Research Progress on the Oxidation Behavior of Ignition-Proof Magnesium Alloy and Its Effect on Flame Retardancy with Multi-Element Rare Earth Additions: A Review
Abstract
1. Introduction
1.1. Investigation of Low- and High-Temperature Oxidation Behavior of Magnesium Alloys
1.2. Low-Temperature Oxidation below 400 Degrees
1.3. High-Temperature Oxidation above 400 Degrees
2. The Fire Combustion Process
3. Analysis of Ignition- and Flame Retardancy-Influencing Factors
3.1. Alloying Elements
3.2. Solid Solubility

3.3. Intermetallic Compounds (Second Phase)
4. The Influence of Diverse Rare Earth Elements on the Flame Retardancy of Magnesium Alloys
4.1. The Impact of Binary Rare Earth Elements on the Flame Retardancy of Magnesium Alloys
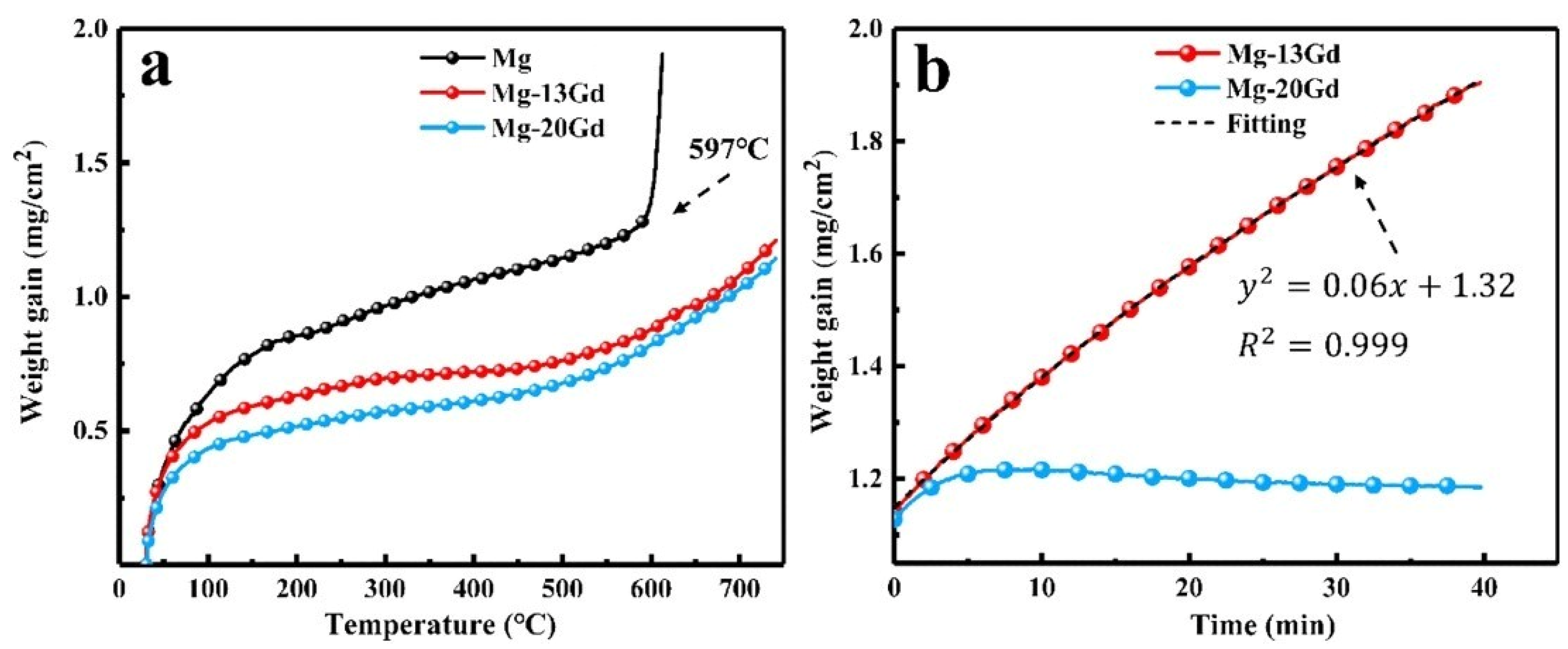
4.1.1. Y and Gd
4.1.2. Nd and Dy
4.1.3. Y and Nd
4.1.4. Y and Ce
4.1.5. Nd and Gd
4.2. Effect of Ternary Rare Earth on Flame Retardancy of Magnesium Alloys
Y, Nd, and Gd
5. Summaries and Future Development
- (1)
- The protective nature of the oxide film depends on its structure, with the PBR model serving as a commonly used evaluation model for oxide film protective capability. Nevertheless, it has certain limitations, lacking PBR values for different matrix alloys and overlooking the influence of alloy elements on factors such as solid solution strengthening, grain refinement, and mechanical properties of the oxide film. Therefore, further development and supplementation of flame-retardancy models are crucial.
