Next Article in Journal
Conductometric H2S Sensors Based on TiO2 Nanoparticles
Next Article in Special Issue
Thermoelectric Characteristics of Permingeatite Compounds Double-Doped with Sn and S
Previous Article in Journal
A Split-Plot Experimentation Strategy for Making Causal Inferences in Advanced Materials: Auxetic Polyurethane Foam Manufacturing and Processing Analysis
Previous Article in Special Issue
Micro-/Meso-Structure Control of Multi-Hostmetal Alloys by Massive Nitrogen Supersaturation
 
 
Font Type:
Arial Georgia Verdana
Font Size:
Aa Aa Aa
Line Spacing:
Column Width:
Background:
Article

Phase Transitions and Thermoelectric Properties of Charge-Compensated ZnxCu12−xSb4Se13

Department of Materials Science and Engineering, College of Engineering, Korea National University of Transportation, Chungju 27469, Republic of Korea
*
Author to whom correspondence should be addressed.
Materials 2024, 17(13), 3282; https://doi.org/10.3390/ma17133282
Submission received: 10 June 2024 / Revised: 28 June 2024 / Accepted: 2 July 2024 / Published: 3 July 2024

Abstract

In this study, we investigated the phase transitions and thermoelectric properties of charge-compensated hakite (ZnxCu12−xSb4Se13) as a function of Zn content. Based on X-ray diffraction and a differential scanning calorimetric phase analysis, secondary phases (permingeatite and bytizite) transformed into hakite depending on the Zn content, while Zn2Cu10Sb4Se13 existed solely as hakite. Nondegenerate semiconductor behavior was observed, exhibiting increasing electrical conductivity with a rising temperature. With an increase in Zn content, the presence of mixed phases of hakite and permingeatite led to enhanced electrical conductivity. However, Zn2Cu10Sb4Se13 with a single hakite phase exhibited the lowest electrical conductivity. The Seebeck coefficient exhibited positive values, indicating that even after charge compensation (electron supply) by Zn, p-type semiconductor characteristics were maintained. With the occurrence of an intrinsic transition within the measured temperature range, the Seebeck coefficient decreased as the temperature increased; at a certain temperature, Zn2Cu10Sb4Se13 exhibited the highest value. Thermal conductivity showed a low temperature dependence, obtaining low values below 0.65 Wm−1K−1. A power factor of 0.22 mWm−1K−2 and dimensionless figure of merit of 0.31 were achieved at 623 K for ZnCu11Sb4Se13.

1. Introduction

Thermoelectric devices are semiconductor systems capable of directly converting electrical energy into thermal energy for cooling/heating or recovering waste heat into electricity for power generation; thus, they have gained attention for the provision of green energy and contributing to the reduction of CO2 gas [1]. Enhancing the performance of thermoelectric devices is crucial and achieved by maximizing a dimensionless figure of merit (ZT = α2σκ−1T) with optimized material parameters (α: Seebeck coefficient, σ: electrical conductivity, and κ: thermal conductivity) at the application temperature (T in Kelvin) [2]. α2σ is referred to the power factor (PF), and a higher ZT indicates higher energy conversion efficiency. This means that good thermoelectric materials have high electrical conductivity and a Seebeck coefficient, as well as low thermal conductivity [3,4].
Methods to enhance ZT include attempts to optimize specific parameters and the introduction of nanostructures [5]. Another approach is to search for new materials that intrinsically have low thermal conductivity due to the anharmonicity of lattice vibrations (phonons), possessing a regularly ordered crystalline structure [6,7,8,9,10,11,12]. Compounds such as Cu5FeS4, Cu3SbS4, and Cu2SnSe3, which are ternary compounds of Cu–M–Q (M = Sb, Sn, and Fe, and Q = S and Se), are gaining attention for their environmentally friendly and economical nature, and inherently low thermal conductivity. A prominent example for a novel thermoelectric material is the tetrahedrite Cu12Sb4S13, which exhibits a narrow bandgap, a cubic structure, and is abundant in the earth [13,14,15,16,17].
Johan and Kvaček [18] firstly named the analogue of tetrahedrite Cu12Sb4S13, where Se substitutes for S, as hakite Cu12Sb4Se13. Biagioni et al. [19] considered the valences, occupancies, and types of elements to satisfy charge neutrality, determining the stability of hakite as C u 6 + [ C u 4 + C u 2 2 + ] S b 4 3 + S e 12 2 S e 2 . Škácha et al. [20,21] described the presence of hakite, highlighting its prevalence with Hg2+, Cd2+, Zn2+, Fe2+, and Cu2+. Karup-Møller and Makovicky [22] claimed the ability to create charge-compensated Fe-hakite, Cu6[Cu4Fe2]Sb4Se13 (Fe2Cu10Sb4Se13) and Zn-hakite, Cu6[Cu4Zn2]Sb4Se13 (Zn2Cu10Sb4Se13). However, they reported that synthesis of cubic hakite, Cu6[Cu4Cu2]Sb4Se13 (Cu12Sb4Se13), was not possible and, instead, orthorhombic bytizite (Cu3SbSe3) was formed. In this study, we attempted the synthesis of Zn-compensated hakite (ZnxCu12−xSb4Se13) and investigated the phase transitions and thermoelectric properties as a function of Zn content. Our goal was to provide experimental data on the hakite.

2. Experimental Procedure

Zn-hakite, ZnxCu12−xSb4Se13 (x = 0.5, 1, 1.5, and 2), where Zn2+ compensates for Cu2+ (and actually exists as Cu+), was synthesized. Mechanical alloying (MA) was employed to homogeneously synthesize compounds and prevent volatilization. Zn (purity 99.9%, <75 μm), Cu (purity 99.9%, <45 μm), Sb (purity 99.999%, <150 μm), and Se (purity 99.9%, <10 μm) elemental powders were used for MA. A planetary ball mill (Pulverisette5, Fritsch, Pittsboro, NC, USA) consisting of stainless steel balls and vessels was utilized. The interior of the vessel was evacuated and then filled with Ar gas, and MA was conducted at 350 rpm for 24 h. The synthesized powder was packed into graphite molds and subjected to hot pressing (HP) under vacuum conditions at 623 K for 2 h with a pressure of 70 MPa. The optimized MA–HP process conditions were determined in our preliminary study [23].
X-ray diffraction (XRD; D8-Advance, Bruker, Billerica, MA, USA) was employed to analyze the phases of the MA powders and HP-sintered bodies using Cu Kα radiation. A thermogravimetric analysis and differential scanning calorimetry (TG–DSC; TGA/DSC1, Mettler Toledo, Columbus, OH, USA) were utilized to investigate the phase transitions, specific heat, and thermal stability of Zn-hakite. For microstructural observation, scanning electron microscopy (SEM; Quanta400, FEI, Lausanne, Switzerland) in backscattered electron (BSE) mode was utilized. Energy-dispersive X-ray spectroscopy (EDS; Quantax200, Bruker) was used for elemental distribution and the compositional analysis. The ZEM-3 (Advance Riko, Yokohama, Japan) instrument was used to measure the Seebeck coefficient and electrical conductivity using the DC four-probe method under He atmosphere. TC-9000H (Advance Riko) equipment was employed to determine thermal diffusivity (D) using the laser flash method in vacuum, and thermal conductivity (κ = dcpD) was evaluated using measured density (d) and specific heat (cp). Measurements were conducted in the temperature range of 323–623 K, and the PF and ZT were evaluated based on the electrical conductivity, Seebeck coefficient, and thermal conductivity.

