Superconductivity at Pd/Bi2Se3 Interfaces Due to Self-Formed PdBiSe Interlayers
Abstract
1. Introduction
2. Materials and Methods
2.1. Crystal Growth
2.2. Device Fabrication
2.3. Transport Measurements
2.4. Structural Analysis
3. Results and Discussion
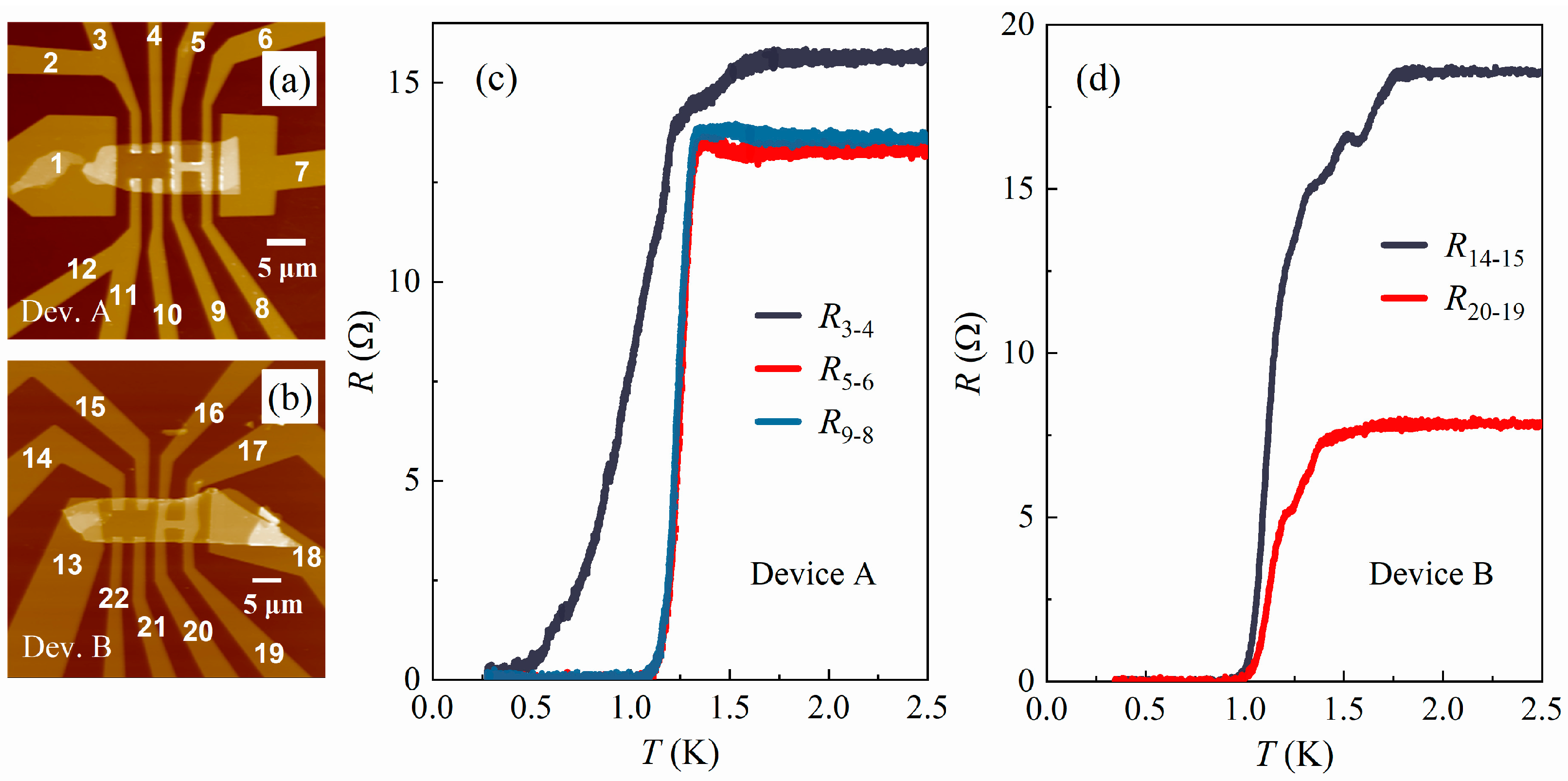
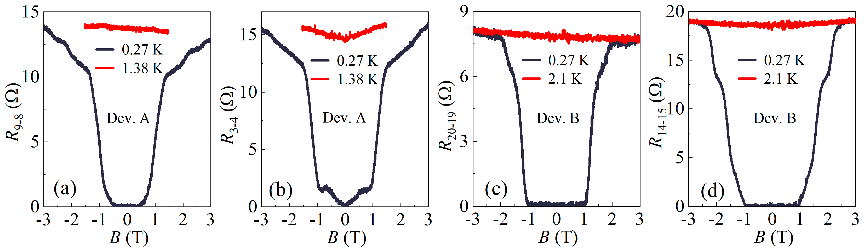
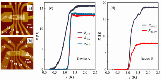
3.1. Superconductivity of Pd/Bi2Se3 Bilayers
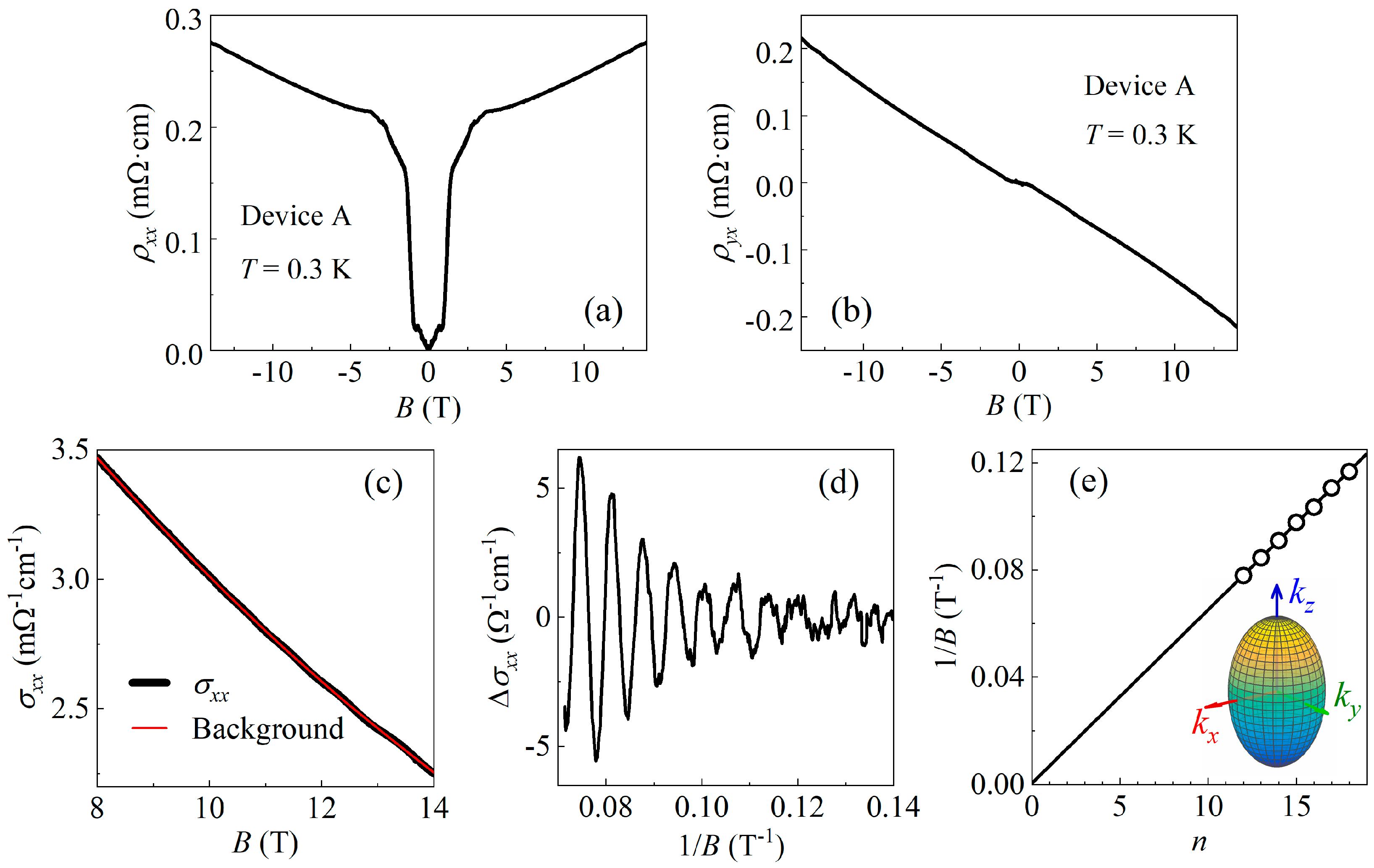
3.2. Shubnikov–de Haas Oscillations of Bi2Se3 Flakes
3.3. Formation of Superconducting PdBiSe
4. Further Discussion
5. Conclusions
Supplementary Materials
Author Contributions
Funding
Institutional Review Board Statement
Informed Consent Statement
Data Availability Statement
Acknowledgments
Conflicts of Interest
References
- Kane, C.L.; Hasan, M.Z. Colloquium: Topological insulators. Rev. Mod. Phys. 2010, 82, 3045–3067. [Google Scholar]
- Qi, X.; Zhang, S. Topological insulators and superconductors. Rev. Mod. Phys. 2011, 83, 1057–1110. [Google Scholar] [CrossRef]
- Ando, Y. Topological insulator materials. J. Phys. Soc. Jpn. 2013, 82, 102001. [Google Scholar] [CrossRef]
- Breunig, O.; Ando, Y. Opportunities in topological insulator devices. Nat. Rev. Phys. 2022, 4, 184–193. [Google Scholar] [CrossRef]
- Kane, C.L.; Fu, L. Superconducting proximity effect and Majorana fermions at the surface of a topological insulator. Phys. Rev. Lett. 2008, 100, 96407. [Google Scholar]
- Flensberg, K.; von Oppen, F.; Stern, A. Engineered platforms for topological superconductivity and Majorana zero modes. Nat. Rev. Mater. 2021, 6, 944–958. [Google Scholar] [CrossRef]
