-Regourd, M.; Kamali-Bernard, S. Cements Made from Blast Furnace Slag. In Lea’s Chemistry of Cement and Concrete, 5th ed.; Elsevier: Amsterdam, The Netherlands, 2019. [Google Scholar] [CrossRef]
- Provis, J.L. Activating solution chemistry for geopolymers. In Geopolymers: Structures, Processing, Properties and Industrial Applications; Provis, J.L., van Deventer, J.S.J., Eds.; Woodhead Publishing: Sawston, UK, 2009; pp. 50–71. [Google Scholar] [CrossRef]
- Fernández-Jiménez, A.; Puertas, F.; Sobrados, I.; Sanz, J. Structure of calcium silicate hydrates formed in alkaline-activated slag: Influence of the type of alkaline activator. J. Am. Ceram. Soc. 2003, 86, 1389–1394. [Google Scholar] [CrossRef]
- Purdon, A.O. The action of alkalis on blast-furnace slag. J. Soc. Chem. Ind. 1940, 59, 191–202. [Google Scholar]
- Glukhovsky, V.D.; Rostovskaja, G.S.; Rumyna, G.V. High strength slag-alkaline cements. In Proceedings of the 7th International Congress on the Chemistry of Cement, Paris, France, 1980; Volume 3. [Google Scholar]
- Provis, J.L.; van Deventer, J.S.J. Alkali Activated Materials: State-of-the-Art Report, RILEM TC 224-AAM; Springer Science & Business Media: Berlin/Heidelberg, Germany, 2013. [Google Scholar]
- Davidovits, J. Geopolymers based on natural and synthetic metakaolin: A critical review. In Ceramic Engineering and Science Proceedings Series, Proceedings of the 41st International Conference on Advanced Ceramics and Composites; Kriven, W.M., Bansal, N.P., Kusnezoff, M., Ohji, T., Zhou, Y., Moon, K.I., Matyas, J., Shimamura, K., Kirihara, S., Gupta, S., et al., Eds.; The American Ceramic Society: Westerville, OH, USA, 2018; Volume 38, Chapter 19; pp. 201–214. [Google Scholar] [CrossRef]
- Khatib, J.M.; Baalbaki, O.; ElKordi, A.A. Metakaolin. In Waste and Supplementary Cementitious Materials in Concrete Characterisation, Properties and Applications; Elsevier: Amsterdam, The Netherlands, 2018; Volume 15, pp. 493–511. [Google Scholar] [CrossRef]
- Shi, C.; Roy, D.; Krivenko, P. Alkali-Activated Cements and Concretes; CRC Press: Boca Raton, FL, USA, 2006. [Google Scholar]
- Altan, E.; Erdoǧan, S.T. Alkali activation of a slag at ambient and elevated temperatures. Cem. Concr. Compos. 2012, 34, 131–139. [Google Scholar] [CrossRef]
- Newlands, K.C.; Foss, M.; Matchei, T.; Skibsted, J.; Macphee, D.E. Early stage dissolution characteristics of aluminosilicate glasses with blast furnace slag- and fly-ash-like compositions. J. Am. Ceram. Soc. 2017, 100, 1941–1955. [Google Scholar] [CrossRef]
- Huanhai, Z.; Xuequan, W.; Zhongzi, X.; Mingshu, T. Kinetic study on hydration of alkali-activated slag. Cem. Concr. Res. 1993, 23, 1253–1258. [Google Scholar] [CrossRef]
- Perera, D.S.; Uchida, O.; Vance, E.R.; Finnie, K.S. Influence of curing schedule on the integrity of geopolymers. J. Mater. Sci. 2007, 42, 3099–3106. [Google Scholar] [CrossRef]
- Aliabdo, A.A.; Elmoaty, A.; Elmoaty, M.A.; Emam, M.A. Factors affecting the mechanical properties of alkali activated ground granulated blast furnace slag concrete. Constr. Build. Mater. 2019, 197, 339–355. [Google Scholar] [CrossRef]
- Boca Santa, R.A.A.; Kessler, J.C.; Soares, C.; Riella, H.G. Microstructural evaluation of initial dissolution of aluminosilicate particles and formation of geopolymer material. Particuology 2018, 41, 101–111. [Google Scholar] [CrossRef]
