The Effect of Heating Rate on the Microstructure Evolution and Hardness of Heterogeneous Manganese Steel
Abstract
1. Introduction
2. Materials and Experimental Procedures
3. Results
3.1. Microstructure Characterization
3.1.1. Initial Microstructure Characterization
3.1.2. Prior Austenite Grains
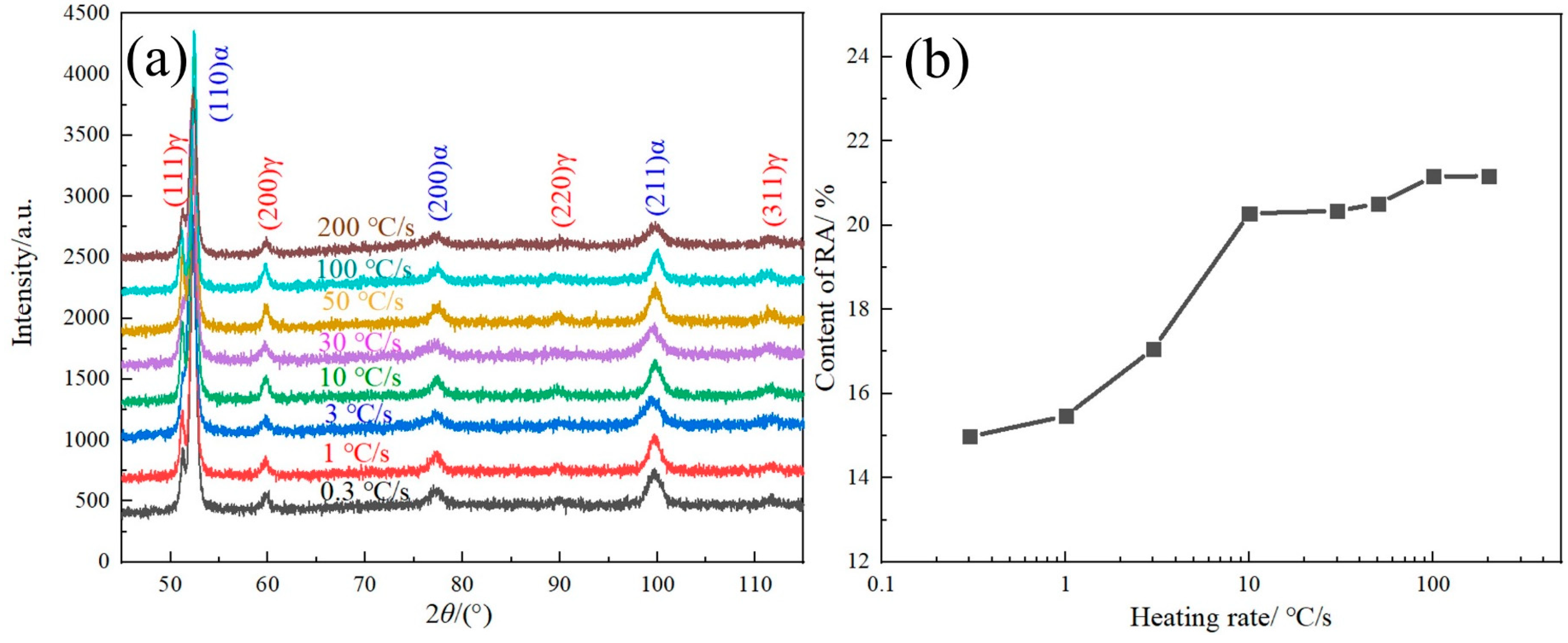
3.1.3. Microstructure Analysis of RA
3.1.4. Dislocation Density
3.2. Hardness
4. Discussion
4.1. The Influence of Heating Rate on RA Morphology
4.2. The Influence of Heating Rate on Hardness
4.3. Dynamic Analysis of Phase Transition during the Rapid Heating Stage
5. Conclusions
- As the heating rate increases, the PAGs were refined from 8.36 μm to 3.28 μm. This is due to the elimination of microstructural inheritance by the pearlite pretreatment. More austenite cores are obtained, through which only a few grains tend to grow, as the austenitization time shortens before the PAGs flatten.
- As the heating rate increases, the total RA content increases from 14.98% to 21.17%, which is contributed by film RA. Film RA originates from the Mn-riched area of GP formed at high heating rates (>10 °C/s). A higher heating rate makes the chemical boundaries of Mn more distinct, which promotes the production of GP. GP consists of alternating Mn-riched RA and Mn-poored lath martensite.