- Cheng, M.; Lutchyn, R.M.; Das Sarma, S. Topological protection of Majorana qubits. Phys. Rev. B 2012, 85, 165124. [Google Scholar] [CrossRef]
- Lahtinen, V.; Pachos, J.K. A short introduction to topological quantum computation. SciPost Phys. 2017, 3, 21. [Google Scholar] [CrossRef]
- Aguado, R.; Kouwenhoven, L.P. Majorana qubits for topological quantum computing. Phys. Today 2020, 73, 44–50. [Google Scholar] [CrossRef]
- He, M.; Sun, H.; He, Q.L. Topological insulator: Spintronics and quantum computations. Front. Phys. 2019, 14, 1–16. [Google Scholar] [CrossRef]
- He, Q.L.; Hughes, T.L.; Armitage, N.P.; Tokura, Y.; Wang, K.L. Topological spintronics and magnetoelectronics. Nat. Mater. 2022, 21, 15–23. [Google Scholar] [CrossRef] [PubMed]
- Han, J.; Liu, L. Topological insulators for efficient spin–orbit torques. APL Mater. 2021, 9, 60901. [Google Scholar] [CrossRef]
- Dankert, A.; Bhaskar, P.; Khokhriakov, D.; Rodrigues, I.H.; Karpiak, B.; Kamalakar, M.V.; Charpentier, S.; Garate, I.; Dash, S.P. Origin and evolution of surface spin current in topological insulators. Phys. Rev. B 2018, 97, 125414. [Google Scholar] [CrossRef]
- Bai, M.; Yang, F.; Luysberg, M.; Feng, J.; Bliesener, A.; Lippertz, G.; Taskin, A.A.; Mayer, J.; Ando, Y. Novel self-epitaxy for inducing superconductivity in the topological insulator (Bi1−xSbx)2Te3. Phys. Rev. Mater. 2020, 4, 94801. [Google Scholar] [CrossRef]
- Mlack, J.T.; Rahman, A.; Danda, G.; Drichko, N.; Friedensen, S.; Drndić, M.; Marković, N. Patterning superconductivity in a topological insulator. ACS Nano 2017, 11, 5873–5878. [Google Scholar] [CrossRef]
