Magnetodielectric and Rheological Effects in Magnetorheological Suspensions Based on Lard, Gelatin and Carbonyl Iron Microparticles
Abstract
1. Introduction
2. Preparation of MRSs
2.1. Materials
- Lard, produced by Elit (Alba Iulia, Romania), supplied through commercial stores.
- Animal gelatin, from Dr. Oetker SRL (Curtea de Arges, Romania), supplied through grocery stores. The gelatin is in the form of white granules (GP) with equivalent diameters less than or equal to 1 mm as shown in Figure 1a.
- CI microparticles, are produced by Sigma-Aldrich (St. Louis, MO, USA). Their sizes are between 4.5 m and 5.4 m.
2.2. Method
- The volume of lard, of CI microparticles, and of GP are measured. The corresponding values are listed in Table 2.
- In a Berzelius beaker, the volumes and corresponding to from Table 2 are introduced. The components, consisting of lard and CI microparticles, are mixed while heating (approximately at 250 °C) for about five minutes. The mixing continues until the liquid mixture reaches ambient temperature (approximately 27 °C). At the end of this stage, a dark-colored mixture, hereafter referred to as suspension, is obtained.
- Volumes of 3.2 of lard and 0.4 of GP are measured and introduced into a Berzelius beaker. In a second Berzelius beaker, are introduced 2.8 of lard and 0.8 of GP. The mixtures in the Berzelius beakers are homogenized by turn at a temperature of approximately 250 °C for about five minutes, after which the mixing continues until the liquid mixtures reach ambient temperature (approximately 27 °C). A film of the prepared mixture is deposited on a glass slide. The resulting image is shown in Figure 1b. It can be observed from this figure that the formed microparticles have micrometric dimensions with an average diameter of 6.94 ± 0.55 m (see Appendix A for details) and have a spherical shape.
- In the Berzelius beaker with 3.2 of lard and 0.4 of GP, are introduced 0.4 of CI microparticles, and the mixture is heated to approximately 150 °C for about five minutes. At the end of this period, the mixture is further homogenized until it reaches ambient temperature. At the end of this stage, the suspension is formed.
- In the Berzelius beaker with 2.8 of lard and 0.8 of GP, 0.4 of CI microparticles are introduced, and the mixture is heated to approximately 150 °C for about five minutes. At the end of this period, the mixture further homogenizes until it reaches ambient temperature. At the end of this stage, the suspension is formed.
3. Fabrication of PECs
3.1. Materials for PECs
- Laminated board (LB) based on epoxy resin, reinforced with fiberglass, with one side plated with copper, has a thickness of 0.35 m. The LB is obtained from HobbyMarket (Bucuresti, Romania) and is delivered in dimensions of 210 mm × 100 mm × 1.5 mm.
- Non-slip rubber pad (RP), type CAR-BOY (made in Japan) and supplied by Hornbach (Timisoara, Romania). The RP pad has a diameter of 40 mm and a thickness of 2 mm.
- Surgical adhesive tape Durapore (ST), manufactured by 3M EMEA GmbH (Langenthal, Switzerland), and supplied through Help Net (Bucuresti, Romania). The tape is 5 cm wide and 9 m long.
3.2. Method for Obtaining PECs
- LB is cut into six pieces. Each piece has dimensions of 30 mm × 30 mm × 1.5 mm.
- Three rings with an inner diameter of 20 mm are cut from the RP pad.
- On top of the MC filled with MRS (Figure 2b), the copper-coated side of the LB is fixed by pressing. The assembly thus realized is consolidated with ST tape. At the end of this stage, three capacitors denoted by , , and are obtained, as shown in Figure 3 (see details in Figure A2 in Appendix B).