- As the heating rate increases, the hardness gradually increases from 628.1 HV to 663.3 HV, due to grain refinement and increased dislocation density. The higher hardness and finer RA film of this material exhibit better comprehensive mechanical properties, which makes it a promising raw material for wear-resistant components and automotive industry products.
Author Contributions
Funding
Institutional Review Board Statement
Informed Consent Statement
Data Availability Statement
Conflicts of Interest
References
- Hu, B.; Luo, H.; Yang, F.; Dong, H. Recent progress in medium-Mn steels made with new designing strategies, a review. J. Mater. Sci. Technol. 2017, 33, 1457–1464. [Google Scholar] [CrossRef]
- Li, S.; Luo, H. Medium-Mn steels for hot forming application in the automotive industry. Int. J. Miner. Metall. Mater. 2021, 28, 741–753. [Google Scholar] [CrossRef]
- Xu, Z.; Shen, X.; Allam, T.; Song, W.; Bleck, W. Austenite transformation and deformation behavior of a cold-rolled medium-Mn steel under different annealing temperatures. Mater. Sci. Eng. A 2022, 829, 142115. [Google Scholar] [CrossRef]
- Zhao, Z.Z.; Chen, W.J.; Gao, P.F.; Kang, T.; Zhao, Y.; Tang, D. Progress and perspective of advanced high strength automotive steel. J. Iron Steel Res. 2020, 32, 1059–1076. [Google Scholar]
- Soleimani, M.; Kalhor, A.; Mirzadeh, H. Transformation-induced plasticity (TRIP) in advanced steels: A review. Mater. Sci. Eng. A 2020, 795, 140023. [Google Scholar] [CrossRef]
- Zhang, X.; Teng, R.; Liu, T.; Shi, Y.; Lv, Z.; Zhou, Q.; Wang, X.; Wang, Y.; Liu, H.; Xing, Z. Improving strength–ductility synergy in medium Mn steel by combining heterogeneous structure and TRIP effect. Mater. Charact. 2022, 184, 111661. [Google Scholar] [CrossRef]
- Fang, S.; Liu, G.; Liang, X.K.; Qian, J.Q.; Sun, X.J. Effect of tempering temperature on microstructure and mechanical properties of new ultra-low carbon medium manganese steel microalloyed by Nb and Ti. Trans. Mater. Heat Treat. 2021, 42, 95–107. [Google Scholar]
- Xiong, X.C.; Chen, B.; Huang, M.X.; Wang, J.F.; Wang, L. The effect of morphology on the stability of retained austenite in a quenched and partitioned steel. Scr. Mater. 2013, 68, 321–324. [Google Scholar] [CrossRef]
- Zhang, C.; Xiong, Z.; Yang, D.; Cheng, X. Heterogeneous quenching and partitioning from manganese-partitioned pearlite: Retained austenite modification and formability improvement. Acta Mater. 2022, 235, 118060. [Google Scholar] [CrossRef]
- Zhang, C.; Xiong, Z.; Yang, D.; Dudko, V.; Cheng, X. Chemical patterning enhanced by increasing quenching temperature in a medium-Mn steel. J. Iron Steel Res. Int. 2023, 30, 1916–1920. [Google Scholar] [CrossRef]
- Li, Z.C.; Ding, H.; Misra, R.D.K.; Cai, Z.H. Microstructure-mechanical property relationship and austenite stability in medium-Mn TRIP steels: The effect of austenite-reverted transformation and quenching-tempering treatments. Mater. Sci. Eng. A 2017, 682, 211–219. [Google Scholar] [CrossRef]
- Nagao, A.; Hayashi, K.; Oi, K.; Mitao, S.; Shikanai, N. Refinement of cementite in high strength steel plates by rapid heating and tempering. Mater. Sci. Forum 2007, 539, 4720–4725. [Google Scholar] [CrossRef]
- Shikanai, N.; Mitao, S.; Endo, S. Recent development in microstructural control technologies through the thermo-mechanical control process (TMCP) with JFE steel’s high-performance plates. JFE Tech. Rep. 2008, 11, 1–6. [Google Scholar]
- Igi, S.; Miyake, M. Development of thermo-mechanical control process (TMCP) and high performance steels in JFE steel. JFE Tech. Rep. 2021, 26, 86–94. [Google Scholar]