3. Results and Discussion

Figure 1 shows the XRD phase analysis results of the MA-synthesized ZnxCu12−xSb4Se13 powders. For the sample uncompensated with Zn (x = 0), the hakite phase was not produced due to electronic instability, but permingeatite (PDF# 01-085-0003; tetragonal Cu3SbSe4; a = 0.56609 nm and c = 1.12800 nm) and bytizite (PDF# 01-086-1751; orthorhombic Cu3SbSe3; a = 0.79865 nm, b = 1.06138 nm, and c = 0.68372 nm) were formed [23]. For the specimen with the Zn content of x = 0.5, hakite (PDF# 00-069-0136; cubic Cu12Sb4Se13; a = 1.08783 nm) was predominantly formed with some presence of permingeatite, but bytizite was not detected. The lattice constants of the phases present in the MA powders were determined as follows: a = 0.54008 nm and c = 1.08567 nm for permingeatite; a = 0.81409 nm, b = 1.14658 nm, and c = 0.73873 nm for bytizite; and a = 1.08149 nm for hakite. The Lorentzian crystallite sizes were calculated to be 31.5 nm for permingeatite, 15.8 nm for bytizite, and 30.2 nm for hakite. With a further increase in Zn content, the secondary phase of permingeatite diminishes, transforming into a single phase of hakite. This stabilization of the hakite phase was attributed to charge compensation through the introduction of Zn2+ [20]. As mentioned in the Introduction, Karup-Møller and Makovicky [22] also failed to synthesize pure hakite and instead generated bytizite. Therefore, it reconfirmed that uncompensated pure hakite Cu12Sb4Se13 cannot exist. O et al. [24] discovered different phase transitions in MA-synthesized FexCu12−xSb4Se13; when the Fe content was 0.5 ≤ x ≤ 1, bytizite and eskebornite (PDF# 01-081-1959; tetragonal CuFeSe2; a = 0.55210 nm and c = 1.10420 nm) were formed, whereas for 1.5 ≤ x ≤ 2, pribramite (PDF# 01-083-9473; orthorhombic CuSbSe2; a = 0.62988 nm, b = 0.39810 nm, and c = 1.50030 nm) was additionally generated. To our best knowledge, apart from Zn-hakite, we have not discovered the formation of any other synthetic hakite.
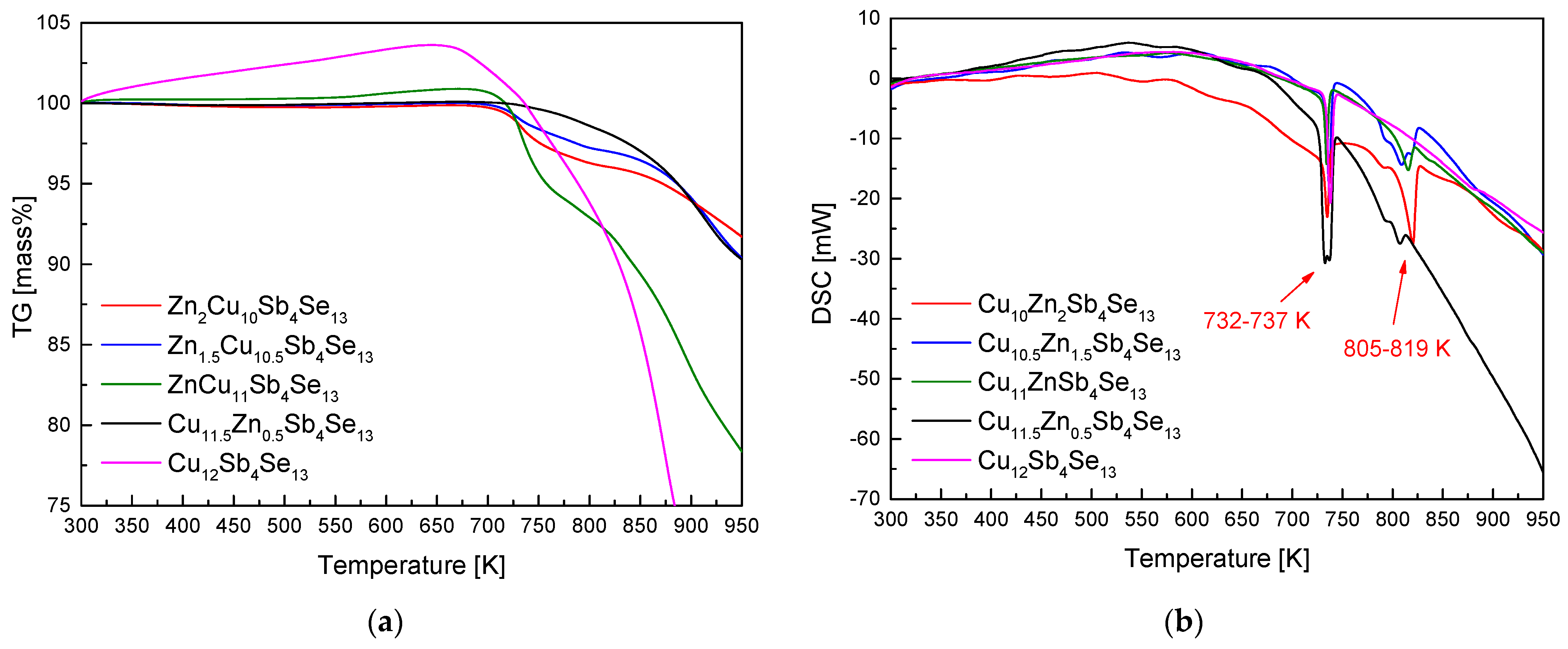
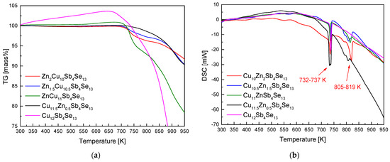
The TG–DSC analysis results for the ZnxCu12−xSb4Se13 powder are shown in Figure 2. Figure 2a reveals a pronounced mass loss at approximately 723 K, attributed to the volatilization of its constituent elements (notably Se) as a result of phase decomposition and melting. Figure 2b displays two endothermic peaks within the ranges of 732–737 K and 805–819 K, which are interpreted as the melting points