4. Measurements of Electrical Properties
5. Theoretical Background
6. Results
6.1. Stability of PECs with Lard, GP and Respectively CI Microparticles
6.2. Electrical Properties of PECs
6.3. Theoretical Models and Fitting Procedures for Capacitance Data
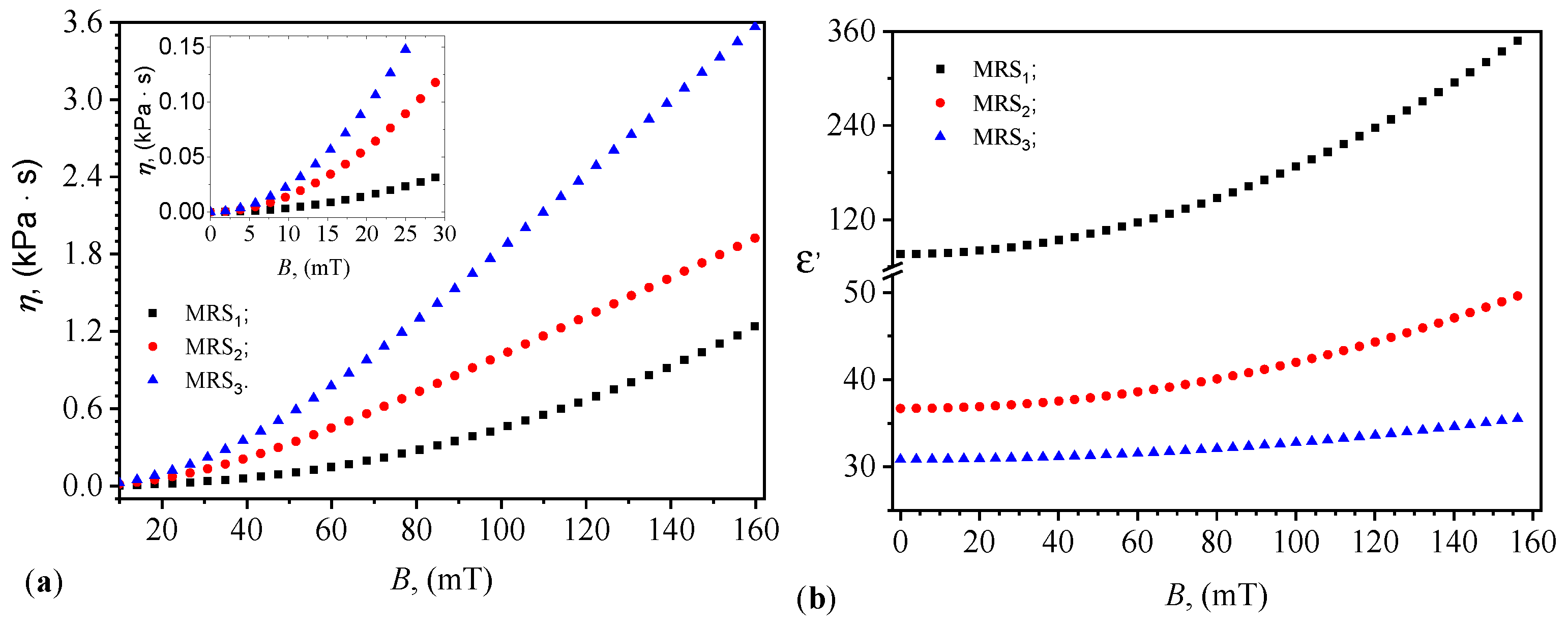
6.4. Rheological Properties of MRSs and Relative Dielectric Permittivity
6.5. Magnetodielectric Effects in MRSs
7. Discussion
8. Conclusions
Author Contributions
Funding
Institutional Review Board Statement
Informed Consent Statement
Data Availability Statement
Conflicts of Interest
Appendix A. Size Distribution of GPs

Appendix B. PECs with Lard, CP and GP Microparticles

References
- Wang, Y.; Xie, W.; Wu, D. Rheological properties of magnetorheological suspensions stabilized with nanocelluloses. Carbohydr. Polym. 2020, 231, 115776. [Google Scholar] [CrossRef]
- Zhao, P.; Du, T.; Ma, N.; Dong, X.; Qi, M. Effect of interfacial shear strength between magnetic particles and carrier liquid on rheological properties of magnetorheological fluids. J. Mol. Liq. 2023, 369, 120929. [Google Scholar] [CrossRef]
- Pei, P.; Peng, Y. Constitutive modeling of magnetorheological fluids: A review. J. Magn. Magn. Mater. 2022, 550, 169076. [Google Scholar] [CrossRef]
- Zhu, X.; Ma, S.; Huang, H.; Liu, Z.; Sun, H.; Teng, G. Experimental Analysis on the Dependence of the Capacitance of Magnetorheological Fluids on Frequency. Front. Mater. 2022, 9, 932097. [Google Scholar] [CrossRef]
- Saberi, H.; Esmaeilnezhad, E.; Choi, H.J. Application of artificial intelligence to magnetite-based magnetorheological fluids. J. Ind. Eng. Chem. 2021, 100, 399–409. [Google Scholar] [CrossRef]
- Jenis, F.; Kubik, M.; Michalek, T.; Strecker, Z.; Zacek, J.; Mazurek, I. Effect of the Magnetorheological Damper Dynamic Behaviour on the Rail Vehicle Comfort: Hardware-in-the-Loop Simulation. Actuators 2023, 12, 47. [Google Scholar] [CrossRef]
- Yang, X.; Huang, Y.; Hou, Y.; Wu, H.; Xu, R.; Chu, P.K. An experimental study of magnetorheological fluids on electrical conductivity property. J. Mater. Sci. Mater. Electron. 2017, 28, 8130–8135. [Google Scholar] [CrossRef]
- Liu, X.; Wang, N.; Wang, K.; Chen, S.; Sun, S.; Li, Z.; Li, W. A new AI-surrogate model for dynamics analysis of a magnetorheological damper in the semi-active seat suspension. Smart Mater. Struct. 2020, 29, 037001. [Google Scholar] [CrossRef]
- Wang, S.; Ge, Y.; Chen, W.; Gao, F. A dynamic analytical model on electrical circuit response of magnetorheological clutch. Proc. Inst. Mech. Eng. C 2024, 238, 1968–1977. [Google Scholar] [CrossRef]
