Improving the Mechanical Properties and Microstructure of 12 mol% Ceria-Stabilized Tetragonal Zirconia Polycrystal Ceramics with Low-Content Nd2O3
Abstract
1. Introduction
2. Experimental Procedure
3. Results and Discussion
4. Conclusions
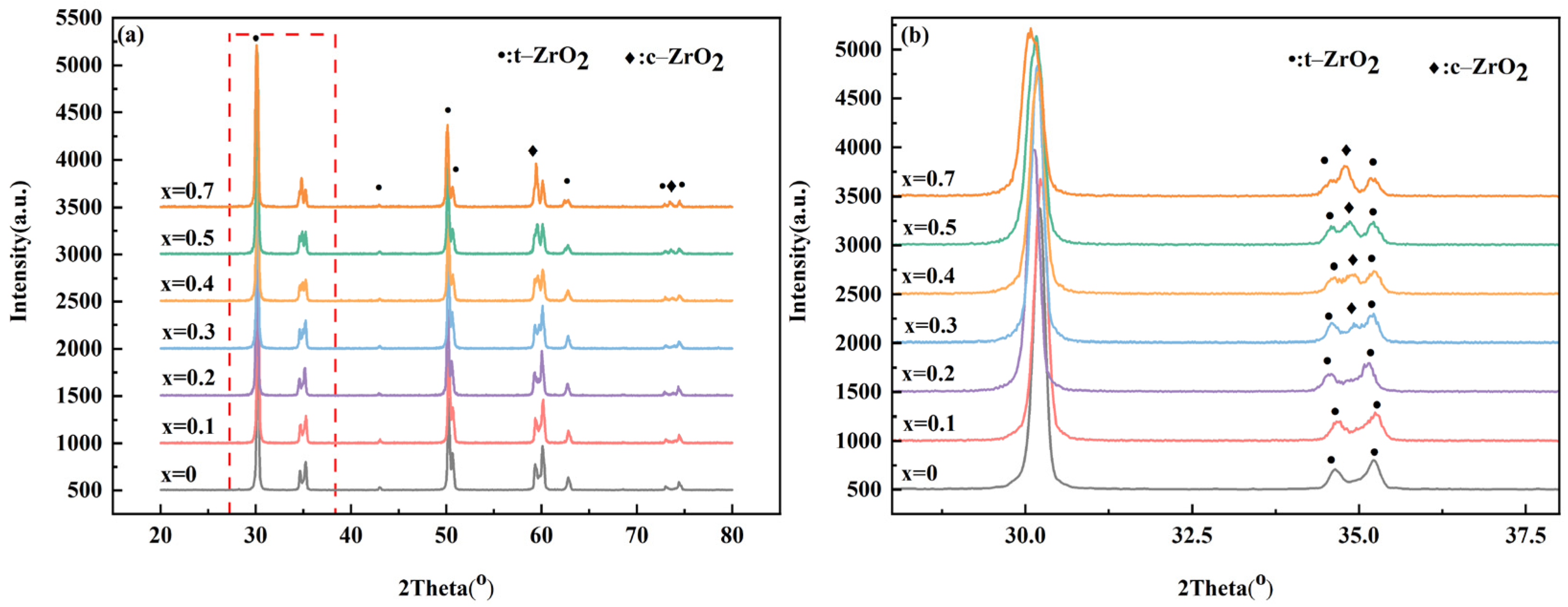
- The doping of Nd2O3 reduced and homogenized the grain size of the ceramics, which was due to the segregation of large trivalent cations on the grain boundary, thus inhibiting the growth of grains. Additionally, as the content of Nd2O3 increased, the formation of cubic zirconia accelerated, but no second phase was observed.
- Because of the appearance of the cubic phase, with the increase in Nd2O3 doping content, the hardness and strength of the ceramics first increased and then decreased, which reduced the mechanical properties of the ceramics. The decrease in fracture toughness was attributed to the reduction in tetragonal grain size, which suppressed the tetragonal–monoclinic phase transformation caused by stress, thereby reducing the toughening mechanism of phase transformation.
- When the doping amount of Nd2O3 reached 0.3 mol%, the comprehensive mechanical properties of the 12Ce-TZP-xNd2O3 ceramics reached the optimum levels (hardness: 11.2 GPa, strength: 655 Mpa, fracture toughness: 16.7 MP m1/2).