- (2)
- The second phase can influence the composition and structure of oxides, thereby indirectly affecting the antioxidation and flame-retardant properties of magnesium alloys. Improving the microstructure of alloys through rapid solidification technology effectively enhances the flame retardancy of alloys. However, besides the melting point, the size and volume fraction of the second phase also significantly impact the oxidation rate of the matrix. It is necessary to explore new technologies for comprehensively improving the microstructure of alloys. Additionally, research on the oxidation sequence of alloys is scarce.
- (3)
- The addition of specific alloying elements such as Ca, Be, and Sr contributes to an increase in the ignition point of alloys. Apart from the type of elements, their content is also crucial. However, there is limited research on the impact of various specific element addition amounts and optimal ratios on the flame-retardant performance of magnesium alloys.
- (4)
- Adding binary and ternary rare earth elements can form a stable rare earth oxide protective layer on the alloy surface. However, studies on the synergistic effects of binary or higher rare earth elements and other elements like Ca on the flame-retardant performance of magnesium alloys are scarce. It is essential to develop novel rare earth magnesium alloys with comprehensive properties to enhance the safety of magnesium alloys in aviation applications.
Author Contributions
Funding
Institutional Review Board Statement
Informed Consent Statement
Data Availability Statement
Conflicts of Interest
References
- Mathes, J.C. Magnesium Alloys in the Aircraft Industry. Aircr. Eng. Aerosp. Tec. 1941, 13, 323–326. [Google Scholar] [CrossRef]
- Minárik, P.; Hosová, K.; Šašek, S.; Kubásek, J.; Veselý, J.; Král, R.; Čavojský, M.; Stráská, J.; Vojtěch, D. Ignition-resistant Mg-2Y-2Gd-1Ca alloy for aviation applications. J. Alloys Compd. 2023, 948, 169683. [Google Scholar] [CrossRef]
- Westengen, H.; Rashed, H.M.M.A. Magnesium Alloys: Properties and Applications—ScienceDirect. Encycl. Mater. Sci. Technol. 2001, 1, 11–19. [Google Scholar] [CrossRef]
- Xue, C.; Li, S.; Chu, Z.; Yang, Q.; Li, Y.; Ma, L.; Tuo, L. Molecular dynamics study on the effect of temperature on HCP→FCC phase transition of magnesium alloy. J. Magnes. Alloys 2023, 11, 3749–3764. [Google Scholar] [CrossRef]
- Mathaudhu, S.N.; Nyberg, E.A. Magnesium alloys in US military applications: Past, current and future solutions. In Essential Readings in Magnesium Technology; Springer: Berlin/Heidelberg, Germany, 2016; pp. 71–76. [Google Scholar] [CrossRef]
- Ma, S.; Han, D.; Zhang, C.; Zhang, J.; Huang, J.; Li, H. Understanding the ignition behaviors of AZ80 magnesium alloy plates based on the experiments and numerical simulations. Combust. Flame 2023, 255, 112888. [Google Scholar] [CrossRef]
- Zhang, H.; Zhao, P.; Ge, Y.; Tang, H.; Shi, Y. Chip morphology and combustion phenomenon of magnesium alloys at high-speed milling. Int. J. Adv. Manuf. Technol. 2018, 95, 3943–3952. [Google Scholar] [CrossRef]
- Kawabata, H.; Yagi, Y.; Aoki, Y.; Kato, H.; Kitayama, K.; Hibi, K. Effect of Calcium on the combustion behavior of molten AZ91 magnesium alloy. Mater. Trans. 2018, 59, 272–279. [Google Scholar] [CrossRef]