- Kumar, S.; Sehgal, R.; Wani, M.; Sharma, M.D. Stabilization and tribological properties of magnetorheological (MR) fluids: A review. J. Magn. Magn. Mater. 2021, 538, 168295. [Google Scholar] [CrossRef]
- Choi, S.B. Sedimentation Stability of Magnetorheological Fluids: The State of the Art and Challenging Issues. Micromachines 2022, 13, 1904. [Google Scholar] [CrossRef]
- Narwade, P.; Deshmukh, R.; Nagarkar, M.; Wagh, M. Experimental study and rheology of magneto-rheological fluid for a suspension system. Mater. Today Proc. 2023; in press. [Google Scholar] [CrossRef]
- Bica, I.; Anitas, E. Magnetic field intensity effect on electrical conductivity of magnetorheological biosuspensions based on honey, turmeric and carbonyl iron. J. Ind. Eng. Chem. 2018, 64, 276–283. [Google Scholar] [CrossRef]
- Bica, I.; Anitas, E.M.; Averis, L.M.E.; Kwon, S.H.; Choi, H.J. Magnetostrictive and viscoelastic characteristics of polyurethane-based magnetorheological elastomer. J. Ind. Eng. Chem. 2019, 73, 128–133. [Google Scholar] [CrossRef]
- Shixu, L.; Jing, Z.; Jun, L.; Jie, F.; Miao, Y.; Song, Q. Enhancing Effect of Fe3O4/Nanolignocelluloses in Magnetorheological Fluid. Langmuir 2021, 37, 7176–7184. [Google Scholar] [CrossRef]
- Plachy, T.; Rohrer, P.; Holcapkova, P. Gelatine-Coated Carbonyl Iron Particles and Their Utilization in Magnetorheological Suspensions. Materials 2021, 14, 2503. [Google Scholar] [CrossRef]
- Sista, K.S.; Dwarapudi, S.; Kumar, D.; Sinha, G.R.; Moon, A.P. Carbonyl iron powders as absorption material for microwave interference shielding: A review. J. Alloys Compd. 2021, 853, 157251. [Google Scholar] [CrossRef]
- Eshgarf, H.; Ahmadi Nadooshan, A.; Raisi, A. An overview on properties and applications of magnetorheological fluids: Dampers, batteries, valves and brakes. J. Energy Storage 2022, 50, 104648. [Google Scholar] [CrossRef]
- Musialek, K.; Musialek, I.; Osowski, K.; Olszak, A.; Mikulska, A.; Kesy, Z.; Kesy, A.; Choi, S.B. A New Type of Hydraulic Clutch with Magnetorheological Fluid: Theory and Experiment. Micromachines 2024, 15, 572. [Google Scholar] [CrossRef]
- Bica, I.; Anitas, E.; Averis, L.; Bunoiu, M. Magnetodielectric effects in composite materials based on paraffin, carbonyl iron and graphene. J. Ind. Eng. Chem. 2015, 21, 1323–1327. [Google Scholar] [CrossRef]
- Kang, S.S.; Choi, K.; Nam, J.D.; Choi, H.J. Magnetorheological Elastomers: Fabrication, Characteristics, and Applications. Materials 2020, 13, 4597. [Google Scholar] [CrossRef] [PubMed]
- Fei, C.; Haopeng, L.; Mengmeng, H.; Zuzhi, T.; Aimin, L. Preparation of magnetorheological fluid with excellent sedimentation stability. Mater. Manuf. Process. 2020, 35, 1077–1083. [Google Scholar] [CrossRef]
