Experimental Investigations and Constitutive Modeling of the Dynamic Recrystallization Behavior of a Novel GH4720Li Superalloys with Yttrium Micro-Alloying
Abstract
1. Introduction
2. Materials and Methods
3. Results and Discussion
3.1. Rheological Behavior and Microstructural Evolution of the Novel GH4720Li Superalloys
3.1.1. Rheological Behavior of Alloys
3.1.2. Influence of Deformation Parameters on Flow Stresses in Alloys
3.1.3. Effect of Strain Rate and Temperature on Alloy Microstructure
3.2. Analysis of the Intrinsic Behavior of Alloys
3.3. Critical Strain Model for DRX
3.3.1. Critical Strain Model for DRX
3.3.2. DRX Volume Fraction Models
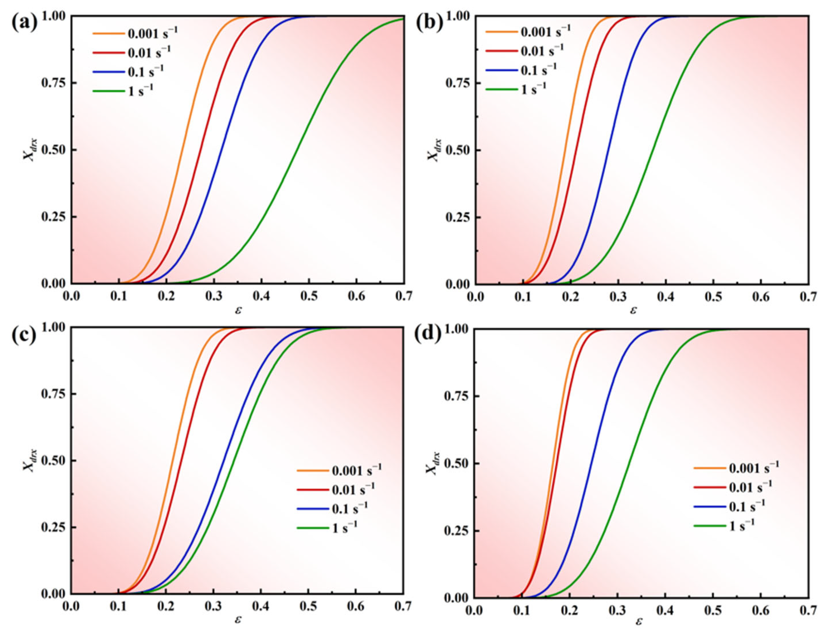
3.3.3. Influence of Deformation Amount on the DRX of Alloys
4. Conclusions
- During the hot compression process of the novel GH4720Li alloy, dislocations proliferate and accumulate with increasing strain. When the strain reaches the critical value, DRX occurs. The critical strain is influenced by the deformation temperature, strain rate, and microstructure, reflecting the difficulty of DRX. According to the Sellars model, the critical strain model for the novel GH4720Li alloy during hot deformation is obtained:
- 2.
- The DRX volume fraction reflects the extent of the DRX process, determining the final mechanical properties. It can be calculated using the JMAK model for the GH4720Li alloy as follows:
- 3.
- Contrastive analysis of the experimental results and the theoretical results proved that the DRX model of a novel GH4720Li superalloy established through calculation is feasible. During the compression of the novel GH4720Li superalloy, DRX initiates when the dislocation density in a specific region surpasses a critical threshold. Concurrently, dislocation accumulation near the grain boundaries exceeds that within the grains themselves, highlighting that newly formed DRXed grains primarily emerge along the deformed grain boundaries.
