Mechanical Properties of Eco-Friendly, Lightweight Flax and Hybrid Basalt/Flax Foam Core Sandwich Panels
Abstract
1. Introduction
1.1. Natural Fibre Reinforced Bio-Sandwich Skin
| Type of Fibres | Tensile Strength (MPa) | Young’s Modulus (GPa) | Density (g/cm3) | Ultimate Elongation at Break (%) |
|---|---|---|---|---|
| Jute | 200–770 | 27 | 1.3–1.5 | 1.5–3.0 |
| Flax | 345–1040 | 28–80 | 1.4–1.5 | 1.2–3.2 |
| Basalt | 4100–4840 | 89–110 | 2.7 | 3.2 |
| Hemp | 690 | 30–70 | 1.3 | 1.5–4.0 |
| Synthetic Glass | 150–550 | 10 | 2.5 | 1.5–3.5 |
| E-Glass | 2000–3500 | 70–73 | 2.5–2.55 | 2.5–3.7 |
| Carbon | 3400–4800 | 230–240 | 1.4–1.8 | 1.4–1.8 |
1.2. Environmentally Friendly Cores
1.3. Bio-Sandwich Structure
2. Materials and Methods
2.1. Flax Sandwich Panel
2.2. Basalt/Flax Sandwich Panel
2.3. Mechanical Testing
- Long beam flexural test (four-point bending)
- Edgewise compression
- Core Shear (three-point bending)
3. Results
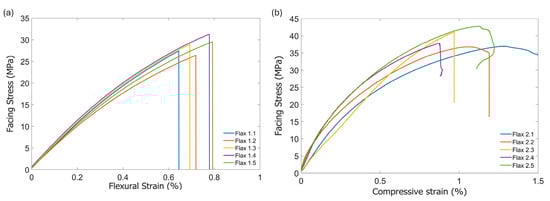
3.1. Mechanical Properties of Flax Sandwich Panel
3.2. Mechanical Properties of Basalt/Flax Sandwich Panel
4. Discussion
5. Conclusions
- Novel configurations of sandwich panels composed of PFA bio-resin skin and PET core were successfully manufactured using a hot press.
- The effective flexural moduli of nonwoven flax and woven basalt/flax were 5.1 and 9.8 GPa, respectively.
- The nonwoven flax bio-sandwich had a 40% larger flexural stiffness (69.98 ) than the woven basalt/flax construction (41.71 ). This resulted from the difference in skin thickness and adhesion of skin to the core.
- The most common failure mode of the nonwoven flax bio-sandwich panel was the tensile failure of the bottom skin. The basalt/flax sandwich construction failed due to the delamination between the skin and the core caused by insufficient bonding.
- The normalised flexural rigidity agrees well with the published data and shows a comparable structural performance.
- The potential applications of these bio-sandwich panels were identified as the automotive and aerospace sectors, for use, i.e., in interior parts, floor and ceiling. Bio-sandwich panels can also be used in the construction industry as lightweight cladding, facades, and partition walls.
- Manufacturing the prepreg with PFA resin presents some challenges. More research is needed to improve the bonding between skin and core in the basalt/flax bio-sandwich construction. This can be achieved by modifying the manufacturing conditions (i.e., venting the hot press) or through the application of an extra amount of resin to ensure full impregnation and remove dry spots.