- Prajapati, H.; Shahanand, J.; Nimkar, H.; Lakdawala, A. Methods for sedimentation study of magnetorheological fluids. Mater. Today Proc. 2020, 28, 40–44. [Google Scholar] [CrossRef]
- Marikkar, J.; Yanty, N. Effect of Chemical and Enzymatic Modifications on the Identity Characteristics of Lard: A Review. Int. J. Food Prop. 2014, 17, 321–330. [Google Scholar] [CrossRef]
- Zhang, L.; Zhang, K.; Yang, H.; Yue, K.; Liu, R.; Bi, Y.; Ma, C. Characterization of lard from different adipose tissues: Physicochemical properties, thermodynamics characteristics and crystallization behaviors. J. Food Compos. Anal. 2023, 115, 105021. [Google Scholar] [CrossRef]
- Alipal, J.; Mohd Pu’ad, N.; Lee, T.; Nayan, N.; Sahari, N.; Basri, H.; Idris, M.; Abdullah, H. A review of gelatin: Properties, sources, process, applications, and commercialisation. Mater. Today Proc. 2021, 42, 240–250. [Google Scholar] [CrossRef]
- Janchiva, A.; Ohb, Y.; Choic, S. High quality biodiesel production from pork lard by high solvent additive. ScienceAsia 2012, 38, 95–101. [Google Scholar] [CrossRef]
- Liu, S.; Ye, T.T.; Liu, X.; Wang, Z.C.; Chen, D.W. Pork phospholipids influence the generation of lipid-derived lard odorants in dry rendering process. LWT 2021, 152, 112284. [Google Scholar] [CrossRef]
- Koontanatechanon, A.; Wongphatcharachai, M.; Nonthabenjawan, N.; Jariyahatthakij, P.; Khorporn, T.; Parnsen, W.; Keattisin, B.; Leksrisompong, P.; Srichana, P.; Prasopdee, S.; et al. Effects of Omega-3-Rich Pork Lard on Serum Lipid Profile and Gut Microbiome in C57BL/6NJ Mice. Int. J. Food Sci. 2022, 2022, 9269968. [Google Scholar] [CrossRef]
- Becker, L.C.; Bergfeld, W.F.; Belsito, D.V.; Hill, R.A.; Klaassen, C.D.; Liebler, D.C.; Marks, J.G.; Shank, R.C.; Slaga, T.J.; Snyder, P.W.; et al. Lard and Lard-Derived Ingredients. Int. J. Toxicol. 2023, 42, 58S–60S. [Google Scholar] [CrossRef]
- Julie Chandra, C.S.; Sasi, S.; Bindu Sharmila, T.K. Material Applications of Gelatin. In Handbook of Biopolymers; Thomas, S., AR, A., Jose Chirayil, C., Thomas, B., Eds.; Springer: Singapore, 2023; pp. 749–782. [Google Scholar] [CrossRef]
- Iacobescu, G.E.; Bica, I.; Chirigiu, L.M.E. Physical Mechanisms of Magnetic Field Effects on the Dielectric Function of Hybrid Magnetorheological Suspensions. Materials 2021, 14, 6498. [Google Scholar] [CrossRef] [PubMed]
- Kalina, K.A.; Metsch, P.; Brummund, J.; Kästner, M. A macroscopic model for magnetorheological elastomers based on microscopic simulations. Int. J. Solids Struct. 2020, 193–194, 200–212. [Google Scholar] [CrossRef]
- Calderon, O.G.; Melle, S. Dynamics of simple magnetorheological suspensions under rotating magnetic fields with modulated Mason number. J. Phys. D Appl. Phys. 2002, 35, 2492. [Google Scholar] [CrossRef][Green Version]