- Kubásek, J.; Minárik, P.; Hosová, K.; Šašek, S.; Knapek, M.; Veselý, J.; Stráská, J.; Dvorský, D.; Čavojský, M.; Vojtěch, D. Novel magnesium alloy containing Y, Gd and Ca with enhanced ignition temperature and mechanical properties for aviation applications. J. Alloys Compd. 2021, 877, 160089. [Google Scholar] [CrossRef]
- Zhao, S.; Zhou, H.; Zhou, T.; Zhang, Z.; Lin, P.; Ren, L. The oxidation resistance and ignition temperature of AZ31 magnesium alloy with additions of La2O3 and La. Corros. Sci. 2013, 67, 75–81. [Google Scholar] [CrossRef]
- Jung, I.-H.; Sanjari, M.; Kim, J.; Yue, S. Role of RE in the deformation and recrystallization of Mg alloy and a new alloy design concept for Mg–RE alloys. Scr. Mater. 2015, 102, 1–6. [Google Scholar] [CrossRef]
- Na, Z.; ZHANG, Z.; Jie, D.; Li, J.; Wenjiang, D. Selective oxidation behavior of an ignition-proof Mg-Y-Ca-Ce alloy. J. Rare Earths 2013, 31, 1003–1008. [Google Scholar] [CrossRef]
- Ni, J.; Jin, L.; Zeng, J.; Li, J.; Wang, F.; Wang, F.; Dong, S.; Dong, J. Development of high-strength magnesium alloys with excellent ignition-proof performance based on the oxidation and ignition mechanisms: A review. J. Magnes. Alloys 2023, 11, 1–14. [Google Scholar] [CrossRef]
- Tan, Q.; Atrens, A.; Mo, N.; Zhang, M.-X. Oxidation of magnesium alloys at elevated temperatures in air: A review. Corros. Sci. 2016, 112, 734–759. [Google Scholar] [CrossRef]
- Czerwinski, F. The oxidation behaviour of an AZ91D magnesium alloy at high temperatures. Acta Mater. 2002, 50, 2639–2654. [Google Scholar] [CrossRef]
- Czerwinski, F. The reactive element effect on high-temperature oxidation of magnesium. Int. Mater. Rev. 2015, 60, 264–296. [Google Scholar] [CrossRef]
- Won, S.-B.; Lee, D.B. Effect of CaO Addition on the High-Temperature Oxidation of AM30 Magnesium Alloys. J. Korean Inst. Met. Mater. 2014, 52, 1–8. [Google Scholar] [CrossRef]
- López, M.; Munez, C.J.; Carboneras, M.; Rodrigo, P.; Escalera, M.; Otero, E. Influence of temperature on oxidation behaviour of ZE41 magnesium alloy. J. Alloys Compd. 2010, 491, 131–136. [Google Scholar] [CrossRef]
- Jeurgens, L.; Vinodh, M.; Mittemeijer, E. Initial oxide-film growth on Mg-based MgAl alloys at room temperature. Acta Mater. 2008, 56, 4621–4634. [Google Scholar] [CrossRef]
- Li, L.; Yu, K.; Zhang, K.; Liu, Y. Study of Ti–6Al–4V alloy spectral emissivity characteristics during thermal oxidation process. Int. J. Heat Mass Transf. 2016, 101, 699–706. [Google Scholar] [CrossRef]
- Cheng, C.; Lan, Q.; Wang, A.; Le, Q.; Yang, F.; Li, X. Effect of Ca additions on ignition temperature and multi-stage oxidation behavior of AZ80. Metals 2018, 8, 766. [Google Scholar] [CrossRef]
- Czerwinski, F. The early stage oxidation and evaporation of Mg–9% Al–1% Zn alloy. Corros. Sci. 2004, 46, 377–386. [Google Scholar] [CrossRef]
- Cheng, C.; Le, Q.; Li, D.; Hu, W.; Wang, T.; Guo, R.; Hu, C. Effect of Y on high-temperature oxidation behavior and products of AZ80 alloy. Mater. Chem. Phys. 2021, 269, 124732. [Google Scholar] [CrossRef]
- Czerwinski, F.; Smeltzer, W. The Early-Stage Oxidation Kinetics of CeO2 Sol-Coated Nickel. J. Electrochem. Soc. 1993, 140, 2606. [Google Scholar] [CrossRef]
- Czerwinski, F. Factors affecting the oxidation nature of magnesium alloys. JOM 2004, 56, 29–31. [Google Scholar] [CrossRef]
- Liu, S.; Han, L.; Liu, H.; Song, Y.; Liu, L.; Hu, S. Experimental and numerical study on ignition and combustion characteristics of boron-magnesium composite powders. Particuology 2024, 84, 12–29. [Google Scholar] [CrossRef]