Author Contributions
Funding
Institutional Review Board Statement
Informed Consent Statement
Data Availability Statement
Conflicts of Interest
References
- Andrea, L.; Teodoro, K.; Željko, S.; Marko, J.; Mark, Ž. Flexural Strength and Morphological Study of Different Multilayer Zirconia Dental Materials. Materials 2024, 17, 1143. [Google Scholar] [CrossRef] [PubMed]
- Kelly, J.R.; Isabelle, D. Stabilized zirconia as a structural ceramic: An overview. Dent. Mater. 2008, 24, 289–298. [Google Scholar] [CrossRef] [PubMed]
- Hannink, R.H.J.; Kelly, P.M.; Barry, C.M. Transformation Toughening in Zirconia-Containing Ceramics. J. Am. Ceram. Soc. 2000, 83, 461–487. [Google Scholar] [CrossRef]
- Fei, Z.; Zheng, Y.; Van der Biest, O. Mechanical properties of Y2O3/Al2O3-coated Y-TZP ceramics. J. Eur. Ceram. Soc. 2002, 22, 873–881. [Google Scholar]
- Marko, J.; Teodoro, K.; Borna, R.; Arijeta, B.; Željko, S.; Luka, P.; Mark, Ž. Impact of Sandblasting on Morphology, Structure and Conductivity of Zirconia Dental Ceramics Material. Materials 2021, 14, 2834. [Google Scholar] [CrossRef]
- Jérôme, C.; Laurent, G. Ceramics for medical applications: A picture for the next 20 years. J. Eur. Ceram. Soc. 2009, 29, 1245–1255. [Google Scholar]
- Philipp, K.; Lothar, B.; Strempel, J.; Meike, S.; Thomas, H.; Friedrich-Wilhelm, B.; Hübsch, C. Low-temperature degradation of different zirconia ceramics for dental applications. Acta Biomater. 2012, 8, 1213–1220. [Google Scholar]
- Jing, Q.; Bao, J.; Ruan, F.; Song, X.; An, S.; Zhang, Y.; Tian, Z.; Lv, H.; Gao, J.; Xie, M. High-fracture toughness and aging-resistance of 3Y-TZP ceramics with a low Al2O3 content for dental applications. Ceram. Int. 2019, 45, 6066–6073. [Google Scholar] [CrossRef]
- Marko, J.; Teodoro, K.; Arijeta, B.; Željko, S.; Luka, P.; Mark, Ž. The Effect of Y3+ Addition on Morphology, Structure, and Electrical Properties of Yttria-Stabilized Tetragonal Zirconia Dental Materials. Materials 2022, 15, 1800. [Google Scholar] [CrossRef] [PubMed]
- Shyh-Lung, H.; Chen, I.-W. Grain Size Control of Tetragonal Zirconia Polycrystals Using the Space Charge Concept. J. Am. Ceram. Soc. 1990, 73, 3269–3277. [Google Scholar]
- Holmes, H.F.; Fuller, E.L.; Gammage, R.B. Heats of Immersion in Zirconium Oxide-Water System. J. Phys. Chem. 1972, 76, 1497–1502. [Google Scholar] [CrossRef]
- Lange, F.F. Transformation toughening. J. Mater. Sci. 1982, 17, 235–239. [Google Scholar] [CrossRef]
- Jing, Q.; Bao, J.; Ruan, F.; Song, X.; An, S.; Zhang, Y.; Tian, Z.; Xie, M.; Gao, J. The effect of YF3 on the mechanical properties and low-temperature degradation of 3Y-TZP ceramics. Ceram. Int. 2019, 45, 24212–24220. [Google Scholar] [CrossRef]
- Seiji, B.; Hideo, S.; Suehiro, Y.; Hideo, N.; Masahiro, N. Biaxial flexure strength and low temperature degradation of Ce-TZP/Al2O3 nanocomposite and Y-TZP as dental restoratives. J. Biomed. Mater. Res. Part B Appl. Biomater. 2008, 87, 492–498. [Google Scholar]
- Kenji, T.; Jiro, T.; Keiichi, K.; Masahiro, N.; Oka, M.; Masaki, U.; Tadashi, K.; Takashi, N. Ce-TZP/Al2O3 nanocomposite as a bearing material in total joint replacement. J. Biomed. Mater. Res. 2002, 63, 262–270. [Google Scholar]