- Clogston, A.M. Upper limit for the critical field in hard superconductors. Phys. Rev. Lett. 1962, 9, 266. [Google Scholar] [CrossRef]
- Cao, H.; Tian, J.; Miotkowski, I.; Shen, T.; Hu, J.; Qiao, S.; Chen, Y.P. Quantized Hall effect and Shubnikov–de Haas oscillations in highly doped Bi2Se3: Evidence for layered transport of bulk carriers. Phys. Rev. Lett. 2012, 108, 216803. [Google Scholar] [CrossRef]
- Chiatti, O.; Riha, C.; Lawrenz, D.; Busch, M.; Dusari, S.; Sánchez-Barriga, J.; Mogilatenko, A.; Yashina, L.V.; Valencia, S.; Ünal, A.A.; et al. 2D layered transport properties from topological insulator Bi2Se3 single crystals and micro flakes. Sci. Rep. 2016, 6, 27483. [Google Scholar] [CrossRef]
- Liu, H.; Liu, S.; Yi, Y.; He, H.; Wang, J. Shubnikov–de Haas oscillations in n and p type Bi2Se3 flakes. 2D Mater. 2015, 2, 45002. [Google Scholar] [CrossRef]
- Eto, K.; Ren, Z.; Taskin, A.A.; Segawa, K.; Ando, Y. Angular-dependent oscillations of the magnetoresistance in Bi2Se3 due to the three-dimensional bulk Fermi surface. Phys. Rev. B 2010, 81, 195309. [Google Scholar] [CrossRef]
- Joshi, B.; Thamizhavel, A.; Ramakrishnan, S. Superconductivity in cubic noncentrosymmetric PdBiSe Crystal. J. Phys. Conf. Ser. 2015, 592, 12069. [Google Scholar] [CrossRef]
- Yang, F.; Qu, F.; Shen, J.; Ding, Y.; Chen, J.; Ji, Z.; Liu, G.; Fan, J.; Yang, C.; Fu, L.; et al. Proximity-effect-induced superconducting phase in the topological insulator Bi2Se3. Phys. Rev. B 2012, 86, 134504. [Google Scholar] [CrossRef]