Author Contributions
Funding
Institutional Review Board Statement
Informed Consent Statement
Data Availability Statement
Conflicts of Interest
References
- Zhu, T.; Cai, M.; Gong, Y.D.; Gao, X.J.; Yu, N.; Gong, Q. Research Progress of Eco-Friendly Grinding Technology for Aviation Nickel-Based Superalloys. Int. J. Adv. Manuf. Technol. 2023, 126, 2863–2886. [Google Scholar] [CrossRef]
- Xu, Z.; Li, G.; Zhou, Y.; Guo, C.; Huang, Y.H.; Hu, X.G.; Li, X.G.; Zhu, Q. Tension-Compression Asymmetry of Nickel-Based Superalloys: A Focused Review. J. Alloys Compd. 2023, 945, 169313. [Google Scholar] [CrossRef]
- Luo, C.; Yuan, H. Anisotropic Thermomechanical Fatigue of a Nickel-Base Single-Crystal Superalloy Part I: Effects of Crystal Orientations and Damage Mechanisms. Int. J. Fatigue 2023, 168, 107438. [Google Scholar] [CrossRef]
- An, X.L.; Zhang, B.; Chu, C.L.; Zhou, L.; Chu, P.K. Evolution of Microstructures and Properties of the GH4169 Superalloy During Short-Term and High-Temperature Processing. Mater. Sci. Eng. A 2019, 744, 255–266. [Google Scholar] [CrossRef]
- Huang, R.S.; Sun, Y.A.; Xing, L.L.; Song, G.L.; Liu, W.; Li, Q.L. Effect of Gradient Microstructure Pinned by δ Phase on Elevated Temperature Performances of GH4169. Mater. Sci. Eng. A 2020, 774, 138913. [Google Scholar] [CrossRef]
- Ran, Q.; Xiang, S.; Tan, Y.B. Improving Mechanical Properties of GH4169 Alloys by Reversing the Deformation and Aging Sequence. Adv. Eng. Mater. 2021, 23, 2100386. [Google Scholar] [CrossRef]
- Behera, A.; Sahoo, A.K.; Mahapatra, S.S. Application of Ni-based Superalloy in Aero Turbine Blade: A Review. Part E J. Process Mech. Eng. 2023, 09544089231219104. [Google Scholar] [CrossRef]
- Zhang, H.J.; Li, Y.; Ma, T.F.; Chang, T.X.; Zhang, P.; Fang, X.W.; Huang, K. Tailoring of Nanoscale γ’ Precipitates and Unveiling Their Strengthening Mechanisms in Multimodal Nickel-Based Superalloy GH4720Li. Mater. Charact. 2022, 188, 111918. [Google Scholar] [CrossRef]
- He, H.; Liao, J.; Xuan, Y.X.; Liu, Y.X.; Liu, H.Y.; Zhang, W.K.; Gui, Z.H.; Li, M.J.; Wang, X.M. Precipitation Behavior of γ′ Phase with a Multi-Model Morphology in the Ni-Based Superalloy GH4720Li During Water Quenching and Subsequent Artificial Aging and Related Mechanisms. Mater. Chem. Phys. 2024, 318, 129214. [Google Scholar] [CrossRef]
- Dong, R.F.; Li, J.; Chen, Z.S.; Zhang, W.; Zhou, X. Effect of Deformation Degree on Microstructure and Properties of Ni-Based Alloy Forgings. Metals 2024, 14, 340. [Google Scholar] [CrossRef]
- Ruzic, J.; Goto, K.; Watanabe, I.; Osada, T.; Wu, L.; Ohmura, T. Temperature-Dependent Deformation Behavior of γ and γ′ Single-Phase Nickel-Based Superalloys. Mater. Sci. Eng. A 2021, 818, 141439. [Google Scholar] [CrossRef]
- Shokry, A.; Gowid, S.; Kharmanda, G. An Improved Generic Johnson-Cook Model for the Flow Prediction of Different Categories of Alloys at Elevated Temperatures and Dynamic Loading Conditions. Mater. Today Commun. 2021, 27, 102296. [Google Scholar] [CrossRef]
- Chen, J.; Zhang, H.F.; Zhang, Y.L.; Zhang, H.T.; Yang, Q.X.; Ye, L.H. Investigation on Mechanical Properties of GH4720Li at High Strain Rates at Wider Temperature Range. Int. J. Photoenergy 2021, 2021, 8839411. [Google Scholar] [CrossRef]
- Jia, L.; Cui, H.; Yang, S.F.; Lv, S.M.; Xie, X.F.; Qu, J.L. Hot Deformation Behavior and Flow Stress Modeling of Coarse-Grain Nickel-Base GH4151 Superalloy Ingot Materials in Cogging. J. Mater Res. Technol. 2023, 26, 6652–6671. [Google Scholar] [CrossRef]