Author Contributions
Funding
Institutional Review Board Statement
Informed Consent Statement
Data Availability Statement
Acknowledgments
Conflicts of Interest
References
- Oliveira, P.R.; May, M.; Panzera, T.H.; Hiermaier, S. Bio-based/green sandwich structures: A review. Thin-Walled Struct. 2022, 177, 109426. [Google Scholar] [CrossRef]
- Abdi, B.; Azwan, S.; Abdullah, M.R.; Ayob, A.; Yahya, Y.; Xin, L. Flatwise compression and flexural behavior of foam core and polymer pin-reinforced foam core composite sandwich panels. Int. J. Mech. Sci. 2014, 88, 138–144. [Google Scholar] [CrossRef]
- Bach, M.R.; Chalivendra, V.B.; Alves, C.; Depina, E. Mechanical characterization of natural biodegradable sandwich materials. J. Sandw. Struct. Mater. 2017, 19, 482–496. [Google Scholar] [CrossRef]
- Betts, D.; Sadeghian, P.; Fam, A. Experimental Behavior and Design-Oriented Analysis of Sandwich Beams with Bio-Based Composite Facings and Foam Cores. J. Compos. Constr. 2018, 22, 04018020. [Google Scholar] [CrossRef]
- Henao, A.; Carrera, M.; Miravete, A.; Castejón, L. Mechanical performance of through-thickness tufted sandwich structures. Compos. Struct. 2010, 92, 2052–2059. [Google Scholar] [CrossRef]
- Karaduman, Y.; Onal, L. Flexural behavior of commingled jute/polypropylene nonwoven fabric reinforced sandwich composites. Compos. B Eng. 2016, 93, 12–25. [Google Scholar] [CrossRef]
- McCracken, A.; Sadeghian, P. Corrugated cardboard core sandwich beams with bio-based flax fiber composite skins. J. Build. Eng. 2018, 20, 114–122. [Google Scholar] [CrossRef]
- Sadeghian, P.; Hristozov, D.; Wroblewski, L. Experimental and analytical behavior of sandwich composite beams: Comparison of natural and synthetic materials. J. Sandw. Struct. Mater. 2018, 20, 287–307. [Google Scholar] [CrossRef]
- Zhang, J.; Shen, Y.; Jiang, B.; Li, Y. Sound absorption characterization of natural materials and sandwich structure composites. Aerospace 2018, 5, 75. [Google Scholar] [CrossRef]
- Bakare, F.O.; Ramamoorthy, S.K.; Åkesson, D.; Skrifvars, M. Thermomechanical properties of bio-based composites made from a lactic acid thermoset resin and flax and flax/basalt fibre reinforcements. Compos. Part A Appl. Sci. Manuf. 2016, 83, 176–184. [Google Scholar] [CrossRef]
- Sanjay, M.R.; Arpitha, G.R.; Naik, L.L.; Gopalakrishna, K.; Yogesha, B. Applications of Natural Fibers and Its Composites: An Overview. Nat. Resour. 2016, 07, 108–114. [Google Scholar] [CrossRef]
- Ekundayo, G. Reviewing the Development of Natural Fiber Polymer Composite: A Case Study of Sisal and Jute. Am. J. Mech. Mater. Eng. 2019, 3, 1–10. [Google Scholar] [CrossRef]
- Zhu, J.; Zhu, H.; Njuguna, J.; Abhyankar, H. Recent development of flax fibres and their reinforced composites based on different polymeric matrices. Materials 2013, 6, 5171–5198. [Google Scholar] [CrossRef] [PubMed]
- Yan, L.; Chouw, N.; Jayaraman, K. Flax fibre and its composites—A review. Compos. B Eng. 2014, 56, 296–317. [Google Scholar] [CrossRef]
- Ho, M.P.; Wang, H.; Lee, J.H.; Ho, C.K.; Lau, K.T.; Leng, J.; Hui, D. Critical factors on manufacturing processes of natural fibre composites. Compos. B Eng. 2012, 43, 3549–3562. [Google Scholar] [CrossRef]
- O’Donnell, A.; Dweib, M.A.; Wool, R.P. Natural fiber composites with plant oil-based resin. Compos. Sci. Technol. 2004, 64, 1135–1145. [Google Scholar] [CrossRef]
- Habibi, M.; Laperrière, L.; Lebrun, G.; Toubal, L. Combining short flax fiber mats and unidirectional flax yarns for composite applications: Effect of short flax fibers on biaxial mechanical properties and damage behaviour. Compos. B Eng. 2017, 123, 165–178. [Google Scholar] [CrossRef]
- Atif, R.; Inam, F. Modeling and simulation of graphene-based polymer nanocomposites: Advances in the last decade Modeling and Simulation of Graphene Based Polymer Nanocomposites: Advances in the Last Decade. Graphene 2016, 05, 96–142. [Google Scholar] [CrossRef]