Disclaimer/Publisher’s Note: The statements, opinions and data contained in all publications are solely those of the individual author(s) and contributor(s) and not of MDPI and/or the editor(s). MDPI and/or the editor(s) disclaim responsibility for any injury to people or property resulting from any ideas, methods, instructions or products referred to in the content. |
© 2024 by the authors. Licensee MDPI, Basel, Switzerland. This article is an open access article distributed under the terms and conditions of the Creative Commons Attribution (CC BY) license (https://creativecommons.org/licenses/by/4.0/).
Share and Cite
Fan, K.; Hua, Z.; Gu, S.; Zhu, P.; Liu, G.; Ren, H.; Shao, R.; Wang, Z.; Lu, L.; Yang, F. Superconductivity at Pd/Bi2Se3 Interfaces Due to Self-Formed PdBiSe Interlayers. Materials 2024, 17, 5460. https://doi.org/10.3390/ma17225460
Fan K, Hua Z, Gu S, Zhu P, Liu G, Ren H, Shao R, Wang Z, Lu L, Yang F. Superconductivity at Pd/Bi2Se3 Interfaces Due to Self-Formed PdBiSe Interlayers. Materials. 2024; 17(22):5460. https://doi.org/10.3390/ma17225460
Chicago/Turabian StyleFan, Kaixuan, Ze Hua, Siyao Gu, Peng Zhu, Guangtong Liu, Hechen Ren, Ruiwen Shao, Zhiwei Wang, Li Lu, and Fan Yang. 2024. "Superconductivity at Pd/Bi2Se3 Interfaces Due to Self-Formed PdBiSe Interlayers" Materials 17, no. 22: 5460. https://doi.org/10.3390/ma17225460
APA StyleFan, K., Hua, Z., Gu, S., Zhu, P., Liu, G., Ren, H., Shao, R., Wang, Z., Lu, L., & Yang, F. (2024). Superconductivity at Pd/Bi2Se3 Interfaces Due to Self-Formed PdBiSe Interlayers. Materials, 17(22), 5460. https://doi.org/10.3390/ma17225460