- Zhang, H.K.; Li, Y.; Ma, H.C.; Zhang, P.; Ma, T.F.; Huang, K. A novel Short-Process Manufacturing Method of γ′-Strengthened Superalloy: Modulation of Nano-Scaled γ′ Precipitates during Hot Deformation. Mater. Sci. Eng. A 2022, 846, 143257. [Google Scholar] [CrossRef]
- Páramo-Kañetas, P.J.; Orozco-Mendoza, E.A.; Calvo, J.; Cabrera-Marrero, J.; Zamora-Antuñano, M.A.; Guerrero-Mata, M.P. Microstructural Analysis of a Partially Recrystallized Nickel-Based Superalloy Undergoing Delta-Processing. J. Alloys Compd. 2022, 907, 164403. [Google Scholar] [CrossRef]
- Momeni, A.; Ebrahimi, G.R.; Jahazi, M.; Ezatpour, H.R. Microstructure Characterization and Dynamic Recrystallization Behavior of Ni–Cu Alloy During Hot Deformation. Mech. Mater. 2024, 193, 105002. [Google Scholar] [CrossRef]
- Zhang, C.; Tang, X.L.; Zhang, L.W.; Yan, C. Cellular Automaton Modeling of Dynamic Recrystallization of Ni-Cr-Mo-Based C276 Superalloy During Hot Compression. J. Mater. Res. 2019, 34, 3093–3103. [Google Scholar] [CrossRef]
- Wang, Z.; Xu, X.W.; Zhang, B. Hot Compression Deformation Behavior of Biomedical Ni-Ti alloy. Rare Metals 2019, 38, 609–619. [Google Scholar] [CrossRef]
- Sun, B.; Zhang, T.B.; Song, L. Flow Behavior and Dynamic Recrystallization of a Power Metallurgy Nickel-based Superalloy During Hot Compression in (γ + γ′)-Phase Region. J. Alloys Compd. 2022, 891, 161944. [Google Scholar] [CrossRef]
- Hu, W.Q.; Huang, Z.Y.; Yu, Q.; Wang, Y.B.; Jiao, Y.D.; Zhou, Y.; Zhai, H.X. Investigation on High Temperature Mechanical Behaviors of TiC-γ′ Reinforced Ni Composite. Met. Mater. Int. 2021, 27, 3003–3012. [Google Scholar] [CrossRef]
- Jiao, Y.D.; Huang, Z.Y.; Hu, W.Q.; Li, X.; Yu, Q.; Wang, Y.B.; Zhou, Y.; Dastan, D. In-Situ Hybrid Cr3C2 and γ′-Ni3 (Al, Cr) Strengthened Ni Matrix Composites: Microstructure and Enhanced Properties. Mater. Sci. Eng. A 2021, 820, 141524. [Google Scholar] [CrossRef]
- Chen, X.M.; Nie, L.Y.; Hu, H.W.; Lin, Y.C.; Zhang, J.; Zhou, X.J.; Lu, X.Z.; Chen, J.; Liu, Y.X. Investigation on the Fracture Mechanism and Constitutive relations of a Typical Ni-Based Superalloy. Mater. Today Commun. 2023, 35, 105612. [Google Scholar] [CrossRef]
- Wang, K.M.; Jing, H.Y.; Xu, L.Y.; Han, Y.D.; Zhao, L.; Xiao, B.; Yang, S.Q. A Piecewise Constitutive Model, Microstructure and Fracture Mechanism of a Nickel-Based Superalloy 750H During High-Temperature Tensile Deformation. J. Mater. Sci. 2019, 54, 9775–9796. [Google Scholar] [CrossRef]
- Zhang, B.; Wang, R.Q.; Hu, D.Y.; Jiang, K.H.; Hao, X.Y.; Mao, J.X.; Jing, F.L. Constitutive Modelling of Ratcheting Behaviour for Nickel-Based Single Crystal Superalloy under Thermomechanical Fatigue Loading Considering Microstructure Evolution. Int. J. Fatigue 2020, 139, 105786. [Google Scholar] [CrossRef]
- Kareem, S.A.; Anaele, J.U.; Aikulola, E.O.; Olanrewaju, O.F.; Omiyale, B.O.; Bodunrin, M.O.; Alaneme, K.K. Hot Deformation Behaviour, Constitutive Model Description, and Processing Map Analysis of Superalloys: An Overview of Nascent Developments. J. Mater. Res. Technol. 2023, 26, 8624–8669. [Google Scholar] [CrossRef]
- Thornton, E.L.; Zannoun, H.; Vomero, C.; Caudill, D.; Schoop, J. A Review of Constitutive Models and Thermal Properties for Nickel-Based Superalloys Across Machining-Specific Regimes. J. Manuf. Sci. Eng. 2023, 145, 080801. [Google Scholar] [CrossRef]