- Gallé, C. Effect of drying on cement-based materials pore structure as identified by mercury intrusion porosimetry—A comparative study between oven-, vacuum-, and freeze-drying. Cem. Concr. Res. 2001, 31, 1467–1477. [Google Scholar] [CrossRef]
- Salomão, R.; Pandolfelli, V.C. The particle size distribution effect on the drying efficiency of polymeric fibers containing castables. Ceram. Int. 2008, 34, 173–180. [Google Scholar] [CrossRef]
- Schnabel, M.; Buhr, A.; Dutton, J. Rheology of high performance alumina and spinel castables. Refract. World Forum 2012, 4, 95–100. [Google Scholar]
- Luukkonen, T.; Abdollahnejad, Z.; Yliniemi, J.; Kinnunen, P.; Illikainen, M. One-part alkali-activated materials: A review. Cem. Concr. Res. 2018, 103, 21–34. [Google Scholar] [CrossRef]
- Mehta, A.; Siddique, R.; Ozbakkaloglu, T.; Shaikh, F.U.A.; Belarbi, R. Fly ash and ground granulated blast furnace slag-based alkali-activated concrete: Mechanical, transport and microstructural properties. Constr. Build. Mater. 2020, 257, e119548. [Google Scholar] [CrossRef]
- Gao, R.; Zhou, Z.; Yang, J.; Zhang, J. Innovative assessment of reactivity in fly ash: The role of particle size distribution characteristics. Open Ceram. 2024, 20, e100680. [Google Scholar] [CrossRef]
- Jewell, R.B.; Rathbone, R.F. Optical properties of coal combustion byproducts for particle-size analysis by laser diffraction. Coal Combust. Gasif. Prod. 2009, 1, 1–6. [Google Scholar] [CrossRef]
- Cornell, J.A. Experiments with Mixtures: Designs, Models and the Analysis of Mixture Data, 3rd ed.; Wiley: Hoboken, NJ, USA, 2002. [Google Scholar]
- Askeland, D.R.; Wright, W.J. The Science and Engineering of Materials, 7th ed.; Cengage Learning: Boston, MA, USA, 2016. [Google Scholar]
- ASTM C1239-07; Standard Practice for Reporting Uniaxial Strength Data and Estimating Weibull Distribution Parameters for Advanced Ceramics. Annual Book of ASTM Standards. ASTM—American Society for Testing Materials: West Conshohocken, PA, USA, 2009.
- Camargo, W.F.; Mantas, P.Q.; Segadães, A.M.; Cruz, R.C.D. Powder grinding and nano-particle sizing: Sound, light and enlightenment. Powder Technol. 2021, 383, 348–355. [Google Scholar] [CrossRef]
- Wolfrom, R.L. The Language of Particle Size. J. GXP Compliance 2011, 15, 10–20. [Google Scholar]
- Tole, I.; Rajczakowska, M.; Humad, A.; Kothari, A.; Cwirzen, A. Geopolymer Based on Mechanically Activated Air-cooled Blast Furnace Slag. Materials 2020, 13, 1134. [Google Scholar] [CrossRef]
- Wang, Y.; Jiang, B.; Su, Y.; He, X.; Wang, Y.; Oh, S. Hydration and Compressive Strength of Activated Blast-Furnace Slag–Steel Slag with Na2CO3. Materials 2022, 15, 4375. [Google Scholar] [CrossRef]
- Correia, S.L.; Hotza, D.; Segadães, A.M. Application of mathematical and statistical strategies to optimize ceramic bodies: Effects of raw materials on the technological properties. CFI Ceram. Forum Int. 2005, 82, E39–E43. [Google Scholar]
- Nath, S.K.; Kumar, S. Influence of iron making slags on strength and microstructure of fly ash geopolymer. Constr. Build. Mater. 2013, 38, 924–930. [Google Scholar] [CrossRef]
- Assaedi, H.; Shaikh, F.U.A.; Low, I.M. Effect of nano-clay on mechanical and thermal properties of geopolymer. J. Asian Ceram. Soc. 2016, 4, 19–28. [Google Scholar] [CrossRef]
- Chen, X.; Zhu, G.R.; Wang, J.; Chen, Q. Effect of polyacrylic resin on mechanical properties of granulated blast furnace slag based geopolymer. J. Non-Cryst. Solids 2018, 481, 4–9. [Google Scholar] [CrossRef]