- Rasyid, M.F.A.; Salim, M.S.; Akil, H.M.; Ishak, Z.A.M. Optimization of Processing Conditions Via Response Surface Methodology (RSM) of Nonwoven Flax Fibre Reinforced Acrodur Biocomposites. Procedia Chem. 2016, 19, 469–476. [Google Scholar] [CrossRef]
- Dhand, V.; Mittal, G.; Rhee, K.Y.; Park, S.J.; Hui, D. A short review on basalt fiber reinforced polymer composites. Compos. B Eng. 2015, 73, 166–180. [Google Scholar] [CrossRef]
- Yousif, B.F.; Shalwan, A.; Chin, C.W.; Ming, K.C. Flexural properties of treated and untreated kenaf/epoxy composites. Mater. Des. 2012, 40, 378–385. [Google Scholar] [CrossRef]
- Odiyi, D.C.; Sharif, T.; Choudhry, R.S.; Mallik, S.; Shah, S.Z.H. A review of advancements in synthesis, manufacturing and properties of environment friendly biobased Polyfurfuryl Alcohol Resin and its Composites. Compos. B Eng. 2023, 267, 111034. [Google Scholar] [CrossRef]
- Faruk, O.; Bledzki, A.K.; Fink, H.P.; Sain, M. Biocomposites reinforced with natural fibers: 2000–2010. Prog. Polym. Sci. 2012, 37, 1552–1596. [Google Scholar] [CrossRef]
- Raquez, J.M.; Deléglise, M.; Lacrampe, M.F.; Krawczak, P. Thermosetting (bio)materials derived from renewable resources: A critical review. Prog. Polym. Sci. 2010, 35, 487–509. [Google Scholar] [CrossRef]
- Ahmad, E.E.M.; Luyt, A.S.; Djoković, V. Thermal and dynamic mechanical properties of bio-based poly (furfuryl alcohol)/sisal whiskers nanocomposites. Polym. Bull. 2013, 70, 1265–1276. [Google Scholar] [CrossRef]
- Nabi Saheb, D.; Jog, J.P. Natural fiber polymer composites: A review. Adv. Polym. Technol. 1999, 18, 351–363. [Google Scholar] [CrossRef]
- Pickering, K.L.; Efendy, M.G.A.; Le, T.M. A review of recent developments in natural fibre composites and their mechanical performance. Compos. Part. A Appl. Sci. Manuf. 2016, 83, 98–112. [Google Scholar] [CrossRef]
- Mohammed, L.; Ansari, M.N.M.; Pua, G.; Jawaid, M.; Islam, M.S. A Review on Natural Fiber Reinforced Polymer Composite and Its Applications. Int. J. Polym. Sci. 2015, 2015, 243947. [Google Scholar] [CrossRef]
- Ribeiro Filho, S.L.M.; Tonatto, M.L.P.; Hallak Panzera, T.; Remillat, C.D.L.; Scarpa, F. Multi-objective optimisation of aluminium skins and recycled/perforated PET foams sandwich panels subjected to impact loads. Structures 2022, 43, 1750–1765. [Google Scholar] [CrossRef]
- Susainathan, J.; Eyma, F.; De Luycker, E.; Cantarel, A.; Castanie, B. Experimental investigation of impact behavior of wood-based sandwich structures. Compos. Part A Appl. Sci. Manuf. 2018, 109, 10–19. [Google Scholar] [CrossRef]
- Kandare, E.; Luangtriratana, P.; Kandola, B.K. Fire reaction properties of flax/epoxy laminates and their balsa-core sandwich composites with or without fire protection. Compos. B Eng. 2014, 56, 602–610. [Google Scholar] [CrossRef]
- Kandare, E.; Khatibi, A.A.; Yoo, S.; Wang, R.; Ma, J.; Olivier, P.; Gleizes, N.; Wang, C.H. Composites: Part A Improving the through-thickness thermal and electrical conductivity of carbon fibre / epoxy laminates by exploiting synergy between graphene and silver nano-inclusions. Compos. Part A Appl. Sci. Manuf. 2015, 69, 72–82. [Google Scholar] [CrossRef]
- Monti, A.; El Mahi, A.; Jendli, Z.; Guillaumat, L. Experimental and finite elements analysis of the vibration behaviour of a bio-based composite sandwich beam. Compos. B Eng. 2017, 110, 466–475. [Google Scholar] [CrossRef]
- Fiore, V.; Scalici, T.; Calabrese, L.; Valenza, A.; Proverbio, E. Effect of external basalt layers on durability behaviour of flax reinforced composites. Compos. B Eng. 2016, 84, 258–265. [Google Scholar] [CrossRef]
- EcoTechnilin. Fibripreg Datasheet. 2023. Available online: https://Www.Agrobiobase.Com/En/Database/Bioproducts/Leisure-Sport/Fibripreg (accessed on 5 November 2023).
- Fathi, A.; Keller, J.H.; Altstaedt, V. Full-field shear analyses of sandwich core materials using Digital Image Correlation (DIC). Compos. B Eng. 2015, 70, 156–166. [Google Scholar] [CrossRef]
- ASTM D7249/D7249M-20; Standard Test Method for Facesheet Properties of Sandwich Constructions by Long Beam Flexure. ASTM International: West Conshohocken, PA, USA, 2020.
- ASTM D7250/D7250M; Standard Practice for Determining Sandwich Beam Flexural and Shear Stiffness. ASTM International: West Conshohocken, PA, USA, 2020.
- ASTM C364/C364M-16; Standard Test Method for Edgewise Compressive Strength of Sandwich Constructions. ASTM: West Conshohocken, PA, USA, 2016.
- ASTM C393/C393M-20; Standard Test Method for Core Shear Properties of Sandwich Constructions by Beam Flexure. ASTM: West Conshohocken, PA, USA, 2020.







| Specimen ID | Facing Stress (MPa) | Effective Facing Modulus (GPa) | Flexural Strain at Failure (%) | Failure Mode | |
|---|---|---|---|---|---|
| Flax 1.1 | 27.43 | 5.25 | 70.40 | 0.64 | Tensile skin failure |
| Flax 1.2 | 26.39 | 4.71 | 67.79 | 0.72 | Tensile skin failure |
| Flax 1.3 | 28.93 | 5.25 | 70.76 | 0.69 | Tensile skin failure |
| Flax 1.4 | 31.26 | 5.30 | 70.93 | 0.78 | Tensile skin failure |
| Flax 1.5 | 29.52 | 4.99 | 70.03 | 0.79 | Tensile skin failure |
| Average | 28.71 | 5.10 | 69.98 | 0.73 | |
| St.dev. | 1.89 | 0.25 | 1.27 | 0.06 |
| Specimen ID | Compressive Facing Strength (MPa) | Effective Facing Modulus (GPa) | Failure Mode |
|---|---|---|---|
| Flax 2.1 | 36.95 | 5.37 | Facing Sheet Compression/Buckling Failure |
| Flax 2.2 | 36.77 | 4.97 | Facing Sheet Compression |
| Flax 2.3 | 41.66 | 4.83 | Facing Sheet Compression |
| Flax 2.4 | 37.80 | 5.92 | Facing Sheet Compression |
| Flax 2.5 | 42.79 | 5.70 | Facing Sheet Compression |
| Average | 39.91 | 5.36 | |
| St.dev. | 2.82 | 0.46 |
| Specimen ID | Max Force (N) | Core Shear Ultimate Strength (GPa) | Failure Mode |
|---|---|---|---|
| Flax 3.1 | 1793.05 | 0.76 | Transverse Shear/Gage/Core |
| Flax 3.2 | 1891.17 | 0.81 | Multi-mode/Gage/Various |
| Flax 3.3 | 1935.18 | 0.84 | Multi-mode/Gage/Various |
| Flax 3.4 | 1843.91 | 0.80 | Multi-mode/Gage/Various |
| Flax 3.5 | 1685.43 | 0.72 | Transverse Shear/Gage/Core |
| Average | 1829.75 | 0.79 | |
| St.dev. | 96.52 | 0.05 |
| Specimen ID | Facing Stress (MPa) | Effective Facing Modulus (GPa) | Flexural Strain at Failure (%) | Failure Mode | |
|---|---|---|---|---|---|
| Basalt/Flax 4.1 | 28.77 | 8.83 | 36.93 | 0.31 | Compressive skin delamination |
| Basalt/Flax 4.2 | 41.11 | 10.65 | 45.48 | 0.36 | Compression |
| Basalt/Flax 4.3 | 38.92 | 10.14 | 44.48 | 0.36 | Compression |
| Basalt/Flax 4.4 | 30.88 | 9.20 | 39.47 | 0.32 | Tensile skin delamination |
| Basalt/Flax 4.5 | 35.37 | 9.96 | 42.17 | 0.33 | Compressive skin delamination |
| Average | 35.01 | 9.76 | 41.71 | 0.33 | |
| St.dev. | 5.21 | 0.73 | 3.53 | 0.02 |
| Specimen ID | Compressive Facing Strength (MPa) | Effective Facing Modulus (GPa) | Failure Mode |
|---|---|---|---|
| Basalt/Flax 5.1 | 21.83 | 7.11 | Facing Sheet Buckling |
| Basalt/Flax 5.2 | 27.84 | 17.60 | Facing Sheet Buckling |
| Basalt/Flax 5.3 | 15.18 | - | Facing Sheet Buckling |
| Basalt/Flax 5.4 | 28.53 | 13.25 | Facing Sheet Buckling |
| Basalt/Flax 5.5 | 9.27 | - | Facing Sheet Buckling |
| Average | 20.53 | 12.65 | |
| St.dev. | 8.29 | 5.27 |
| Specimen ID | Max Force (N) | Core Shear Ultimate Strength (GPa) | Failure Mode |
|---|---|---|---|
| Basalt/Flax 6.1 | 511.69 | 0.23 | Skin to core delamination/Gage/Core-Facing Bond (DGA) |
| Basalt/Flax 6.2 | 746.07 | 0.34 | DGA |
| Basalt/Flax 6.3 | 658.59 | 0.29 | DGA |
| Basalt/Flax 6.4 | 749.99 | 0.33 | DGA |
| Basalt/Flax 6.5 | 435.53 | 0.19 | DGA |
| Average | 620.37 | 0.28 | |
| St.dev. | 141.46 | 0.06 |
| Skin | Core | Flexural Rigidity (D/b) (Nmm) | Reference |
|---|---|---|---|
| Jute/PP (2 mm) | PET foam (20 mm) | [6] | |
| UD flax/vinyl ester (1 layer) | Cork (11 mm) | [8] | |
| UD flax/bio-epoxy (1 mm) | Corrugated cardboard (25 mm) | [7] | |
| White oak (1.59 mm) | Mushroom foam (25.4 mm) | [3] | |
| Woven Glass fibre (0.24 mm) | PUR foam (32.36 mm) | [5] | |
| Woven flax fibre (1.56 mm) | PIR foam (75 mm) | [4] | |
| Non-woven Flax/bio-resin (1.4 mm) | PET foam (14 mm) | Present work | |
| Woven basalt-flax/bio-resin (0.5 mm) | PET foam(14 mm) | Present work |
Disclaimer/Publisher’s Note: The statements, opinions and data contained in all publications are solely those of the individual author(s) and contributor(s) and not of MDPI and/or the editor(s). MDPI and/or the editor(s) disclaim responsibility for any injury to people or property resulting from any ideas, methods, instructions or products referred to in the content. |
© 2024 by the authors. Licensee MDPI, Basel, Switzerland. This article is an open access article distributed under the terms and conditions of the Creative Commons Attribution (CC BY) license (https://creativecommons.org/licenses/by/4.0/).
Share and Cite
Pawlik, M.; Gunputh, U.; Odiyi, D.; Odofin, S.; Le, H.; Wood, P.; Maligno, A.; Lu, Y. Mechanical Properties of Eco-Friendly, Lightweight Flax and Hybrid Basalt/Flax Foam Core Sandwich Panels. Materials 2024, 17, 3842. https://doi.org/10.3390/ma17153842
Pawlik M, Gunputh U, Odiyi D, Odofin S, Le H, Wood P, Maligno A, Lu Y. Mechanical Properties of Eco-Friendly, Lightweight Flax and Hybrid Basalt/Flax Foam Core Sandwich Panels. Materials. 2024; 17(15):3842. https://doi.org/10.3390/ma17153842
Chicago/Turabian StylePawlik, Marzena, Urvashi Gunputh, Daniel Odiyi, Sarah Odofin, Huirong Le, Paul Wood, Angelo Maligno, and Yiling Lu. 2024. "Mechanical Properties of Eco-Friendly, Lightweight Flax and Hybrid Basalt/Flax Foam Core Sandwich Panels" Materials 17, no. 15: 3842. https://doi.org/10.3390/ma17153842
APA StylePawlik, M., Gunputh, U., Odiyi, D., Odofin, S., Le, H., Wood, P., Maligno, A., & Lu, Y. (2024). Mechanical Properties of Eco-Friendly, Lightweight Flax and Hybrid Basalt/Flax Foam Core Sandwich Panels. Materials, 17(15), 3842. https://doi.org/10.3390/ma17153842