- Cheng, C.; Le, Q.; Li, X.; Hu, C.; Bao, L.; Jia, Y. Understanding on ignition mechanism of Mg-xAl (x = 0, 3, 6 and 8wt.%) alloys in atmospheric environment. Corros. Sci. 2020, 168, 108565. [Google Scholar] [CrossRef]
- Ao, W.; Zhang, Y.; Liu, L.; Huo, C.; Liu, P.; Li, L.K. Ignition and combustion experiments on Mg/AP composite fuels in different reaction environments. Combust. Flame 2023, 247, 112505. [Google Scholar] [CrossRef]
- Czerwinski, F. Controlling the ignition and flammability of magnesium for aerospace applications. Corros. Sci. 2014, 86, 1–16. [Google Scholar] [CrossRef]
- Liu, C.; Lu, S.; Fu, Y.; Zhang, H. Flammability and the oxidation kinetics of the magnesium alloys AZ31, WE43, and ZE10. Corros. Sci. 2015, 100, 177–185. [Google Scholar] [CrossRef]
- Wright, M.C.; Montgomery, E.; Barrios, E.; Cheshire, B.; Kolody, M.; Tomsik, E.; Willis, M. In Why Did NASA limit the use of Magnesium? Flammability and Corrosion Testing of Lightweight Magnesium Alloys for Space Flight Hardware Application, IAF Materials and Structures Symposium. In Proceedings of the International Astronautical Congress, Virtual, 12–16 October 2020. [Google Scholar]
- Han, D.; Zhang, J.; Huang, J.; Lian, Y.; He, G. A review on ignition mechanisms and characteristics of magnesium alloys. J. Magnes. Alloys 2020, 8, 329–344. [Google Scholar] [CrossRef]
- Vadchenko, S.; Grigor’ev, Y.M.; Merzhanov, A. Investigation of the Mechanism of the Ignition and Combustion of the Systems Ti + C, Zr + C by an Electrothermographic Method. Combust. Explos. Shock. Wave 1976, 12, 606–612. [Google Scholar] [CrossRef]
- Yuichi, I.; Yoichi, N. Flame-Retardant Magnesium Alloy and Method for Producing Same; University of Notre Dame: South Bend, IN, USA, 2022. [Google Scholar]
- Kim, Y.M.; Yim, C.D.; Kim, H.S.; You, B.S. Key factor influencing the ignition resistance of magnesium alloys at elevated temperatures. Scr. Mater. 2011, 65, 958–961. [Google Scholar] [CrossRef]
- Tekumalla, S.; Gupta, M. An insight into ignition factors and mechanisms of magnesium based materials: A review. Mater. Des. 2017, 113, 84–98. [Google Scholar] [CrossRef]
- Wang, Z.H.; Wang, X.D.; Li, S.B.; Du, W.B. Effects of Gd and Er on the ignition-proof properties of magnesium alloy. Adv. Mat. Res. 2011, 239, 122–126. [Google Scholar] [CrossRef]
- Li, W.; Zhou, H.; Zhou, W.; Li, W.; Wang, M. Effect of cooling rate on ignition point of AZ91D–0.98 wt.% Ce magnesium alloy. Mater. Lett. 2007, 61, 2772–2774. [Google Scholar] [CrossRef]
- Suzuki, K.; Saito, N.; Huang, X.; Yuasa, M.; Chino, Y. Effects of measurement conditions on ignition temperature of magnesium alloys. Mater. Trans. 2017, 58, 1616–1623. [Google Scholar] [CrossRef]
- Lee, D.B.J.C.S. High temperature oxidation of AZ31 + 0.3 wt.% Ca and AZ31 + 0.3 wt.% CaO magnesium alloys. Corros. Sci. 2013, 70, 243–251. [Google Scholar] [CrossRef]
- Jin-Kyu, L.; Hyung-Ho, J.; Shae, K.K.J.R.M. Effect of CaO addition on ignition behavior in molten AZ31 and AZ91D Magnesium alloys. Rare Met. 2006, 25, 155–159. [Google Scholar] [CrossRef]
- Rafiei, S.; Habibolahzadeh, A.; Wiese, B.J.C.M. Environment-COnscious Magnesium (ECO-Mg): A Review. Clean. Mater. 2024, 11, 100230. [Google Scholar] [CrossRef]
- Villegas-Armenta, L.A.; Pekguleryuz, M.O. The ignition behavior of a ternary Mg–Sr–Ca alloy. Adv. Eng. Mater. 2020, 22, 1901318. [Google Scholar] [CrossRef]