- Raymond, A.C.; Robert, J.M.; Kevin, P.; Anil, V.V. High-Toughness Ce-TZP/Al2O3 Ceramics with Improved Hardness and Strength. J. Am. Ceram. Soc. 1991, 74, 179–186. [Google Scholar]
- Olivier, Q.; Laurent, B.; Alain, P.; Rousset, A. Zirconia–spinel composites. Part II: Mechanical properties. Mater. Res. Bull. 2000, 35, 1979–1987. [Google Scholar]
- Ibram, G.; Ferreira, J.M.F. Synthesis and characterization of MgAl2O4–ZrO2 composites. Ceram. Int. 2009, 35, 259–264. [Google Scholar]
- Fei, Z.; Kim, V.; Maria, B.; Joke, H.; Masanao, I.; Bart Van, M.; Ignace, N.; Fei, Z. Highly-translucent, strong and aging-resistant 3Y-TZP ceramics for dental restoration by grain boundary segregation. Acta Biomater. 2015, 16, 215–222. [Google Scholar]
- Fei, Z.; Maria, B.; Joke, H.; Giovanni, M.; Mariën, A.; Kim, V.; Masanao, I.; Bart Van, M.; Ignace, N.; Fei, Z. Effect of cation dopant radius on the hydrothermal stability of tetragonal zirconia: Grain boundary segregation and oxygen vacancy annihilation. Acta Mater. 2016, 106, 48–58. [Google Scholar]
- Duh, J.G.; Dai, H.T.; Hsu, W.Y. Synthesis and sintering behaviour in CeO2-ZrO2 ceramics. J. Mater. Sci. 1988, 23, 2786–2791. [Google Scholar] [CrossRef]
- John, W.C. The Impurity-Drag Effect in Grain Boundary Motion. Acta Metall. 1998, 10, 789–798. [Google Scholar]
- Tsipas, S.A. Effect of dopants on the phase stability of zirconia-based plasma sprayed thermal barrier coatings. J. Eur. Ceram. Soc. 2010, 30, 61–72. [Google Scholar] [CrossRef]
- Arellano, K.D.R.; Lukas, B.; Mondal, K. Compressive creep behavior of spark plasma sintered La2O3–YSZ composite. Ceram. Int. 2014, 40, 4231–4235. [Google Scholar] [CrossRef]
- Chen, I.W. Implications of Transformation Plasticity in ZrO2-Containing Ceramics: II, Elastic-Plastic Indentation. J. Am. Ceram. Soc. 1986, 69, 189–194. [Google Scholar] [CrossRef]
- Muhammad Azhar, N.; Tariq, M.; Zafar, A.A.; Naeem, A.; Hussain, T.; Muhammad, S.; Fazal-e, A.; Aamir, S.; Jafar, R.; Chuanbao, C. Electronic, optical and elastic properties of cubic zirconia (c-ZrO2) under pressure: A DFT study. Phys. B Condens. Matter 2021, 604, 412462. [Google Scholar]
- Jing, Q.; Lyu, Y.; Cui, S.; Bao, J.; Cai, C.; Xing, J. The multiple dependence of controllable microstructure and mechanical properties of (AlO1.5)x(NdO1.5)x(CeO2)0.12-1.5x(ZrO2)0.88+x ceramics. Ceram. Int. 2022, 48, 33011–33018. [Google Scholar] [CrossRef]
- Tao, X.; Fei, Z.; Van der Biest, O.; Yanmei, K.; Pei-Ling, W. Phase stability and mechanical properties of TZP with a low mixed Nd2O3/Y2O3 stabiliser content. J. Eur. Ceram. Soc. 2006, 26, 1205–1211. [Google Scholar]
- Mohammad, M.; Seyedeh Mahsa, S.-A.-E.; Elham, H.; Amir, G. Comparative study on the microstructure and mechanical behavior of monolithic ceramic and laminated composite of high strength 3Y-TZP and high fracture toughness 12Ce-TZP. J. Alloys Compd. 2019, 776, 166–171. [Google Scholar]
- Jing, Q.; Zhang, F.; Lei, L.; Zhang, J. Improving low temperature degradation of 3Y-TZP ceramics via high temperature carburizing. Ceram. Int. 2023, 49, 11865–11874. [Google Scholar] [CrossRef]