- Yuan, Q.; Ren, J.; Mo, J.; Zhang, Z.; Tang, E.; Xu, G.; Xue, Z. Effects of rapid heating on the phase transformation and grain refinement of a low-carbon mciroalloyed steel. J. Mater. Res. Technol. 2023, 23, 3756–3771. [Google Scholar] [CrossRef]
- Sun, W.W.; Wu, Y.X.; Yang, S.C.; Hutchinson, C.R. Advanced high strength steel (AHSS) development through chemical patterning of austenite. Scr. Mater. 2018, 146, 60–63. [Google Scholar] [CrossRef]
- Ding, R.; Yao, Y.; Sun, B.; Liu, G.; He, J.; Li, T.; Wan, X.; Dai, Z.; Ponge, D.; Raabe, D.; et al. Chemical boundary engineering: A new route toward lean, ultrastrong yet ductile steels. Sci. Adv. 2020, 6, eaay1430. [Google Scholar] [CrossRef]
- Kim, J.H.; Gu, G.; Kwon, M.H.; Koo, M.; Kim, E.Y.; Kim, J.H.; Lee, J.S.; Suh, D.W. Microstructure and tensile properties of chemically heterogeneous steel consisting of martensite and austenite. Acta Mater. 2022, 223, 117506. [Google Scholar] [CrossRef]
- Wang, Y.; Ding, R.; Franke, C.; Li, T.; Rong, X.; Wen, P.; Yang, Z.; Chen, H. Flash annealing of a chemically heterogeneous medium Mn steel. Scr. Mater. 2024, 242, 115923. [Google Scholar] [CrossRef]
- Su, S.; Quan, S.; Song, R.; Wang, Y.; Cai, C. Microstructure-mechanical properties evolution of hot-rolled medium Mn steel: Effects of short-time holding and low-temperature tempering following ultrafast heating. Mater. Des. 2024, 238, 112658. [Google Scholar] [CrossRef]
- Yang, D.; Xiao, J.; Zhang, C.; Wang, Y.; Xiong, Z. Mn Heterogeneity and Ductility Improvement Realized by Slow Heating Mn-Partitioned Pearlite. Met. Mater. Int. 2024, 30, 393–402. [Google Scholar] [CrossRef]
- Liu, G.; Li, T.; Yang, Z.; Zhang, C.; Li, J.; Chen, H. On the role of chemical heterogeneity in phase transformations and mechanical behavior of flash annealed quenching & partitioning steels. Acta Mater. 2020, 201, 266–277. [Google Scholar]
- Liu, G.; Zhang, S.; Li, J.; Wang, J.; Meng, Q. Fast-heating for intercritical annealing of cold-rolled quenching and partitioning steel. Mater. Sci. Eng. A 2016, 669, 387–395. [Google Scholar] [CrossRef]
- Clarke, A.J.; Speer, J.G.; Miller, M.K.; Hackenberg, R.H.; Edmonds, D.V.; Matlock, D.K.; Rizzo, F.C.; Clarke, K.D.; Moor, E.D. Carbon partitioning to austenite from martensite or bainite during the quench and partition (Q&P) process: A critical assessment. Acta Mater. 2008, 56, 16–22. [Google Scholar]
- De, A.K.; Murdock, D.C.; Mataya, M.C.; Speer, J.G.; Matlock, D.K. Quantitative measurement of deformation-induced martensite in 304 stainless steel by X-ray diffraction. Scr. Mater. 2004, 50, 1445–1449. [Google Scholar] [CrossRef]
- An, X.L.; Zhang, R.M.; Wu, Y.X.; Zou, Y.; Zhang, L.T.; Zhang, K.; Wang, L.Y.; Li, Y.S.; Hutchinson, C.R. The role of retained austenite on the stress-strain behaviour of chemically patterned steels. Mater. Sci. Eng. A 2022, 831, 142286. [Google Scholar] [CrossRef]
- Ling, Z.S. Structural inheritance of steel. J. Hunan Univ. 1985, 12, 70–80. [Google Scholar]
- Calcagnotto, M.; Ponge, D.; Demir, E.; Raabe, D. Orientation gradients and geometrically necessary dislocations in ultrafine grained dual-phase steels studied by 2D and 3D EBSD. Mater. Sci. Eng. A 2010, 527, 2738–2746. [Google Scholar] [CrossRef]
- HajyAkbary, F.; Sietsma, J.; Böttger, A.J.; Santofimia, M.J. An improved X-ray diffraction analysis method to characterize dislocation density in lath martensitic structures. Mater. Sci. Eng. A 2015, 639, 208–218. [Google Scholar] [CrossRef]
- Zhang, X.G.; Miyamoto, G.; Furuhara, T. Effects of heating rate on microstructure of reverted austenite. Iron Steel 2019, 54, 83–89. [Google Scholar]
- Jimenez-Melero, E.; Van Dijk, N.H.; Zhao, L.; Sietsma, J.; Offerman, S.E.; Wright, J.P.; Zwaag, D. Martensitic transformation of individual grains in low-alloyed TRIP steels. Scr. Mater. 2007, 56, 421–424. [Google Scholar] [CrossRef]