- Osial, M.; Pregowska, A.; Warczak, M.; Giersig, M. Magnetorheological fluids: A concise review of composition, physicochemical properties, and models. J. Intell. Mater. Syst. Struct. 2023, 34, 1864–1884. [Google Scholar] [CrossRef]
- Genç, S. Synthesis and Properties of Magnetorheological (MR) Fluids. Ph.D. Thesis, University of Pittsburg, Pittsburg, PA, USA, 2002. Available online: http://d-scholarship.pitt.edu/8924/1/genc12-20.pdf (accessed on 10 May 2024).
- Bica, I.; Anitas, E.M.; Lu, Q.; Choi, H.J. Effect of magnetic field intensity and γ-Fe2O3 nanoparticle additive on electrical conductivity and viscosity of magnetorheological carbonyl iron suspension-based membranes. Smart Mater. Struct. 2018, 27, 095021. [Google Scholar] [CrossRef]
- Bica, I.; Anitas, E. Magnetic flux density effect on electrical properties and visco-elastic state of magnetoactive tissues. Compos. Part B 2019, 159, 13–19. [Google Scholar] [CrossRef]
- Ji, D.; Luo, Y.; Ren, H.; Wei, D.; Shao, J. Numerical Simulation and Experimental Analysis of Microstructure of Magnetorheological Fluid. J. Nanomater. 2019, 2019, 6312606. [Google Scholar] [CrossRef]
- Domínguez-García, P.; Melle, S.; Pastor, J.M.; Rubio, M.A. Scaling in the aggregation dynamics of a magnetorheological fluid. Phys. Rev. E 2007, 76, 051403. [Google Scholar] [CrossRef] [PubMed]
- Stejskal, J.; Sapurina, I.; Vilčáková, J.; Plachý, T.; Sedlačík, M.; Bubulinca, C.; Gořalík, M.; Trchová, M.; Kolská, Z.; Prokeš, J. Conducting and Magnetic Composites Polypyrrole Nanotubes/Magnetite Nanoparticles: Application in Magnetorheology. ACS Appl. Nano Mater. 2021, 4, 2247–2256. [Google Scholar] [CrossRef]
- Munteanu, A.; Plachý, T.; Munteanu, L.; Ngwabebhoh, F.A.; Stejskal, J.; Trchová, M.; Kubík, M.; Sedlačík, M. Bidisperse magnetorheological fluids utilizing composite polypyrrole nanotubes/magnetite nanoparticles and carbonyl iron microspheres. Rheol. Acta 2023, 62, 461–472. [Google Scholar] [CrossRef]
- Jurca, M.; Vilcakova, J.; Kazantseva, N.E.; Munteanu, A.; Munteanu, L.; Sedlacik, M.; Stejskal, J.; Trchova, M.; Prokes, J. Conducting and Magnetic Hybrid Polypyrrole/Nickel Composites and Their Application in Magnetorheology. Materials 2024, 17, 151. [Google Scholar] [CrossRef]
- Djatna, S.T.; Tedja, I.T.; Fauzi, A.M. Application of Electrical Properties to Differentiate Lard from Tallow and Palm Oil. J. Anim. Sci. Technol. 2013, 10, 32–39. [Google Scholar] [CrossRef]
- Gadhave, R.V. Improving the performance of gelatine glue using biocompatible polymers. Polym. Bull. 2024, 81, 8177–8193. [Google Scholar] [CrossRef]