- Chaudhary, S.; Guruprasad, P.J.; Patra, A. Crystal plasticity constitutive modeling of tensile, creep and cyclic deformation in single crystal Ni-based superalloys. Mech. Mater. 2022, 174, 104474. [Google Scholar] [CrossRef]
- He, G.A.; Liu, F.; Si, J.Y.; Yang, C.; Jiang, L. Characterization of Hot Compression Behavior of a New HIPed Nickel-Based P/M Superalloy Using Processing Maps. Mater. Design 2015, 87, 256–265. [Google Scholar] [CrossRef]
- Shen, J.Y.; Hu, L.X.; Sun, Y.; Feng, X.Y.; Fang, A.W.; Wan, Z.P. Hot Deformation Behaviors and Three-Dimensional Processing Map of a Nickel-Based Superalloy with Initial Dendrite Microstructure. J. Alloys Compd. 2020, 822, 153735. [Google Scholar] [CrossRef]
- Lypchanskyi, O.; Śleboda, T.; Zyguła, K.; Łukaszek-Sołek, A.; Wojtaszek, M. Evaluation of Hot Workability of Nickel-based Superalloy Using Activation energy Map and Processing Maps. Materials 2020, 13, 3629. [Google Scholar] [CrossRef]
- Feng, X.Y.; Hu, L.X.; Sun, Y. Optimization of the Hot Working Parameters of a Nickel-Based Superalloy Using a Constitutive-Dynamic Recrystallization Model and Three-Dimensional Processing Map. J. Mater. Sci. 2021, 56, 15441–15462. [Google Scholar] [CrossRef]
- Tang, X.F.; Wang, B.Y.; Huo, Y.M.; Ma, W.Y.; Zhou, J.; Ji, H.C.; Fu, X.B. Unified Modeling of Flow Behavior and Mcrostructure Evolution in Hot Forming of a Ni-based Superalloy. Mater. Sci. Eng. A 2016, 662, 54–64. [Google Scholar] [CrossRef]
- Zouari, M.; Bozzolo, N.; Loge, R.E. Mean Field Modelling of Dynamic and Post-Dynamic Recrystallization During Hot Deformation of Inconel 718 In the Absence of δ Phase Particles. Mater. Sci. Eng. A 2016, 655, 408–424. [Google Scholar] [CrossRef]
- Khan, A.M.; Bakar, N.K.A.; Bakar, A.F.A.; Ashraf, M.A. Chemical Speciation and Bioavailability of Rare Earth Elements (REEs) in the Ecosystem: A review. Environ. Sci. Pollut. Res. 2017, 24, 22764–22789. [Google Scholar] [CrossRef] [PubMed]
- Cao, S.T.; Yang, Y.Q.; Chen, B.; Liu, K.; Ma, Y.C.; Ding, L.L.; Shi, J.J. Influence of Yttrium on Purification and Carbide Precipitation of Superalloy K4169. J. Mater. Sci. Technol. 2021, 86, 260–270. [Google Scholar] [CrossRef]
- Palleda, T.N.; Chowdhury, H.T.; Banoth, S.; Murakami, H.; Kakehi, K. Effects of Yttrium Content on Solidification, Microstructure, and Mechanical Properties of Laser Powder Bed Fused IN718 superalloy. J. Alloys Compd. 2024, 978, 173404. [Google Scholar] [CrossRef]
- Guimarães, A.V.; da Silveira, R.M.S.; Jaffrezou, N.; Mendes, M.C.; dos Santos, D.S.; de Almeida, L.H.; Araujo, L.S. Influence of Yttrium Alloying on Improving the Resistance to Hydrogen Embrittlement of Superalloy 718. Int. J. Hydrogen Energy 2024, 58, 479–484. [Google Scholar] [CrossRef]
- Palleda, T.N.; Banoth, S.; Tanaka, M.; Murakami, H.; Kakehi, K. The Role of Yttrium Micro-Alloying on Microstructure Evolution and High-Temperature Mechanical Properties of Additively Manufactured Inconel 718. Mater. Design 2023, 225, 111567. [Google Scholar] [CrossRef]
- Liu, Y.X.; Lin, Y.C.; Li, H.B.; Wen, D.X.; Chen, X.M.; Chen, M.S. Study of Dynamic Recrystallization in a Ni-Based Superalloy by Experiments and Cellular Automaton Model. Mater. Sci. Eng. A 2015, 626, 432–440. [Google Scholar] [CrossRef]
- Kumar, S.S.S.; Raghu, T.; Bhattacharjee, P.P.; Rao, G.A.; Borah, U. Strain Rate Dependent Microstructural Evolution During Hot Deformation of a Hot Isostatically Processed Nickel Base Superalloy. J. Alloys Compd. 2016, 681, 28–42. [Google Scholar] [CrossRef]