of permingeatite and hakite, respectively. The enthalpies of the endothermic reactions of the phases present in the MA powders were measured to be 31.3–59.3 Jg−1 for permingeatite and 16.2–54.7 Jg−1 for hakite. The DSC results exhibited little differences with varying Zn content. Zhang et al. [25] predicted 18 types of theoretically possible Cu–Sb–Se phases using density-functional theory (DFT); while the melting point of Cu3SbSe4 is around 700 K [26], it becomes unstable and disappears at 910 K, transforming into a hypothetical Cu12Sb4Se13 phase at 1100 K.
Figure 3 depicts the XRD analysis results of ZnxCu12−xSb4Se13 prepared via MA–HP. Similar to the phases for the MA powders in Figure 1, the diffraction peaks for each phase were sharpened. This was attributed to stress relief and grain growth of the MA powders during the HP process. The lattice constants of the phases present in the HP samples were determined as follows: for permingeatite, a = 0.54089 nm and c = 1.08285 nm; for bytizite, a = 0.81650 nm, b = 1.15100 nm, and c = 0.73972 nm; and for hakite, a = 1.08265 nm. The Lorentzian crystallite sizes were calculated to be 142.0 nm for permingeatite, 16.8 nm for bytizite, and 63.2 nm for hakite. As the Zn content increased, the intensities of diffraction peaks corresponding to permingeatite and bytizite decreased or disappeared, confirming transformation into stable hakite. O et al. [24] reported their XRD analysis of FexCu12−xSb4Se13 prepared via MA–HP, finding that it existed as a composite of bytizite–eskebornite–pribramite phases. They observed a decrease in the amount of bytizite and an increase in pribramite as the Fe content increased, and concluded that Fe-hakite is unstable.
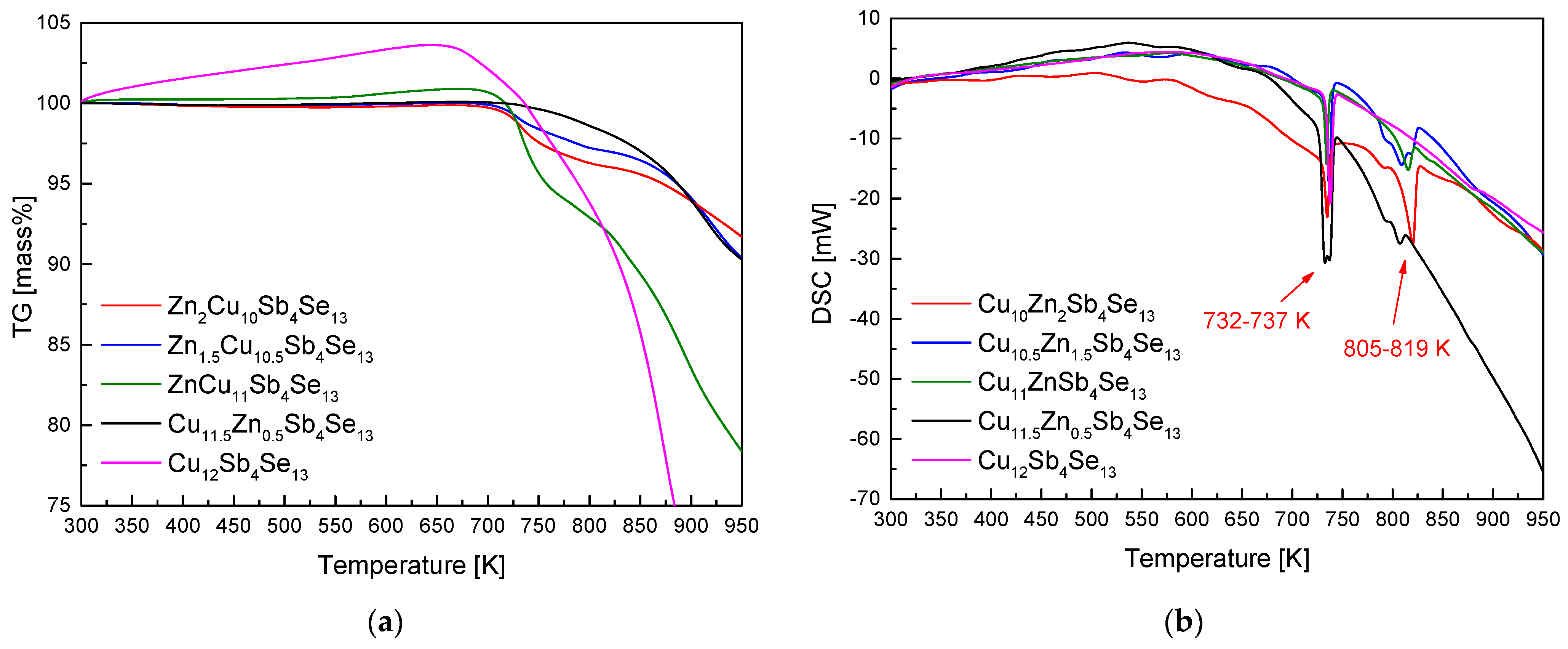
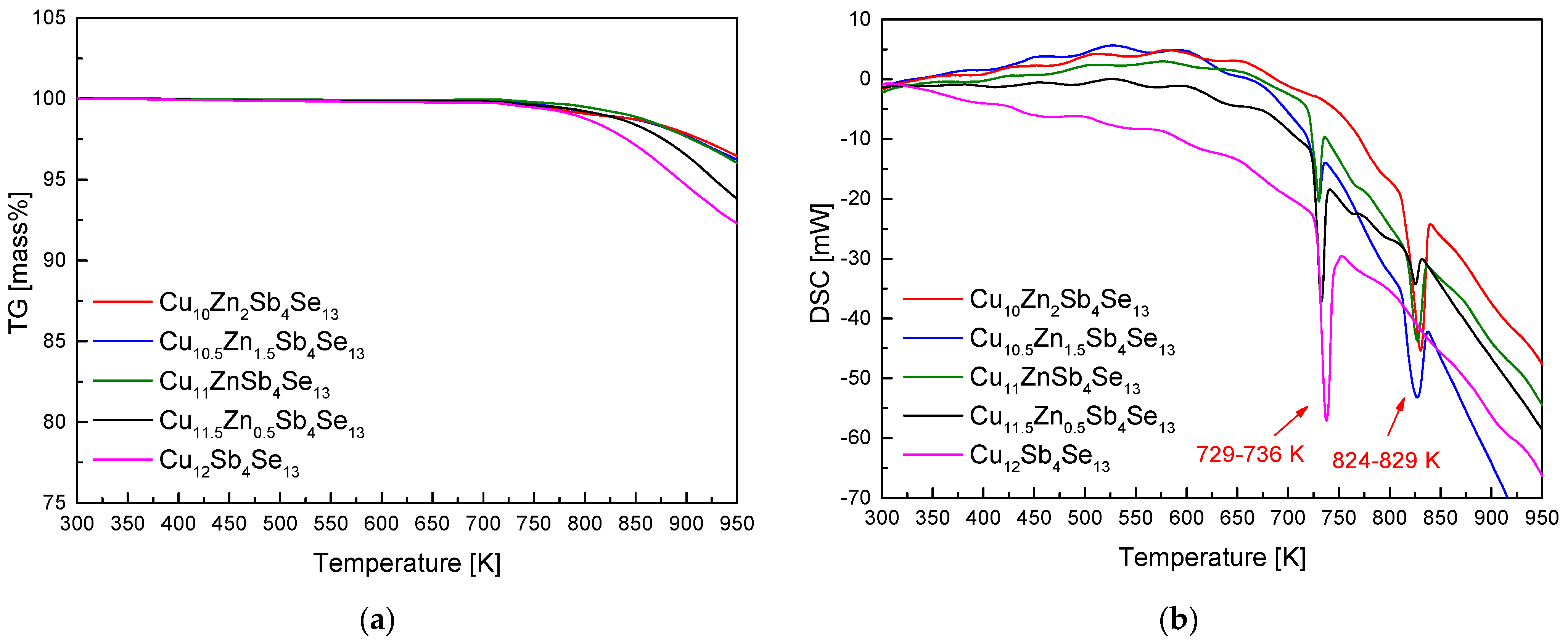
Figure 4 shows the TG–DSC curves of ZnxCu12−xSb4Se13 prepared via MA–HP. A mass loss at temperatures above approximately 723 K was observed in Figure 4a, but the mass loss at high temperatures was significantly lower compared to the MA powder samples in Figure 2a. This was attributed to the reduction in the specific surface area of the sintered bodies and increased phase stability. Two endothermic reactions at 729–736 K and 824–829 K are shown in Figure 4b, consistent with the melting points of permingeatite and hakite as interpreted from Figure 2b. The enthalpies of the endothermic reactions of the phases present in the HP samples were measured to be 11.8–34.5 Jg−1 for