- Xu, H.; Li, Y.; Yang, J.; Yang, R.; Liu, H.; Jiao, J. Microstructure evolution of ultra-fine grained HfC ceramics with high hardness sintered under ultrahigh pressure by plastic deformation densification mechanism. Int. J. Refract. Met. Hard Mater. 2024, 118, 106425. [Google Scholar] [CrossRef]
- Moumita, S.; Samik, D.; Shitanshu Shekhar, C.; Nilrudra, M. Grain Size Distribution Analysis of MgO and VC Inhibited Zirconia Toughened Alumina Ceramics Using Digital Image Processing. Mater. Today Commun. 2024, 39, 108665. [Google Scholar]
- Song, X.; Ding, Y.; Zhang, J.; Jiang, C.; Liu, Z.; Lin, C.; Zheng, W.; Zeng, Y. Thermophysical and mechanical properties of cubic, tetragonal and monoclinic ZrO2. J. Mater. Res. Technol. 2023, 23, 648–655. [Google Scholar] [CrossRef]
- José Alejandro Muñoz, T.; Anglada, M. Quantitative Analysis of Monoclinic Phase in 3Y-TZP by Raman Spectroscopy. J. Am. Ceram. Soc. 2010, 93, 1790–1795. [Google Scholar] [CrossRef]
- Jing, Q.; Sun, J.; Zhang, F.; Lei, L.; Zhang, J. Residual stress distributions around indentations and crack in 3Y-TZP ceramics measured using piezo spectroscopy. Ceram. Int. 2023, 49, 28256–28266. [Google Scholar] [CrossRef]






| Samples | Average Grains (μm) | Density (g·cm3) |
|---|---|---|
| 12Ce-TZP | 2.93 ± 0.15 | 6.026 |
| 12Ce-TZP-0.1Nd2O3 | 1.62 ± 0.11 | 6.031 |
| 12Ce-TZP-0.2Nd2O3 | 1.12 ± 0.08 | 6.022 |
| 12Ce-TZP-0.3Nd2O3 | 0.69 ± 0.04 | 6.034 |
| 12Ce-TZP-0.4Nd2O3 | 0.95 ± 0.03 | 6.031 |
| 12Ce-TZP-0.5Nd2O3 | 0.98 ± 0.032 | 6.024 |
| 12Ce-TZP-0.7Nd2O3 | 1.03 ± 0.032 | 6.036 |
Disclaimer/Publisher’s Note: The statements, opinions and data contained in all publications are solely those of the individual author(s) and contributor(s) and not of MDPI and/or the editor(s). MDPI and/or the editor(s) disclaim responsibility for any injury to people or property resulting from any ideas, methods, instructions or products referred to in the content. |
© 2024 by the authors. Licensee MDPI, Basel, Switzerland. This article is an open access article distributed under the terms and conditions of the Creative Commons Attribution (CC BY) license (https://creativecommons.org/licenses/by/4.0/).
Share and Cite
Sun, Z.; Li, X.; Xing, J.; Gan, M.; Ji, Z.; Lyu, Y. Improving the Mechanical Properties and Microstructure of 12 mol% Ceria-Stabilized Tetragonal Zirconia Polycrystal Ceramics with Low-Content Nd2O3. Materials 2024, 17, 5426. https://doi.org/10.3390/ma17225426
Sun Z, Li X, Xing J, Gan M, Ji Z, Lyu Y. Improving the Mechanical Properties and Microstructure of 12 mol% Ceria-Stabilized Tetragonal Zirconia Polycrystal Ceramics with Low-Content Nd2O3. Materials. 2024; 17(22):5426. https://doi.org/10.3390/ma17225426
Chicago/Turabian StyleSun, Zengqing, Xiaoyu Li, Jinxin Xing, Min Gan, Zhiyun Ji, and Yong Lyu. 2024. "Improving the Mechanical Properties and Microstructure of 12 mol% Ceria-Stabilized Tetragonal Zirconia Polycrystal Ceramics with Low-Content Nd2O3" Materials 17, no. 22: 5426. https://doi.org/10.3390/ma17225426
APA StyleSun, Z., Li, X., Xing, J., Gan, M., Ji, Z., & Lyu, Y. (2024). Improving the Mechanical Properties and Microstructure of 12 mol% Ceria-Stabilized Tetragonal Zirconia Polycrystal Ceramics with Low-Content Nd2O3. Materials, 17(22), 5426. https://doi.org/10.3390/ma17225426