| Level | Granulometry | Curing Time (Hours) | Curing Temperature (°C) |
|---|---|---|---|
| 1 | 100% B (B) | 24 | 30 |
| 2 | 50% J + 50% B (J + B) | 36 | 60 |
| 3 | 100% J (J) | 48 | 90 |
| Oxide | SiO2 | Al2O3 | CaO | MgO | K2O | MnO | SO3 | SrO |
|---|---|---|---|---|---|---|---|---|
| Weight % | 33.8 | 27.0 | 22.5 | 14.3 | 1.3 | 0.8 | 0.2 | 0.1 |
| Curing Temperature (°C) | Curing Time (Hours) | Granulometry | Weibull Mean Strength, tmw (MPa) | Mechanical Reliability, m | R2 | Legend in Figure 3 |
|---|---|---|---|---|---|---|
| 30 | 24 | J | 91.39 ± 17.67 | 3.49 | 0.93 | ◼ |
| B | 42.12 ± 18.80 | 1.86 | 0.97 | ◼ | ||
| J + B | 74.31 ± 18.72 | 2.77 | 0.97 | ◼ | ||
| 36 | J | 51.13 ± 10.73 | 3.75 | 0.98 | ◼ | |
| B | 49.92 ± 9.08 | 3.81 | 0.94 | ◼ | ||
| J + B | 55.67 ± 7.93 | 4.27 | 0.89 | ◼ | ||
| 48 | J | 56.31 ±7.64 | 6.33 | 0.91 | ◼ | |
| B | 13.04 ± 2.89 | 3.76 | 0.98 | ◼ | ||
| J + B | 50.76 ± 6.41 | 6.71 | 0.92 | ◼ | ||
| 60 | 24 | J | 18.25 ± 5.03 | 3.16 | 0.96 | ◆ |
| B | 56.44 ± 6.51 | 4.13 | 0.76 | ◆ | ||
| J + B | 64.02 ± 8.62 | 3.84 | 0.82 | ◆ | ||
| 36 | J | 60.84 ± 8.68 | 5.71 | 0.97 | ◆ | |
| B | 54.79 ± 6.25 | 6.73 | 0.97 | ◆ | ||
| J + B | 55.60 ± 10.02 | 4.62 | 0.95 | ◆ | ||
| 48 | J | 55.33 ±7.97 | 5.21 | 0.96 | ◆ | |
| B | 78.95 ± 20.62 | 3.44 | 0.97 | ◆ | ||
| J + B | 68.17 ± 13.92 | 4.14 | 0.85 | ◆ | ||
| 90 | 24 | J | 51.02 ± 7.46 | 3.81 | 0.79 | ■ |
| B | 42.83 ± 10.08 | 3.68 | 0.98 | ■ | ||
| J + B | 56.53 ± 14.51 | 2.98 | 0.97 | ■ | ||
| 36 | J | 67.50 ± 13.07 | 4.28 | 0.96 | ■ | |
| B | 36.34 ± 16.16 | 2.13 | 0.80 | ■ | ||
| J + B | 45.14 ± 20.26 | 2.05 | 0.96 | ■ | ||
| 48 | J | 65.73 ± 12.74 | 4.42 | 0.88 | ■ | |
| B | 35.69 ± 12.83 | 2.55 | 0.92 | ■ | ||
| J + B | 51.77 ± 17.50 | 2.67 | 0.96 | ■ |
Disclaimer/Publisher’s Note: The statements, opinions and data contained in all publications are solely those of the individual author(s) and contributor(s) and not of MDPI and/or the editor(s). MDPI and/or the editor(s) disclaim responsibility for any injury to people or property resulting from any ideas, methods, instructions or products referred to in the content. |
© 2024 by the authors. Licensee MDPI, Basel, Switzerland. This article is an open access article distributed under the terms and conditions of the Creative Commons Attribution (CC BY) license (https://creativecommons.org/licenses/by/4.0/).
Share and Cite
Camargo, W.F.; Segadães, A.M.; Cruz, R.C.D. Assessing the Drying Sensitivity of Alkali-Activated Binders Through Mechanical Reliability: Effect of Particle Size and Packing. Materials 2024, 17, 5461. https://doi.org/10.3390/ma17225461
Camargo WF, Segadães AM, Cruz RCD. Assessing the Drying Sensitivity of Alkali-Activated Binders Through Mechanical Reliability: Effect of Particle Size and Packing. Materials. 2024; 17(22):5461. https://doi.org/10.3390/ma17225461
Chicago/Turabian StyleCamargo, Willian F., Ana M. Segadães, and Robinson C. D. Cruz. 2024. "Assessing the Drying Sensitivity of Alkali-Activated Binders Through Mechanical Reliability: Effect of Particle Size and Packing" Materials 17, no. 22: 5461. https://doi.org/10.3390/ma17225461
APA StyleCamargo, W. F., Segadães, A. M., & Cruz, R. C. D. (2024). Assessing the Drying Sensitivity of Alkali-Activated Binders Through Mechanical Reliability: Effect of Particle Size and Packing. Materials, 17(22), 5461. https://doi.org/10.3390/ma17225461