- Jiang, Q.; Lu, D.; Liu, C.; Liu, N.; Hou, B. The Pilling-Bedworth ratio of oxides formed from the precipitated phases in magnesium alloys. Front. Mater. 2021, 8, 761052. [Google Scholar] [CrossRef]
- Xiong, S.-M.; Wang, X.-F. Protection behavior of fluorine-containing cover gases on molten magnesium alloys. Trans. Nonferrous Met. Soc. China 2010, 20, 1228–1234. [Google Scholar] [CrossRef]
- Wang, X.-F.; Xiong, S.-M. Protection behavior of SO2-containing cover gases to molten magnesium alloy. Trans. Nonferrous Met. Soc. China 2011, 21, 807–813. [Google Scholar] [CrossRef]
- Ha, W.; Kim, Y.-J. Effects of cover gases on melt protection of Mg alloys. J. Alloys Compd. 2006, 422, 208–213. [Google Scholar] [CrossRef]
- Aarstad, K. Protective Films on Molten Magnesium; NTNU Open: Trondheim, Norway, 2004. [Google Scholar]
- Yu, X.; Jiang, B.; Yang, H.; Yang, Q.; Xia, X.; Pan, F. High temperature oxidation behavior of Mg-Y-Sn, Mg-Y, Mg-Sn alloys and its effect on corrosion property. Appl. Surf. Sci. 2015, 353, 1013–1022. [Google Scholar] [CrossRef]
- Huntz, A.; Schütze, M. Stresses generated during oxidation sequences and high temperature fracture. Mater. High Temp. 1994, 12, 151–161. [Google Scholar] [CrossRef]
- Xu, C.; Gao, W. Pilling-Bedworth ratio for oxidation of alloys. Mater. Res. Innov. 2000, 3, 231–235. [Google Scholar] [CrossRef]
- Aydin, D.; Bayindir, Z.; Pekguleryuz, M. The effect of strontium (Sr) on the ignition temperature of magnesium (Mg): A look at the pre-ignition stage of Mg–6 wt.% Sr. J. Mater. Sci. 2013, 48, 8117–8132. [Google Scholar] [CrossRef]
- Tan, Q.; Mo, N.; Lin, C.-L.; Jiang, B.; Pan, F.; Huang, H.; Atrens, A.; Zhang, M.-X. Improved oxidation resistance of Mg-9Al-1Zn alloy microalloyed with 60 wt ppm Be attributed to the formation of a more protective (Mg, Be) O surface oxide. Corros. Sci. 2018, 132, 272–283. [Google Scholar] [CrossRef]
- Ouyang, Z.; LIang, H.; Mao, X.; Hong, M. Influence of additive element on surface oxide film of A356 alloy. Trans. Nonferrous Met. Soc. China 2006, 16, 1425–1428. [Google Scholar]
- Aydin, D.; Hoseini, M.; Pekguleryuz, M. Understanding the high temperature oxidation and ignition behaviour of two-phase Mg–Nd alloys and a comparison to single phase Mg–Nd. Philos. Mag. 2015, 95, 259–274. [Google Scholar] [CrossRef]
- Tanabe, K.; Seki, Y.; Okazaki, Y.; Itoh, G. Solid solution/precipitation and recovery/recrystallization behavior of flame-resistant magnesium alloys during heat treatment. Proc. Ibarak Dist. Conf. 2020, 28, 414. [Google Scholar] [CrossRef]
- Goodall, R. Data of the maximum solid solubility limits of binary systems of elements. Data Brief. 2019, 26, 104515. [Google Scholar] [CrossRef] [PubMed]
- Zhou, J.; Wang, J.; Qin, J.; Cheng, K.; Zhan, C.; Li, X.; Zhao, G.; Zhou, Y. A new diagrammatic method for the prediction of solid solubility in Mg alloys based on the short-range ordered structure. Comput. Mater. Sci. 2019, 159, 32–42. [Google Scholar] [CrossRef]
- Wang, J.; Yuan, Y.; Chen, T.; Wu, L.; Chen, X.; Jiang, B.; Wang, J.; Pan, F. Multi-solute solid solution behavior and its effect on the properties of magnesium alloys. J. Magnes. Alloys 2022, 10, 1786–1820. [Google Scholar] [CrossRef]
- Aydin, D.; Bayindir, Z.; Hoseini, M.; Pekguleryuz, M. The high temperature oxidation and ignition behavior of Mg–Nd alloys part I: The oxidation of dilute alloys. J. Alloys Compd. 2013, 569, 35–44. [Google Scholar] [CrossRef]
- Aydin, D.; Bayindir, Z.; Pekguleryuz, M. The high temperature oxidation behavior of Mg–Nd alloys. Part II: The effect of the two-phase microstructure on the on-set of oxidation and on oxide morphology. J. Alloys Compd. 2014, 584, 558–565. [Google Scholar] [CrossRef]
- Tekumalla, S.; Seetharaman, S.; Almajid, A.; Gupta, M. Mechanical properties of magnesium-rare earth alloy systems: A review. Metals 2014, 5, 1–39. [Google Scholar] [CrossRef]
- Bahmani, A.; Arthanari, S.; Shin, K.S. Corrosion behavior of Mg–Mn–Ca alloy: Influences of Al, Sn and Zn. J. Magnes. Alloys 2019, 7, 38–46. [Google Scholar] [CrossRef]
- Zhang, Y.; Jiang, H.; Wang, Y.; Xu, Z. Effects of Second-Phase Particles on Microstructure Evolution in Mg-2Zn Based Magnesium Alloys during Annealing Treatment. Metals 2020, 10, 777. [Google Scholar] [CrossRef]
- Dvorsky, D.; Kubasek, J.; Vojtech, D.; Minarik, P. Novel aircraft Mg-Y-Gd-Ca alloys with high ignition temperature and suppressed flammability. Mater. Lett. 2020, 264, 127313. [Google Scholar] [CrossRef]
- Inoue, S.-I.; Yamasaki, M.; Kawamura, Y. Classification of high-temperature oxidation behavior of Mg-1 at% X binary alloys and application of proposed taxonomy to nonflammable multicomponent Mg alloys. Corros. Sci. 2020, 174, 108858. [Google Scholar] [CrossRef]
- Kazenas, E.K.; Samoilova, I.O.; Zviadadze, G.N. Thermodynamics of the dissociation and sublimation of magnesium oxide. Russ. J. Phys. Chem. 1995, 57, 1571–1572. [Google Scholar]
- Huang, H.; Yuan, G.; Chu, Z.; Ding, W. Microstructure and mechanical properties of double continuously extruded Mg–Zn–Gd-based magnesium alloys. Mater. Sci. Eng. A 2013, 560, 241–248. [Google Scholar] [CrossRef]
- Yu, X.; Shen, S.; Jiang, B.; Jiang, Z.; Yang, H.; Pan, F. The effect of the existing state of Y on high temperature oxidation properties of magnesium alloys. Appl. Surf. Sci. 2016, 370, 357–363. [Google Scholar] [CrossRef]
- Lin, P.; Zhou, H.; Li, W.; Li, W.; Wang, M.; Guo, Q.; Tang, H. Effect of cooling rate on oxidation resistance and powder ignition temperature of AM50 alloy with addition of yttrium. Corros. Sci. 2009, 51, 301–308. [Google Scholar] [CrossRef]
- Feng, B.; Liu, G.; Yang, P.; Huang, S.; Qi, D.; Chen, P.; Wang, C.; Du, J.; Zhang, S.; Liu, J. Different role of second phase in the micro-galvanic corrosion of WE43 Mg alloy in NaCl and Na2SO4 solution. J. Magnes. Alloys 2022, 10, 1598–1608. [Google Scholar] [CrossRef]
- Zeng, R.-C.; Qi, W.-C.; Cui, H.-Z.; Zhang, F.; Li, S.-Q.; Han, E.-H. In vitro corrosion of as-extruded Mg–Ca alloys—The influence of Ca concentration. Corros. Sci. 2015, 96, 23–31. [Google Scholar] [CrossRef]
- Li, P.; Tang, B.; Kandalova, E.J. Microstructure and properties of AZ91D alloy with Ca additions. Mater. Lett. 2005, 59, 671–675. [Google Scholar] [CrossRef]
- Cao, P.; Qian, M.; StJohn, D.H. Grain coarsening of magnesium alloys by beryllium. Scr. Mater. 2004, 51, 647–651. [Google Scholar] [CrossRef]
- Kannan, M.B.; Dietzel, W.; Blawert, C.; Atrens, A.; Lyon, P. Stress corrosion cracking of rare-earth containing magnesium alloys ZE41, QE22 and Elektron 21 (EV31A) compared with AZ80. Mater. Sci. Eng. A 2008, 480, 529–539. [Google Scholar] [CrossRef]
- Hoppe, R.; Kurz, G.; Letzig, D. Substitution of rare earths in magnesium alloys. Mater. Sci. Forum 2016, 854, 51–56. [Google Scholar] [CrossRef]
- Cai, Y.; Yan, H.; Zhu, M.; Zhang, K.; Yi, X.; Chen, R. High-temperature oxidation behavior and corrosion behavior of high strength Mg-xGd alloys with high Gd content. Corros. Sci. 2021, 193, 109872. [Google Scholar] [CrossRef]
- Wagner, C. Formation of composite scales consisting of oxides of different metals. J. Electrochem. Soc. 1956, 103, 627. [Google Scholar] [CrossRef]
- Xuemin, W.; Weidong, W.; Yongjian, T.; Xiaoqin, Z.; Shoushan, Y. Early high temperature oxidation behaviors of Mg–10Gd–3Y alloys. J. Alloys Compd. 2009, 474, 499–504. [Google Scholar] [CrossRef]
- Wu, L.; Yang, Z. Oxidation behaviour of Mg–2.1 Gd–1.1 Y–0.82 Zn–0.11 Zr alloy at high temperatures. J. Alloys Compd. 2015, 626, 194–202. [Google Scholar] [CrossRef]
- Dvorsky, D.; Kubasek, J.; Vojtech, D.; Minárik, P.; Stráská, J. The effect of Y, Gd and Ca on the ignition temperature of extruded magnesium alloys. Mater. Tehnol. 2020, 54, 669–675. [Google Scholar] [CrossRef]
- Šašek, S.; Minárik, P.; Stráská, J.; Hosová, K.; Veselý, J.; Kubásek, J.; Král, R.; Krajňák, T.; Vojtěch, D. Novel Ultrafine-Grain Mg-Gd/Nd-Y-Ca Alloys with an Increased Ignition Temperature. Materials 2023, 16, 1299. [Google Scholar] [CrossRef]
- Prasad, A.; Shi, Z.; Atrens, A. Flammability of Mg–X binary alloys. Adv. Eng. Mater. 2012, 14, 772–784. [Google Scholar] [CrossRef]
- Prasad, A.; Shi, Z.; Atrens, A. Influence of Al and Y on the ignition and flammability of Mg alloys. Corros. Sci. 2012, 55, 153–163. [Google Scholar] [CrossRef]
- Villegas-Armenta, L.; Drew, R.; Pekguleryuz, M. The ignition behavior of Mg–Ca binary alloys: The role of heating rate. Oxid. Met. 2020, 93, 545–558. [Google Scholar] [CrossRef]
- Zeng, Z.; Stanford, N.; Davies, C.H.J.; Nie, J.-F.; Birbilis, N. Magnesium extrusion alloys: A review of developments and prospects. Int. Mater. Rev. 2019, 64, 27–62. [Google Scholar] [CrossRef]
- Qian, Y.; Zhao, Y.; Dong, X.; Yu, W.; Feng, J.; Yu, H. Microstructure, Mechanical Properties and Fire Resistance of High Strength Mg-Gd-Y-Zr Alloys. Metals 2022, 12, 1456. [Google Scholar] [CrossRef]
- Liu, J.; Li, Y.; Wang, F. The high temperature oxidation behavior of Mg–Gd–Y–Zr alloy. Oxid. Met. 2009, 71, 319–334. [Google Scholar] [CrossRef]
- Ding, J.; Qin, L.; Li, Y.Y.; Zhao, W.M. Effect of Nd and Dy Addition on AZ91D Ignition Temperature and Microhardness; Materials Science Forum; Trans Tech Publ: Bäch, Switzerland, 2014; pp. 34–40. [Google Scholar]
- Li, Y.-Y.; Zhao, W.-m.; Ding, J.; Xue, H.-T. Ignition-proof performance and mechanism of AZ91D-3Nd-x Dy magnesium alloys at high temperatures. China Foundry 2018, 15, 97–102. [Google Scholar] [CrossRef]
- Zhao, X.; Ning, Z.; Li, Z.; Zou, W.; Li, B.; He, K.; Cao, F.; Sun, J.; Luo, A.A. In-mold oxidation behavior of Mg–4.32 Y–2.83 Nd–0.41 Zr alloy. J. Mater. Sci. 2018, 53, 11091–11103. [Google Scholar] [CrossRef]
- Wang, Z.; Shen, Z.; Zhao, Y.; Liu, Y.; Hu, B.; Shang, X.; Wang, J.; Li, Y.; Li, D.; Zhang, J. Insights into the design of oxidation-resistant Mg alloy by alloying with rare-earth elements. Mater. Today Adv. 2023, 20, 100446. [Google Scholar] [CrossRef]
- Kumar, N.R.; Blandin, J.; Suery, M.; Grosjean, E. Effect of alloying elements on the ignition resistance of magnesium alloys. Scr. Mater. 2003, 49, 225–230. [Google Scholar] [CrossRef]
- Wang, J.; Liao, R.; Wang, L.; Wu, Y.; Cao, Z.; Wang, L. Investigations of the properties of Mg–5Al–0.3 Mn–xCe (x = 0–3, wt.%) alloys. J. Alloys Compd. 2009, 477, 341–345. [Google Scholar] [CrossRef]
- Wang, X.; Zeng, X.; Zhou, Y.; Wu, G.; Yao, S.; Lai, Y. Early oxidation behaviors of Mg–Y alloys at high temperatures. J. Alloys Compd. 2008, 460, 368–374. [Google Scholar] [CrossRef]
- Liu, M.; Schmutz, P.; Uggowitzer, P.J.; Song, G.; Atrens, A. The influence of yttrium (Y) on the corrosion of Mg–Y binary alloys. Corros. Sci. 2010, 52, 3687–3701. [Google Scholar] [CrossRef]
- Wang, X.; Zeng, X.; Wu, G.; Yao, S. Yttrium ion implantation on the surface properties of magnesium. Appl. Surf. Sci. 2006, 253, 2437–2442. [Google Scholar] [CrossRef]
- Wang, X.; Zeng, X.; Wu, G.; Yao, S.; Lai, Y. Surface analysis and oxidation behavior of Y-ion implanted AZ31 magnesium alloys. Appl. Surf. Sci. 2007, 253, 3574–3580. [Google Scholar] [CrossRef]
- Wang, X.; Zeng, X.; Wu, G.; Yao, S. The effect of Y-ion implantation on the oxidation of AZ31 magnesium alloy. Mater. Lett. 2007, 61, 968–970. [Google Scholar] [CrossRef]
- Fan, J.; Yang, C.L.; Han, G.; Fang, S.; Yang, W.; Xu, B. Oxidation behavior of ignition-proof magnesium alloys with rare earth addition. J. Alloys Compd. 2011, 509, 2137–2142. [Google Scholar] [CrossRef]
- Wagner, C. Beitrag zur theorie des anlaufvorgangs. Z. Phys Chem. 1933, 21, 25–41. [Google Scholar] [CrossRef]
- Guan, M.; Hao, W.; Fan, J. High Temperature Oxidation Behavior of Ignition-Proof Mg-Y-Ce Alloys. Rare Metal. Mat. Eng. 2010, 39, 1375–1379. [Google Scholar]
- Aly, Y.; Dreizin, E.L. Ignition and combustion of Al· Mg alloy powders prepared by different techniques. Combust. Flame 2015, 162, 1440–1447. [Google Scholar] [CrossRef]
- Lin, P.-Y.; Zhou, H.; Li, W.; Li, W.-P.; Sun, N.; Yang, R. Interactive effect of cerium and aluminum on the ignition point and the oxidation resistance of magnesium alloy. Corros. Sci. 2008, 50, 2669–2675. [Google Scholar] [CrossRef]
- Wang, W.; Wang, W.; Wang, Q.; Zhang, M.; Wang, A.; Li, M. Flame resistance and oxidation behavior of Mg-Y-Ce-Zr alloys. Mater. Res. Express 2018, 6, 016536. [Google Scholar] [CrossRef]
- Somasundaram, M.; NarendraKumar, U.; Annamalai, A.R. The oxidation behavior of stir-cast and heat-treated EV31A at high temperatures in an air atmosphere. Corros. Sci. 2023, 211, 110894. [Google Scholar] [CrossRef]
- Liu, M.; Shih, D.S.; Parish, C.; Atrens, A. The ignition temperature of Mg alloys WE43, AZ31 and AZ91. Corros. Sci. 2012, 54, 139–142. [Google Scholar] [CrossRef]
- Huang, Q.; Yu, S.; Chen, Y.; Lu, S.; Lu, Z.; Liu, C. Study on the high temperature oxidation/nitridation behavior of Mg alloys AZ31, WE43 and ZE10. Case Stud. Therm. Eng. 2022, 30, 101759. [Google Scholar] [CrossRef]
- Brar, H.S.; Berglund, I.S.; Allen, J.B.; Manuel, M.V. The role of surface oxidation on the degradation behavior of biodegradable Mg–RE (Gd, Y, Sc) alloys for resorbable implants. Mater. Sci. Eng. C 2014, 40, 407–417. [Google Scholar] [CrossRef]
- Wu, L.; Li, H. Effect of selective oxidation on corrosion behavior of Mg-Gd-Y-Zn-Zr alloy. Corros. Sci. 2018, 142, 238–248. [Google Scholar] [CrossRef]
- Wang, L.; Xing, C.; Hou, X.; Wu, Y.; Sun, J.; Wang, L. Microstructures and mechanical properties of as-cast Mg-5Y-3Nd-Zr-xGd (x = 0, 2 and 4 wt.%) alloys. Mater. Sci. Eng. A 2010, 527, 1891–1895. [Google Scholar] [CrossRef]
- Luo, K.; Zhang, L.; Wu, G.; Liu, W.; Ding, W. Effect of Y and Gd content on the microstructure and mechanical properties of Mg–Y–RE alloys. J. Magnes. Alloys 2019, 7, 345–354. [Google Scholar] [CrossRef]
- Liu, J.; