Luminescence Thermometry with Eu3+-Doped Y2Mo3O12: Comparison of Performance of Intensity Ratio and Machine Learning Temperature Read-Outs
Abstract
1. Introduction
2. Materials and Methods
3. Results and Discussion
3.1. Structural and Morphological Characterization
3.2. Photoluminescence
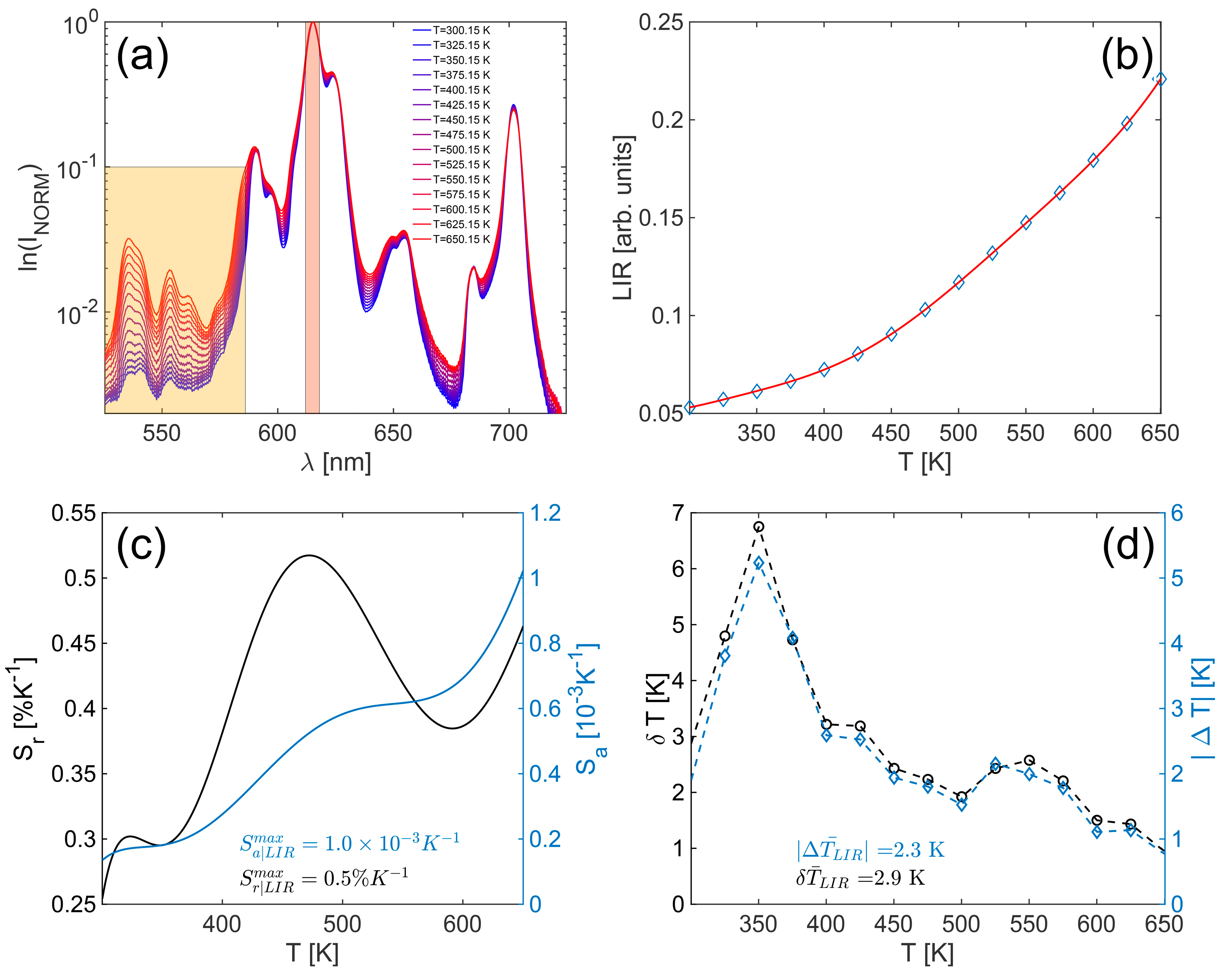
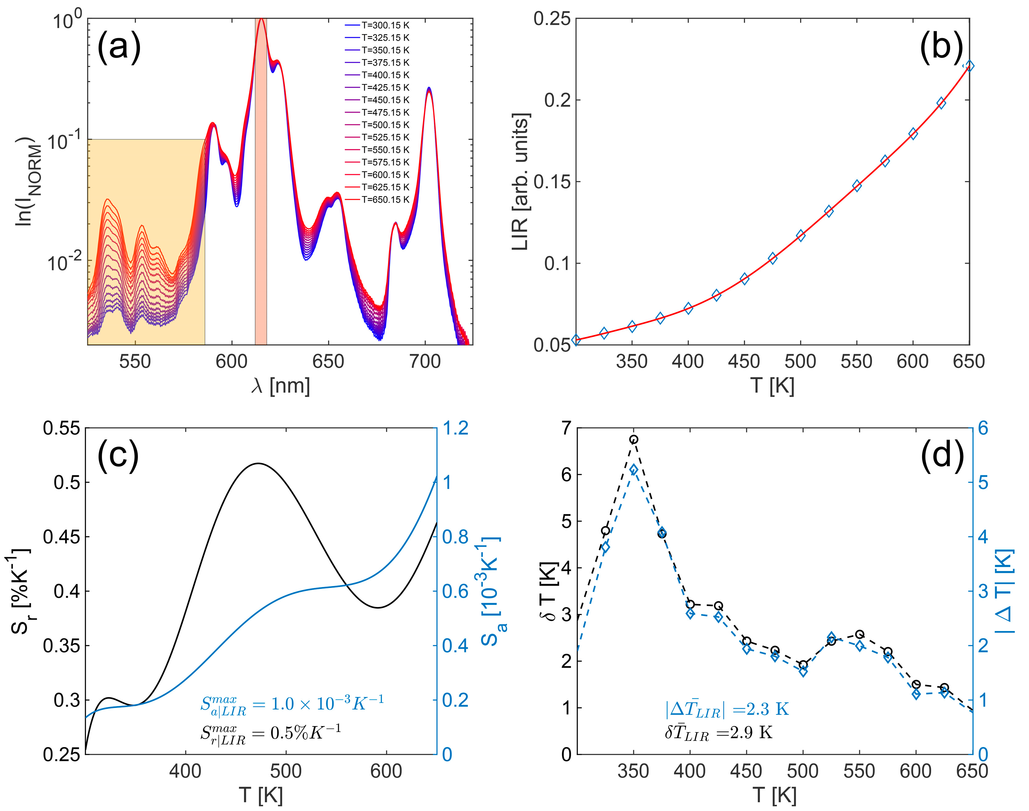
3.2.1. Luminescence Intensity Ratio Readout
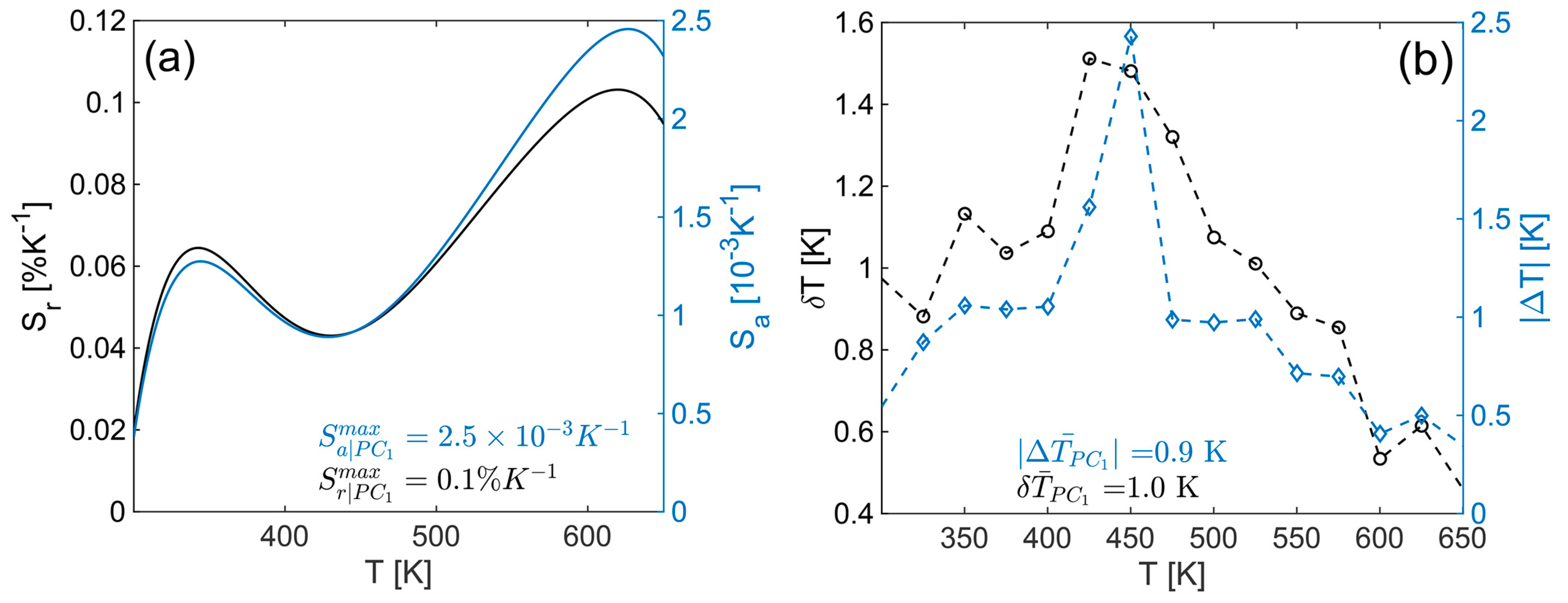
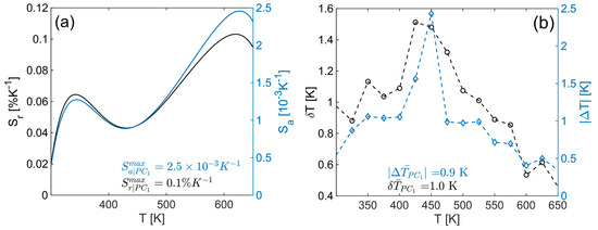
3.2.2. Principal Component Analysis Readout
3.3. Comparison Between LIR and PCA Approach
4. Conclusions
Author Contributions
Funding
Institutional Review Board Statement
Informed Consent Statement
Data Availability Statement
Conflicts of Interest
References
- Brübach, J.; Pflitsch, C.; Dreizler, A.; Atakan, B. On Surface Temperature Measurements with Thermographic Phosphors: A Review. Prog. Energy Combust. Sci. 2013, 39, 37–60. [Google Scholar] [CrossRef]
- Ring, E.F.J. The Historical Development of Thermometry and Thermal Imaging in Medicine. J. Med. Eng. Technol. 2006, 30, 192–198. [Google Scholar] [CrossRef] [PubMed]
- Zhang, Y.; Yuan, S.; Day, G.; Wang, X.; Yang, X.; Zhou, H.-C. Luminescent Sensors Based on Metal-Organic Frameworks. Coord. Chem. Rev. 2018, 354, 28–45. [Google Scholar] [CrossRef]
- Venturini, F.; Bürgi, R.; Borisov, S.M.; Klimant, I. Optical Temperature Sensing Using a New Thermographic Phosphor. Sens. Actuators A Phys. 2015, 233, 324–329. [Google Scholar] [CrossRef]
- Michalski, L.; Eckersdorf, K.; Kucharski, J.; McGhee, J. Temperature Measurement, 1st ed.; Wiley: Hoboken, NJ, USA, 2001. [Google Scholar] [CrossRef]
- Xu, W.; Gao, X.; Zheng, L.; Zhang, Z.; Cao, W. An Optical Temperature Sensor Based on the Upconversion Luminescence from Tm3+/Yb3+ Codoped Oxyfluoride Glass Ceramic. Sens. Actuators B Chem. 2012, 173, 250–253. [Google Scholar] [CrossRef]
- Xing, L.; Yang, W.; Ma, D.; Wang, R. Effect of Crystallinity on the Optical Thermometry Sensitivity of Tm3+/Yb3+ Codoped LiNbO3 crystal. Sens. Actuators B Chem. 2015, 221, 458–462. [Google Scholar] [CrossRef]
- Rakov, N.; Vieira, S.A.; Silva, Q.P.S.; Maciel, G.S. Facile Fabrication of Eu3+-doped Lanthanum Oxyfluoride Powders by Combustion Processes and Temperature Analysis of its Fluorescence for Thermal Sensor Application. Sens. Actuators B Chem. 2015, 209, 407–412. [Google Scholar] [CrossRef]
- Sedmak, I.; Urbančič, I.; Štrancar, J.; Mortier, M.; Golobič, I. Transient Submicron Temperature Imaging Based on the Fluorescence Emission in an Er/Yb Co-doped Glass–Ceramic. Sens. Actuators A Phys. 2015, 230, 102–110. [Google Scholar] [CrossRef]
- Dramićanin, M. Luminescence Thermometry: Methods, Materials, and Applications; Woodhead Publishing, An Imprint of Elsevier: Duxford, UK; Cambridge, MA, USA, 2018. [Google Scholar]
- Jaque, D.; Vetrone, F. Luminescence Nanothermometry. Nanoscale 2012, 4, 4301. [Google Scholar] [CrossRef]
- Tian, Y.; Tian, Y.; Huang, P.; Wang, L.; Shi, Q.; Cui, C. Effect of Yb3+ Concentration on Upconversion Luminescence and Temperature Sensing Behavior in Yb3+/Er3+ Co-doped YNbO4 Nanoparticles Prepared via Molten Salt Route. Chem. Eng. J. 2016, 297, 26–34. [Google Scholar] [CrossRef]
- Carvajal Martí, J.J.; Pujol Baiges, M.C. (Eds.) . Luminescent Thermometry: Applications and Uses; Springer International Publishing: Cham, Switzerland, 2023. [Google Scholar] [CrossRef]
- Đačanin Far, L.; Dramićanin, M. Luminescence Thermometry with Nanoparticles: A Review. Nanomaterials 2023, 13, 2904. [Google Scholar] [CrossRef] [PubMed]
- McLaurin, E.J.; Bradshaw, L.R.; Gamelin, D.R. Dual-Emitting Nanoscale Temperature Sensors. Chem. Mater. 2013, 25, 1283–1292. [Google Scholar] [CrossRef]
- Borisov, E.V.; Kalinichev, A.A.; Kolesnikov, I.E. ZnTe Crystal Multimode Cryogenic Thermometry Using Raman and Luminescence Spectroscopy. Materials 2023, 16, 1311. [Google Scholar] [CrossRef] [PubMed]
- Wang, J.; Lu, J.; Wu, Y.; Song, M. Luminescence of Mn4+ in a Zero-Dimensional Organic–Inorganic Hybrid Phosphor [N(CH3)4]2ZrF6 for Dual-Mode Temperature Sensing. Materials 2022, 15, 6543. [Google Scholar] [CrossRef]
- Miniajluk-Gaweł, N.; Bondzior, B.; Ptak, M.; Dereń, P.J. Highly Sensitive Temperature Sensors Resulting from the Luminescent Behavior of Sm3+-Doped Ba2MgMoO6 High-Symmetry Double-Perovskite Molybdate Phosphors. Materials 2024, 17, 1897. [Google Scholar] [CrossRef]
- Gavrilović, T.; Ćirić, A.; Medić, M.; Ristić, Z.; Periša, J.; Antić, Ž.; Dramićanin, M.D. Structure–Dopant Concentration Relations in Europium-Doped Yttrium Molybdate and Peak-Sharpening for Luminescence Temperature Sensing. Materials 2024, 17, 4267. [Google Scholar] [CrossRef]
- Grattan, K.T.V.; Sun, T. Fiber optic sensor technology: An Overview. Sens. Actuators A Phys. 2000, 82, 40–61. [Google Scholar] [CrossRef]
- Seat, H.C.; Sharp, J.H.; Zhang, Z.Y.; Grattan, K.T.V. Single-crystal ruby fiber temperature sensor. Sens. Actuators A Phys. 2002, 101, 24–29. [Google Scholar] [CrossRef]
- Kolesnikov, I.E.; Mamonova, D.V.; Kurochkin, M.A.; Kolesnikov, Y.E.; Lähderanta, E. Multimode Luminescence Thermometry Based on Emission and Excitation Spectra. J. Lumin. 2021, 231, 117828. [Google Scholar] [CrossRef]
- Nehra, K.; Dalal, A.; Hooda, A.; Singh, D.; Kumar, S. Exploration of Newly Synthesized Red Luminescent Material of Samarium for Display Applications. Inorg. Chem. Commun. 2022, 139, 109361. [Google Scholar] [CrossRef]
- Patel, M.; Meenu, M.; Pandey, J.K.; Kumar, P.; Patel, R. Recent Development in Upconversion Nanoparticles and Their Application in Optogenetics: A review. J. Rare Earths 2022, 40, 847–861. [Google Scholar] [CrossRef]
- Ge, M.; Liu, S.; Li, J.; Li, M.; Li, S.; James, T.D.; Chen, Z. Luminescent Materials Derived from Biomass Resources. Coord. Chem. Rev. 2023, 477, 214951. [Google Scholar] [CrossRef]
- Raja Lakshmi, P.; Nanjan, P.; Kannan, S.; Shanmugaraju, S. Recent Advances in Luminescent Metal–Organic Frameworks (LMOFs) Based Fluorescent Sensors for Antibiotics. Coord. Chem. Rev. 2021, 435, 213793. [Google Scholar] [CrossRef]
- Qin, Y.; She, P.; Huang, X.; Huang, W.; Zhao, Q. Luminescent Manganese(II) Complexes: Synthesis, Properties and Optoelectronic Applications. Coord. Chem. Rev. 2020, 416, 213331. [Google Scholar] [CrossRef]
- Dramićanin, M.D. Trends in Luminescence Thermometry. J. Appl. Phys. 2020, 128, 040902. [Google Scholar] [CrossRef]
- Ben Aoun, N. A Review of Automatic Pain Assessment from Facial Information Using Machine Learning. Technologies 2024, 12, 92. [Google Scholar] [CrossRef]
- Manakitsa, N.; Maraslidis, G.S.; Moysis, L.; Fragulis, G.F. A Review of Machine Learning and Deep Learning for Object Detection, Semantic Segmentation, and Human Action Recognition in Machine and Robotic Vision. Technologies 2024, 12, 15. [Google Scholar] [CrossRef]
- González-Rodríguez, J.-R.; Córdova-Esparza, D.-M.; Terven, J.; Romero-González, J.-A. Towards a Bidirectional Mexican Sign Language–Spanish Translation System: A Deep Learning Approach. Technologies 2024, 12, 7. [Google Scholar] [CrossRef]
- Bakthavatchalam, K.; Karthik, B.; Thiruvengadam, V.; Muthal, S.; Jose, D.; Kotecha, K.; Varadarajan, V. IoT Framework for Measurement and Precision Agriculture: Predicting the Crop Using Machine Learning Algorithms. Technologies 2022, 10, 13. [Google Scholar] [CrossRef]
- Jolliffe, I.T. Principal Component Analysis, 2nd ed.; Springer: Berlin/Heidelberg, Germany, 2002. [Google Scholar]
- Dang, P.; Li, G.; Yun, X.; Zhang, Q.; Liu, D.; Lian, H.; Shang, M.; Lin, J. Thermally Stable and Highly Efficient Red-Emitting Eu3+-doped Cs3GdGe3O9 Phosphors for WLEDs: Non-Concentration Quenching and Negative Thermal Expansion. Light Sci. Appl. 2021, 10, 29. [Google Scholar] [CrossRef]
- Ximendes, E.; Marin, R.; Carlos, L.D.; Jaque, D. Less is more: Dimensionality reduction as a general strategy for more precise luminescence thermometry. Light Sci. Appl. 2022, 11, 237. [Google Scholar] [CrossRef] [PubMed]
- Rajčić, A.; Ristić, Z.; Periša, J.; Milićević, B.; Aldawood, S.; Alodhayb, A.N.; Antić, Ž.; Dramićanin, M.D. Using Principal Component Analysis for Temperature Readings from YF3:Pr3+ Luminescence. Technologies 2024, 12, 131. [Google Scholar] [CrossRef]






| l0 | l1 [10−1 K−1] | l2 [10−3 K−2] | l3 [10−6 K−3] | l4 [10−9 K−4] | l5 [10−11 K−5] | l6 [10−15 K−6] | l7 [10−18 K−7] | |
|---|---|---|---|---|---|---|---|---|
| Values | 10.9575 | −1.75941 | 1.19011 | −4.37450 | 9.43070 | −1.19143 | 8.16924 | −2.34591 |
| [10−1 K−1] | [10−3 K−2] | [10−5 K−3] | [10−8 K−4] | [10−11 K−5] | [10−14 K−6] | [10−18 K−7] | ||
|---|---|---|---|---|---|---|---|---|
| Values | 56.4852 | −8.06979 | 5.01888 | −1.7076 | 3.44575 | −4.13606 | 2.74263 | −7.76777 |
| Sr [‰ K−1] | ΔTav [K] | δTav [K] | ΔTmax [K] | δTmax [K] | |
|---|---|---|---|---|---|
| LIR | 5@472.25 K | 2.3 | 2.9 | 5.2 @350.15 K | 6.8 @350.15 K |
| PCA | 1@619.85 K | 0.9 | 1.0 | 2.4 @450.15 K | 1.5 @425.15 K |
Disclaimer/Publisher’s Note: The statements, opinions and data contained in all publications are solely those of the individual author(s) and contributor(s) and not of MDPI and/or the editor(s). MDPI and/or the editor(s) disclaim responsibility for any injury to people or property resulting from any ideas, methods, instructions or products referred to in the content. |
© 2024 by the authors. Licensee MDPI, Basel, Switzerland. This article is an open access article distributed under the terms and conditions of the Creative Commons Attribution (CC BY) license (https://creativecommons.org/licenses/by/4.0/).
Share and Cite
Gavrilović, T.; Đorđević, V.; Periša, J.; Medić, M.; Ristić, Z.; Ćirić, A.; Antić, Ž.; Dramićanin, M.D. Luminescence Thermometry with Eu3+-Doped Y2Mo3O12: Comparison of Performance of Intensity Ratio and Machine Learning Temperature Read-Outs. Materials 2024, 17, 5354. https://doi.org/10.3390/ma17215354
Gavrilović T, Đorđević V, Periša J, Medić M, Ristić Z, Ćirić A, Antić Ž, Dramićanin MD. Luminescence Thermometry with Eu3+-Doped Y2Mo3O12: Comparison of Performance of Intensity Ratio and Machine Learning Temperature Read-Outs. Materials. 2024; 17(21):5354. https://doi.org/10.3390/ma17215354
Chicago/Turabian StyleGavrilović, Tamara, Vesna Đorđević, Jovana Periša, Mina Medić, Zoran Ristić, Aleksandar Ćirić, Željka Antić, and Miroslav D. Dramićanin. 2024. "Luminescence Thermometry with Eu3+-Doped Y2Mo3O12: Comparison of Performance of Intensity Ratio and Machine Learning Temperature Read-Outs" Materials 17, no. 21: 5354. https://doi.org/10.3390/ma17215354
APA StyleGavrilović, T., Đorđević, V., Periša, J., Medić, M., Ristić, Z., Ćirić, A., Antić, Ž., & Dramićanin, M. D. (2024). Luminescence Thermometry with Eu3+-Doped Y2Mo3O12: Comparison of Performance of Intensity Ratio and Machine Learning Temperature Read-Outs. Materials, 17(21), 5354. https://doi.org/10.3390/ma17215354