- Chu, C.H.; Guo, Q.Y.; Guan, Y.; Qiao, Z.X.; Liu, Y.C. Deformation Mechanisms of a γʹ Phase Strengthened CoNi-based Superalloy at High Temperatures. Mater. Sci. Eng. A 2022, 833, 142587. [Google Scholar] [CrossRef]
- Sellars, C.M.; Mctegart, W.J. On the Mechanism of Hot Deformation. Acta Metall. 1966, 14, 1136–1138. [Google Scholar] [CrossRef]
- Bystrzanowski, S.; Bartels, A.; Clemens, H.; Gerling, R. Characteristics of the Tensile Flow Behavior of Ti-46Al-9Nb Sheet Material–Analysis of Thermally Activated Processes of Plastic Deformation. Intermetallics 2008, 16, 717–726. [Google Scholar] [CrossRef]
- Meng, Q.G.; Bai, C.G.; Xu, D.S. Flow Behavior and Processing Map for Hot Deformation of ATI425 Titanium Alloy. J. Mater. Sci. Technol. 2018, 34, 679–688. [Google Scholar]
- Ning, Y.Q.; Wang, T.; Fu, M.W.; Li, M.Z.; Wang, L.; Zhao, C.D. Competition Between Work-Hardening Effect and Dynamic-Softening Behavior for Processing As-cast GH4720Li Superalloys with Original Dendrite Microstructure During Moderate-Speed Hot Compression. Mater. Sci. Eng. A 2015, 642, 187–193. [Google Scholar] [CrossRef]
- Poliak, E.I.; Jonas, J.J. A One-Parameter Approach to Determining the Critical Conditions for The Initiation of Dynamic Recrystallization. Acta Mater. 1996, 44, 127–136. [Google Scholar] [CrossRef]
- Sellars, C.M. Modelling microstructural development during hot rolling. Mater. Sci. Technol. 1990, 6, 1072–1081. [Google Scholar] [CrossRef]
- Quan, G.Z.; Luo, G.C.; Liang, J.T.; Wu, D.S.; Mao, A.; Liu, Q. Modelling for the Dynamic Recrystallization Evolution of Ti-6Al-4V Alloy in Two-Phase Temperature Range and a Wide Strain Rate Range. Comp. Mater. Sci. 2015, 97, 136–147. [Google Scholar] [CrossRef]















| C | B | Co | Cr | Mo | Al | Ti | W | Y | Ni |
|---|---|---|---|---|---|---|---|---|---|
| 0.02 | 0.012 | 14.11 | 16.0 | 3.01 | 2.50 | 5.03 | 1.25 | 0.34 | Bal. |
Disclaimer/Publisher’s Note: The statements, opinions and data contained in all publications are solely those of the individual author(s) and contributor(s) and not of MDPI and/or the editor(s). MDPI and/or the editor(s) disclaim responsibility for any injury to people or property resulting from any ideas, methods, instructions or products referred to in the content. |
© 2024 by the authors. Licensee MDPI, Basel, Switzerland. This article is an open access article distributed under the terms and conditions of the Creative Commons Attribution (CC BY) license (https://creativecommons.org/licenses/by/4.0/).
Share and Cite
Yan, Z.; Hu, J.; Sun, S. Experimental Investigations and Constitutive Modeling of the Dynamic Recrystallization Behavior of a Novel GH4720Li Superalloys with Yttrium Micro-Alloying. Materials 2024, 17, 3840. https://doi.org/10.3390/ma17153840
Yan Z, Hu J, Sun S. Experimental Investigations and Constitutive Modeling of the Dynamic Recrystallization Behavior of a Novel GH4720Li Superalloys with Yttrium Micro-Alloying. Materials. 2024; 17(15):3840. https://doi.org/10.3390/ma17153840
Chicago/Turabian StyleYan, Zehua, Jiahui Hu, and Shouxue Sun. 2024. "Experimental Investigations and Constitutive Modeling of the Dynamic Recrystallization Behavior of a Novel GH4720Li Superalloys with Yttrium Micro-Alloying" Materials 17, no. 15: 3840. https://doi.org/10.3390/ma17153840
APA StyleYan, Z., Hu, J., & Sun, S. (2024). Experimental Investigations and Constitutive Modeling of the Dynamic Recrystallization Behavior of a Novel GH4720Li Superalloys with Yttrium Micro-Alloying. Materials, 17(15), 3840. https://doi.org/10.3390/ma17153840