- Bica, I. Influence of magnetic field upon the electric capacity of a flat capacitor having magnetorheological elastomer as a dielectric. J. Ind. Eng. Chem. 2009, 15, 605–609. [Google Scholar] [CrossRef]
- Rather, J.A.; Akhter, N.; Ashraf, Q.S.; Mir, S.A.; Makroo, H.A.; Majid, D.; Barba, F.J.; Khaneghah, A.M.; Dar, B. A comprehensive review on gelatin: Understanding impact of the sources, extraction methods, and modifications on potential packaging applications. Food Packag. Shelf Life 2022, 34, 100945. [Google Scholar] [CrossRef]











| (g/) | (×) | D () | ||
|---|---|---|---|---|
| Lard | 0.8845 | 25.1483 | 8.09291 | 3.21807 |
| GP | 0.9200 | 22.9860 | 5.091925 | 2.21523 |
| CI | 7.8600 | 39.339 | 2.515722 | 0.63949 |
| () | () | () | (vol.%) | (vol.%) | (vol.%) | |
|---|---|---|---|---|---|---|
| 3.6 | 0.4 | 0.0 | 90 | 10 | 0 | |
| 3.2 | 0.4 | 0.4 | 80 | 10 | 10 | |
| 2.8 | 0.4 | 0.8 | 70 | 10 | 20 |
Disclaimer/Publisher’s Note: The statements, opinions and data contained in all publications are solely those of the individual author(s) and contributor(s) and not of MDPI and/or the editor(s). MDPI and/or the editor(s) disclaim responsibility for any injury to people or property resulting from any ideas, methods, instructions or products referred to in the content. |
© 2024 by the authors. Licensee MDPI, Basel, Switzerland. This article is an open access article distributed under the terms and conditions of the Creative Commons Attribution (CC BY) license (https://creativecommons.org/licenses/by/4.0/).
Share and Cite
Bunoiu, O.M.; Bica, I.; Anitas, E.M.; Chirigiu, L.M.E. Magnetodielectric and Rheological Effects in Magnetorheological Suspensions Based on Lard, Gelatin and Carbonyl Iron Microparticles. Materials 2024, 17, 3941. https://doi.org/10.3390/ma17163941
Bunoiu OM, Bica I, Anitas EM, Chirigiu LME. Magnetodielectric and Rheological Effects in Magnetorheological Suspensions Based on Lard, Gelatin and Carbonyl Iron Microparticles. Materials. 2024; 17(16):3941. https://doi.org/10.3390/ma17163941
Chicago/Turabian StyleBunoiu, Octavian Madalin, Ioan Bica, Eugen Mircea Anitas, and Larisa Marina Elisabeth Chirigiu. 2024. "Magnetodielectric and Rheological Effects in Magnetorheological Suspensions Based on Lard, Gelatin and Carbonyl Iron Microparticles" Materials 17, no. 16: 3941. https://doi.org/10.3390/ma17163941
APA StyleBunoiu, O. M., Bica, I., Anitas, E. M., & Chirigiu, L. M. E. (2024). Magnetodielectric and Rheological Effects in Magnetorheological Suspensions Based on Lard, Gelatin and Carbonyl Iron Microparticles. Materials, 17(16), 3941. https://doi.org/10.3390/ma17163941