permingeatite and 8.0–67.6 Jg−1 for hakite. The melting point of Zn-hakite showed a slight increase due to HP, attributed to phase stabilization and heat-treatment effects (stress reduction). As Zn content increased, the endothermic peak corresponding to permingeatite diminished, indicating a transformation into hakite. O et al. [24] observed three endothermic peaks at 674–676 K, 712 K, and 720–736 K in their DSC analysis of FexCu12−xSb4Se13 prepared via MA–HP. They interpreted these peaks as melting points corresponding to bytizite, pribramite, and permingeatite, respectively.
Figure 5 presents the BSE–SEM microstructures and EDS spot analysis for ZnxCu12−xSb4Se13. In the compositional table, PMT, BTZ, and HKT represent permingeatite, bytizite, and hakite phases, respectively. For Cu12Sb4Se13, permingeatite (region A: bright area) and bytizite (region B: dark area) were observed, with hakite not being formed. Substituting Zn partially for Cu allowed for the presence of the hakite phase in the case of ZnCu11Sb4Se13; the bright area (region C) was identified as permingeatite and the dark area (region D) as hakite. Zn2Cu10Sb4Se13 contained a single phase of hakite. This aligned with the results of the XRD phase analysis and DSC thermal analysis.
Figure 6 displays the results of the EDS analysis for ZnCu11Sb4Se13. Line scans revealed the bright area as permingeatite, where a decrease in Zn content and an increase in Cu content were noted, leading to the determination of this area as permingeatite. This was further supported by elemental mapping, where the near absence of Zn content in the bright area reinforced this conclusion.
The thermoelectric properties of samples prepared via MA–HP were measured, but those of Cu12Sb4Se13 (without the hakite phase) were not investigated. Figure 7 shows the electrical conductivity of ZnxCu12−xSb4Se13. Positive temperature dependence indicated the behavior of a nondegenerate semiconductor. In samples containing permingeatite (x = 0.5–1.5), in other words, hakite–permingeatite composites, the electrical conductivity increased from 133–465 Sm−1 at 323 K to 1698–2561 Sm−1 at 623 K. However, in the case of Zn2Cu10Sb4Se13 with a single phase of hakite, the electrical conductivity significantly increased from 0.49 Sm−1 at 323 K to 387 Sm−1 at 623 K. Nevertheless, it exhibited the lowest electrical conductivity at all measured temperatures, attributed to the substitution of Cu+ by Zn2+, which supplied electrons (hakite being a p-type semiconductor), leading to charge compensation and a decrease in the majority-carrier concentration. Zhang et al. [26] applied the DFT to simulate the band structure of hakite, revealing that the presence of Zn in Cu12Sb4Se13 shifted the Fermi level within the bandgap (reducing hole concentration), and predicted a bandgap of 0.66 eV for Zn2Cu10Sb4Se13. In our previous study [23], we confirmed that Zn-hakite (Zn2Cu10Sb4Se13) is a p-type semiconductor and reported a carrier concentration of 4.79 × 1018 cm−3. O et al. [24] found that the electrical conductivity of FexCu12−xSb4Se13 did not vary significantly with Fe content, but they discovered a temperature dependence of a degenerate semiconductor; Fe2Cu10Sb4Se13 exhibited the highest electrical conductivity of 583.3 Sm−1 at 623 K.
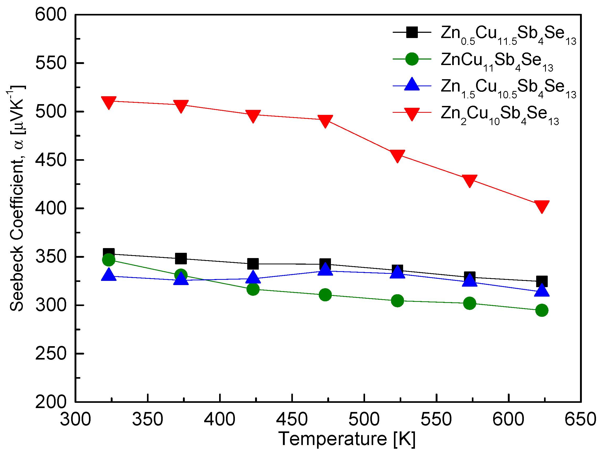
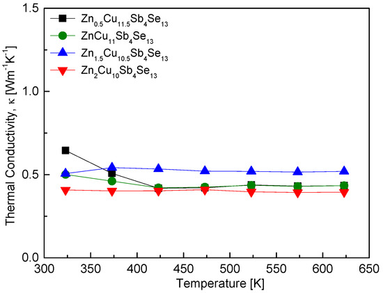
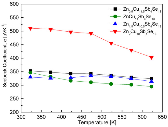
Figure 8 shows the Seebeck coefficient of ZnxCu12−xSb4Se13. The positive values of the Seebeck coefficient at all temperature ranges reconfirmed p-type semiconductor characteristics. As the temperature increased, the Seebeck coefficient decreased due to the occurrence of intrinsic transition. Samples with x = 0.5–1.5 showed relatively low temperature-dependencies, with values ranging from 330–353 μVK−1 at 323 K to 295–324 μVK−1 at 623 K. However, for Zn2Cu10Sb4Se13, a significantly high Seebeck coefficient of 511 μVK−1 was observed at 323 K, with temperature dependency decreasing to 403 μVK−1 at 623 K. O et al. [24] reported a negative temperature dependence of the Seebeck coefficient in FexCu12−xSb4Se13, noting that the variation of the Seebeck coefficient with Fe content was small. They observed a decrease from 641–761 μVK−1 at 323 K to 387–401 μVK−1 at 623 K.
Figure 9 displays the PF values of ZnxCu12−xSb4Se13. As the temperature increased, the PF sharply rose, resulting from a significant temperature dependence of electrical conductivity compared to the Seebeck coefficient. With increasing Zn content, the PF also increased, reaching a maximum of 0.24 mWm−1K−2 at 623 K for Zn1.5Cu10.5Sb4Se13. However, for Zn2Cu10Sb4Se13, the PF significantly decreased to 0.056 mWm−1K−2 at 623 K. This was attributed to the necessity of charge compensation with Zn for hakite phase stabilization, while leading to a drastic reduction in electrical conductivity due to the decrease in carrier concentration, resulting in a decrease in the PF. Therefore, the optimal Zn content for improving the PF was determined to be 1 ≤ x ≤ 1.5. O et al. [24] reported that Fe1.5Cu10.5Sb4Se13 exhibited a maximum PF of 0.08 mWm−1K−2 at 623 K in FexCu12−xSb4Se13. They attributed this to the increased effect of electrical conductivity outweighing the decrease in the Seebeck coefficient with increasing temperature.
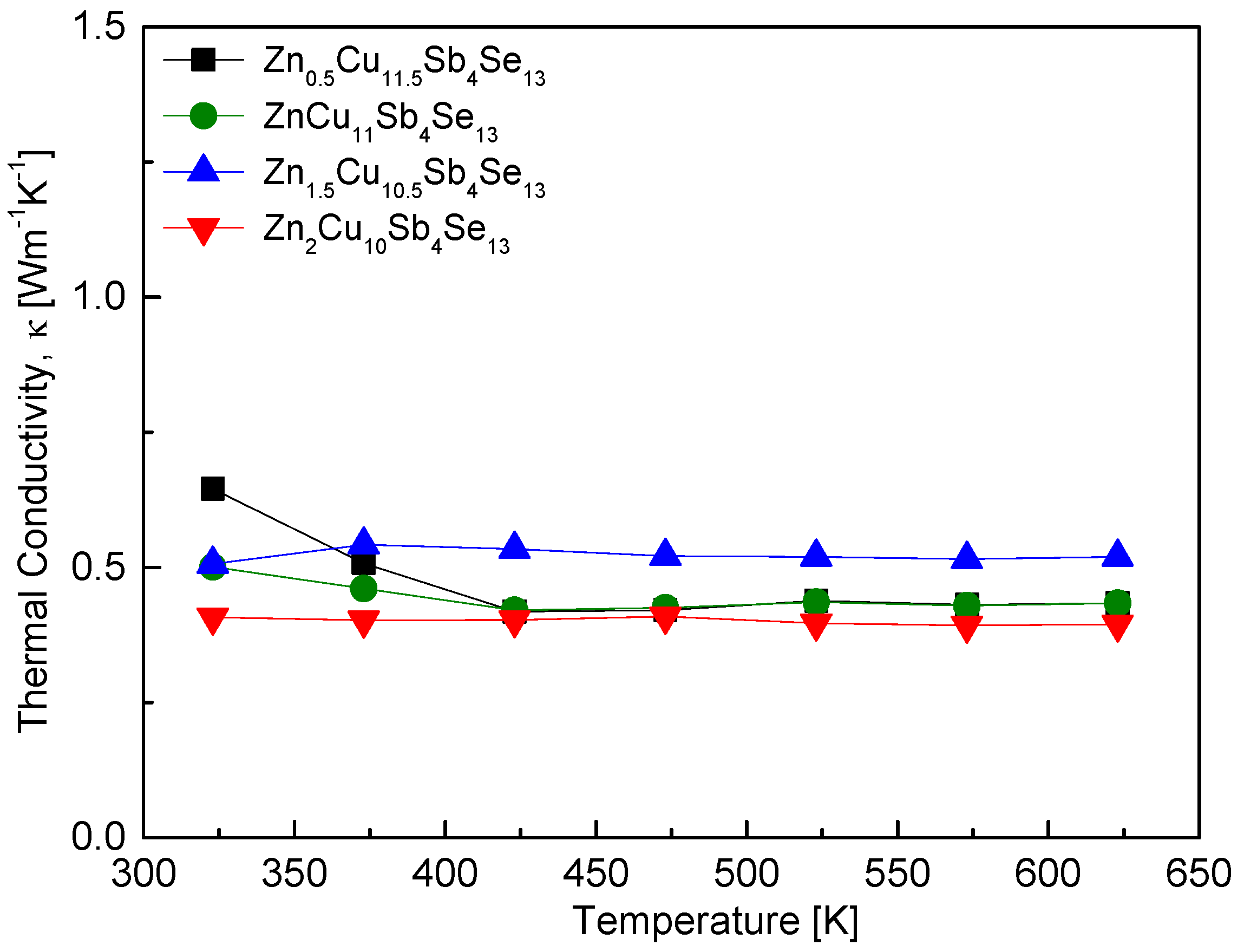
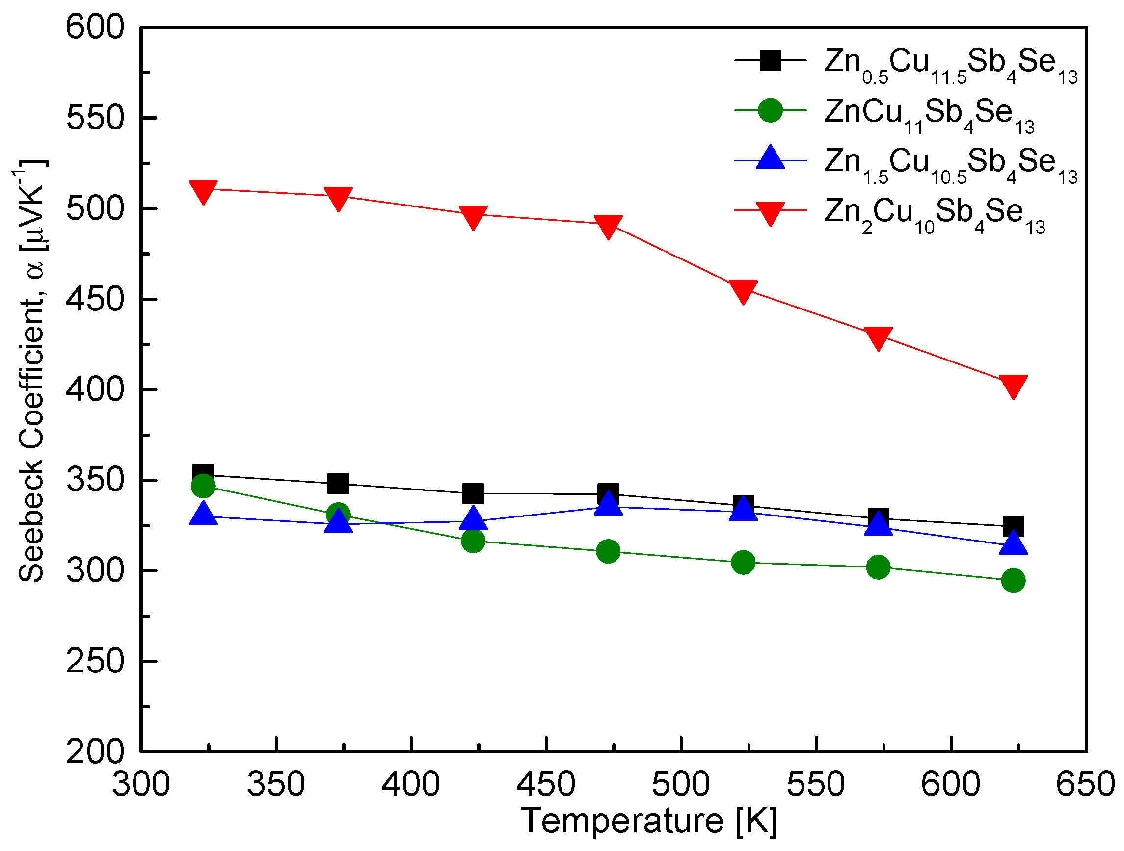
Figure 10 presents the thermal conductivity of ZnxCu12−xSb4Se13. Very low thermal conductivity values were obtained over the temperature range of 323–623 K, with little temperature dependence, ranging from 0.44–0.65 Wm−1K−1 at 323 K to 0.41–0.52 Wm−1K−1 at 623 K. The specific heat capacity (cp = 0.3435 Jg−1K−1) used for thermal conductivity calculations was obtained from our previous study [23]. The theoretical value of pure hakite Cu12Sb4Se13 calculated using the Dulong–Petit law is cp = 0.33 Jg−1K−1. O et al. [24] reported that the thermal conductivity values of FexCu12−xSb4Se13 were 0.42–0.79 Wm−1K−1 at 323 K and 0.33–0.54 Wm−1K−1 at 623 K, and found that Fe0.5Cu11.5Sb4Se13 exhibited a minimum thermal conductivity of 0.30 Wm−1K−1 at 423 K.
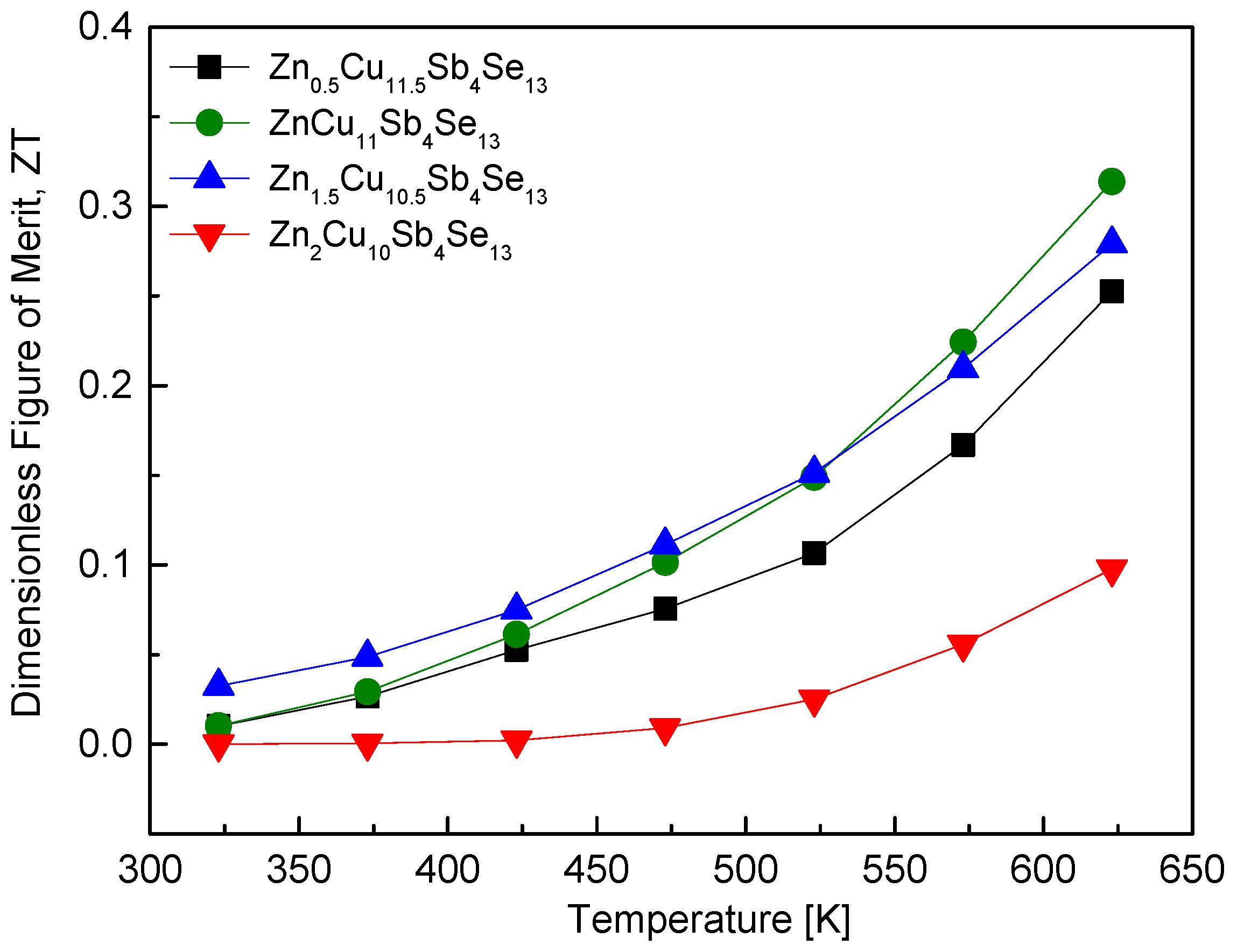
Figure 11 shows the ZT values of ZnxCu12−xSb4Se13. With increasing temperature, the ZT increased due to the maintenance of low thermal conductivity and the rise in PF. As mentioned above, the thermoelectric characteristics of Cu12Sb4Se13 without the hakite phase (with permingeatite and bytizite phases only) were not measured. However, as the Zn content increased, the charge compensation partially occurred, leading to transformation into the hakite phase and the formation of permingeatite–hakite composites. In the case of ZnCu11Sb4Se13, high electrical conductivity and improved PF, along with low thermal conductivity, resulted in a maximum ZT of 0.31 at 623 K. However, for Zn2Cu10Sb4Se13 with complete charge compensation, the pure Zn-hakite phase was synthesized, but the ZT decreased to 0.09 at 623 K. This indicates that while charge compensation through the substitution of divalent ions is necessary for hakite synthesis, optimization of charge compensation or doping level is also required. O et al. [24] reported that FeCu11Sb4Se13 achieved a maximum ZT of 0.14 at 623 K in FexCu12−xSb4Se13. However, they found that as the Fe content increased, the thermal conductivity increased, leading to a decrease in the ZT value.

4. Conclusions

Zn-compensated ZnxCu12−xSb4Se13 (0 ≤ x ≤ 2) were fabricated via solid-state processing. Pure hakite (Cu12Sb4Se13) was unattainable; however, Zn-hakite could be synthesized where Cu was substituted (charge-compensated) with Zn. While Cu12Sb4Se13 contained only permingeatite and bytizite, an increase in Zn content led to the transformation of the matrix phase into hakite. All samples exhibited p-type nondegenerate semiconductor behavior. Changes in Zn content resulted in variations in electrical conductivity and the Seebeck coefficient, enhancing the power factor. Very low thermal conductivity ranging from 0.41–0.52 Wm−1K−1 was achieved at 623 K. Zn1.5Cu10.5Sb4Se13 demonstrated a maximum power factor (PF = 0.24 mWm−1K−2) at 623 K, while ZnCu11Sb4Se13 exhibited the highest dimensionless figure of merit (ZT = 0.31). The formation of the hakite phase was achievable through Zn charge compensation, thus providing experimental thermoelectric data based on varying Zn content. Improvement in the thermoelectric performance of synthetic hakite due to the introduction of divalent or multivalent ions was expected for further studies.

Author Contributions

Conceptualization, S.J.P. and I.-H.K.; methodology, S.J.P. and I.-H.K.; software, S.J.P.; validation, I.-H.K.; formal analysis, S.J.P.; investigation, S.J.P.; resources, S.J.P.; data curation, S.J.P.; writing—original draft preparation, S.J.P.; writing—review and editing, I.-H.K.; visualization, S.J.P.; supervision, I.-H.K.; project administration, I.-H.K.; funding acquisition, I.-H.K. All authors have read and agreed to the published version of the manuscript.

Funding

This study was supported by the Basic Science Research Capacity Enhancement Project (National Research Facilities and Equipment Center) through the Korea Basic Science Institute funded by the Ministry of Education (grant No. 2019R1A6C1010047).

Institutional Review Board Statement

Not applicable.

Informed Consent Statement

Not applicable.

Data Availability Statement

The original contributions presented in the study are included in the article, further inquiries can be directed to the corresponding author.

Conflicts of Interest

The authors declare no conflicts of interest.