- Arlazarov, A.; Gouné, M.; Bouaziz, O.; Hazotte, A. Critical factors governing the thermal stability of austenite in an ultra-fined grained medium-Mn steel. Philos. Mag. Lett. 2017, 97, 125–131. [Google Scholar] [CrossRef]
- Pavlina, E.J.; Van Tyne, C.J. Correlation of yield strength and tensile strength with hardness for steels. J. Mater. Eng. Perform. 2008, 17, 888–893. [Google Scholar] [CrossRef]
- Gladman, T. Precipitation hardening in metals. Mater. Sci. Technol. 1999, 15, 30–36. [Google Scholar] [CrossRef]
- Kennett, S.C.; Krauss, G.; Findley, K.O. Prior austenite grain size and tempering effects on the dislocation density of low-C Nb-Ti microalloyed lath martensite. Scr. Mater. 2015, 107, 123–126. [Google Scholar] [CrossRef]
- Li, J.J.; Godfrey, A.; Liu, W.; Zhang, C. Investigation of austenitization during continuous heating process in hypereutectoid steels. Acta Metall. Sin. 2014, 50, 1179–1188. [Google Scholar]
- Sharma, S.; Nanda, T.; Adhikary, M.; Venugopalan, V.; Kumar, R. A simulation study of pearlite-to-austenite transformation kinetics in rapidly heated hot-rolled low carbon steel. Mater. Des. 2016, 107, 65–73. [Google Scholar] [CrossRef]
- Li, P.; Li, J.; Meng, Q.G.; Hu, W.; Xu, D. Effect of heating rate on ferrite recrystallization and austeniteformation of cold-roll dual phase steel. J. Alloys Compd. 2013, 578, 320–327. [Google Scholar] [CrossRef]
- Liu, G.; Dai, Z.; Yang, Z.; Zhang, C.; Li, J.; Chen, H. Kinetic transitions and Mn partitioning during austenite growth from a mixture of partitioned cementite and ferrite: Role of heating rate. J. Mater. Sci. Technol. 2020, 49, 70. [Google Scholar] [CrossRef]
















| C | Si | Mn | P | S | Mo | Fe |
|---|---|---|---|---|---|---|
| 0.4 | 0.21 | 4.98 | 0.0035 | 0.0068 | 0.20 | Bal. |
| Heating Rate/°C/s | 0.3 | 1 | 10 | 50 | 100 | 200 |
|---|---|---|---|---|---|---|
| Dislocation density/×1012 cm−2 | 1.3614 | 1.2855 | 1.3736 | 1.4179 | 1.4611 | 1.4832 |
Disclaimer/Publisher’s Note: The statements, opinions and data contained in all publications are solely those of the individual author(s) and contributor(s) and not of MDPI and/or the editor(s). MDPI and/or the editor(s) disclaim responsibility for any injury to people or property resulting from any ideas, methods, instructions or products referred to in the content. |
© 2024 by the authors. Licensee MDPI, Basel, Switzerland. This article is an open access article distributed under the terms and conditions of the Creative Commons Attribution (CC BY) license (https://creativecommons.org/licenses/by/4.0/).
Share and Cite
Ren, W.; Zhao, P.; Wang, M.; Tong, S.; Liang, X.; Sun, X.; Wu, H. The Effect of Heating Rate on the Microstructure Evolution and Hardness of Heterogeneous Manganese Steel. Materials 2024, 17, 5321. https://doi.org/10.3390/ma17215321
Ren W, Zhao P, Wang M, Tong S, Liang X, Sun X, Wu H. The Effect of Heating Rate on the Microstructure Evolution and Hardness of Heterogeneous Manganese Steel. Materials. 2024; 17(21):5321. https://doi.org/10.3390/ma17215321
Chicago/Turabian StyleRen, Wubin, Peiyu Zhao, Menghu Wang, Shuai Tong, Xiaokai Liang, Xinjun Sun, and Huibin Wu. 2024. "The Effect of Heating Rate on the Microstructure Evolution and Hardness of Heterogeneous Manganese Steel" Materials 17, no. 21: 5321. https://doi.org/10.3390/ma17215321
APA StyleRen, W., Zhao, P., Wang, M., Tong, S., Liang, X., Sun, X., & Wu, H. (2024). The Effect of Heating Rate on the Microstructure Evolution and Hardness of Heterogeneous Manganese Steel. Materials, 17(21), 5321. https://doi.org/10.3390/ma17215321