References

  1. Bell, L.E. Cooling, heating, generating power, and recovering waste heat with thermoelectric systems. Science 2008, 321, 1457–1461. [Google Scholar] [CrossRef] [PubMed]
  2. Kanatzidis, M.G. Nanostructured thermoelectrics: The new paradigm? Chem. Mater. 2010, 22, 648–659. [Google Scholar] [CrossRef]
  3. Zhang, J.; Wang, L.; Liu, M.; Wang, J.; Sun, K.; Yang, Y.; Hu, B.; Xu, J.; Su, T.; Du, B. Preparation and thermoelectric performance of tetrahedrite-like cubic Cu3SbS3 compound. J. Mater. Sci. Mater. Electron. 2021, 32, 10789–10802. [Google Scholar] [CrossRef]
  4. Zhang, Q.H.; Huang, X.Y.; Bai, S.Q.; Shi, X.; Uher, C.; Chen, L.D. thermoelectric devices for power generation: Recent progress and future challenges. Adv. Eng. Mater. 2016, 18, 194–213. [Google Scholar] [CrossRef]
  5. Shakouri, A. Recent developments in semiconductor thermoelectric physics and materials. Ann. Rev. Mater. Res. 2011, 41, 399–431. [Google Scholar] [CrossRef]
  6. Zhang, Y.; Skoug, E.; Cain, J.; Ozolins, V.; Morelli, D.; Wolverton, C. First-principles description of anomalously low lattice thermal conductivity in thermoelectric Cu–Sb–Se ternary semiconductors. Phys. Rev. B 2012, 85, 054306. [Google Scholar] [CrossRef]
  7. Skoug, E.J.; Morelli, D.T. Role of lone-pair electrons in producing minimum thermal conductivity in nitrogen-group chalcogenide compounds. Phys. Rev. Lett. 2011, 107, 235901. [Google Scholar] [CrossRef] [PubMed]
  8. Morelli, D.T.; Jovovic, V.; Heremans, J.P. Intrinsically minimal thermal conductivity in cubic I−V−VI2 semiconductors. Phys. Rev. Lett. 2008, 101, 035901. [Google Scholar] [CrossRef] [PubMed]
  9. Nielsen, M.D.; Ozolins, V.; Heremans, J.P. Lone pair electrons minimize lattice thermal conductivity. Energy Environ. Sci. 2013, 6, 570–578. [Google Scholar] [CrossRef]
  10. Lu, X.; Morelli, D.T.; Xia, Y.; Zhou, F.; Ozolins, V.; Chi, H.; Zhou, X.; Uher, C. High performance thermoelectricity in earth-abundant compounds based on natural mineral tetrahedrites. Adv. Energy Mater. 2013, 3, 342–348. [Google Scholar] [CrossRef]
  11. Delaire, O.; Ma, J.; Marty, K.; May, A.F.; McGuire, M.A.; Du, M.H.; Singh, D.J.; Podlesnyak, A.; Ehlers, G.; Lumsden, M.D.; et al. Giant anharmonic phonon scattering in PbTe. Nat. Mater. 2011, 10, 614–619. [Google Scholar] [CrossRef] [PubMed]
  12. Skoug, E.J.; Cain, J.D.; Morelli, D.T. Structural effects on the lattice thermal conductivity of ternary antimony- and bismuth-containing chalcogenide semiconductors. Appl. Phys. Lett. 2010, 96, 181905. [Google Scholar] [CrossRef]
  13. Qiu, P.; Zhang, T.; Qiu, Y.; Shi, X.; Chen, L. Sulfide bornite thermoelectric material: A natural mineral with ultralow thermal conductivity. Energy Environ. Sci. 2014, 7, 4000–4006. [Google Scholar] [CrossRef]
  14. Chen, D.; Zhao, Y.; Chen, Y.; Lu, T.; Wang, Y.; Zhou, J.; Liang, Z. Thermoelectric enhancement of ternary copper chalcogenide nanocrystals by magnetic nickel doping. Adv. Electron. Mater. 2016, 2, 1500473. [Google Scholar] [CrossRef]
  15. Liu, G.; Chen, K.; Li, J.; Li, Y.; Zhou, M.; Li, L. Combustion synthesis of Cu2SnSe3 thermoelectric materials. J. Eur. Ceram. Soc. 2016, 36, 1407–1415. [Google Scholar] [CrossRef]
  16. Vaqueiro, P.; Guélou, G.; Kaltzoglou, A.; Smith, R.I.; Barbier, T.; Guilmeau, E.; Powell, A.V. The influence of mobile copper ions on the glass-like thermal conductivity of copper-rich tetrahedrites. Chem. Mater. 2017, 29, 4080–4090. [Google Scholar] [CrossRef]
  17. Lu, X.; Morelli, D.T. Natural mineral tetrahedrite as a direct source of thermoelectric materials. Phys. Chem. Chem. Phys. 2013, 15, 5762–5766. [Google Scholar] [CrossRef]
  18. Johan, Z.; Kvaček, M. La hakite, un nouveau minéral du groupe de la tétraédrite. Bull. Mineral. 1971, 94, 45–48. [Google Scholar] [CrossRef]
  19. Biagioni, C.; George, L.L.; Cook, N.J.; Makovicky, E.; Moëlo, Y.; Pasero, M.; Sejkora, J.; Stanley, C.J.; Welch, M.D.; Bosi, F. The tetrahedrite group: Nomenclature and classification. J. Am. Mineral. 2020, 105, 109–122. [Google Scholar] [CrossRef]
  20. Škácha, P.; Sejkora, J.; Palatinus, L.; Makovicky, E.; Plášil, J.; Macek, I.; Goliáš, V. Hakite from Příbram, Czech Republic: Compositional variability, crystal structure and the role in Se mineralization. Mineral. Mag. 2016, 80, 1115–1128. [Google Scholar] [CrossRef]
  21. Škácha, P.; Sejkora, J.; Plášil, J. Selenide mineralization in the příbram uranium and base-metal district (Czech Republic). Minerals 2017, 7, 91. [Google Scholar] [CrossRef]
  22. Karup-Møller, S.; Makovicky, E. Exploratory studies of element substitutions in synthetic tetrahedrite. Part II. selenium and tellurium as anions in Zn–Fe tetrahedrites. N. Jb. Miner. Mh. 1999, 9, 385–399. [Google Scholar]
  23. Park, S.J.; Kim, I.H. Hakite: Solid-state synthesis and thermoelectric performance. J. Korean Phys. Soc. 2024, 84, 708–715. [Google Scholar] [CrossRef]
  24. O, H.S.; Park, S.J.; Kim, I.H. Phase transitions of thermoelectric FexCu12-xSb4Se13. Korean J. Met. Phys. 2024. submitted. [Google Scholar]
  25. Zhang, Y.; Ozolins, V.; Morelli, D.; Wolverton, C. Prediction of new stable compounds and promising thermoelectrics in the Cu–Sb–Se system. Chem. Mater. 2014, 26, 3427–3435. [Google Scholar] [CrossRef]
  26. Wernick, J.H.; Benson, K.E. New semiconducting ternary compounds. J. Phys. Chem. Sol. 1957, 3, 157–159. [Google Scholar] [CrossRef]
Figure 1. XRD patterns of ZnxCu12−xSb4Se13 synthesized by MA.
Figure 1. XRD patterns of ZnxCu12−xSb4Se13 synthesized by MA.
Materials 17 03282 g001
Figure 2. Analyses of (a) TG and (b) DSC for ZnxCu12−xSb4Se13 synthesized by MA.
Figure 2. Analyses of (a) TG and (b) DSC for ZnxCu12−xSb4Se13 synthesized by MA.
Materials 17 03282 g002
Figure 3. XRD patterns of ZnxCu12−xSb4Se13 prepared by MA–HP.
Figure 3. XRD patterns of ZnxCu12−xSb4Se13 prepared by MA–HP.
Materials 17 03282 g003
Figure 4. Analyses of (a) TG and (b) DSC for ZnxCu12−xSb4Se13 prepared by MA–HP.
Figure 4. Analyses of (a) TG and (b) DSC for ZnxCu12−xSb4Se13 prepared by MA–HP.
Materials 17 03282 g004
Figure 5. BSE–SEM micrographs and EDS spot analysis of ZnxCu12−xSb4Se13.
Figure 5. BSE–SEM micrographs and EDS spot analysis of ZnxCu12−xSb4Se13.
Materials 17 03282 g005
Figure 6. EDS spectra and maps of ZnCu11Sb4Se13.
Figure 6. EDS spectra and maps of ZnCu11Sb4Se13.
Materials 17 03282 g006
Figure 7. Temperature dependence of the electrical conductivity for ZnxCu12−xSb4Se13.
Figure 7. Temperature dependence of the electrical conductivity for ZnxCu12−xSb4Se13.
Materials 17 03282 g007
Figure 8. Temperature dependence of the Seebeck coefficient for ZnxCu12−xSb4Se13.
Figure 8. Temperature dependence of the Seebeck coefficient for ZnxCu12−xSb4Se13.
Materials 17 03282 g008
Figure 9. Temperature dependence of the power factor for ZnxCu12−xSb4Se13.
Figure 9. Temperature dependence of the power factor for ZnxCu12−xSb4Se13.
Materials 17 03282 g009
Figure 10. Temperature dependence of the thermal conductivity for ZnxCu12−xSb4Se13.
Figure 10. Temperature dependence of the thermal conductivity for ZnxCu12−xSb4Se13.
Materials 17 03282 g010
Figure 11. Dimensionless figure of merit for ZnxCu12−xSb4Se13.
Figure 11. Dimensionless figure of merit for ZnxCu12−xSb4Se13.
Materials 17 03282 g011
Disclaimer/Publisher’s Note: The statements, opinions and data contained in all publications are solely those of the individual author(s) and contributor(s) and not of MDPI and/or the editor(s). MDPI and/or the editor(s) disclaim responsibility for any injury to people or property resulting from any ideas, methods, instructions or products referred to in the content.

Share and Cite

MDPI and ACS Style

Park, S.J.; Kim, I.-H. Phase Transitions and Thermoelectric Properties of Charge-Compensated ZnxCu12−xSb4Se13. Materials 2024, 17, 3282. https://doi.org/10.3390/ma17133282

AMA Style

Park SJ, Kim I-H. Phase Transitions and Thermoelectric Properties of Charge-Compensated ZnxCu12−xSb4Se13. Materials. 2024; 17(13):3282. https://doi.org/10.3390/ma17133282

Chicago/Turabian Style

Park, Sang Jun, and Il-Ho Kim. 2024. "Phase Transitions and Thermoelectric Properties of Charge-Compensated ZnxCu12−xSb4Se13" Materials 17, no. 13: 3282. https://doi.org/10.3390/ma17133282

APA Style

Park, S. J., & Kim, I.-H. (2024). Phase Transitions and Thermoelectric Properties of Charge-Compensated ZnxCu12−xSb4Se13. Materials, 17(13), 3282. https://doi.org/10.3390/ma17133282

Note that from the first issue of 2016, this journal uses article numbers instead of page numbers. See further details here.

Article Metrics

Back to TopTop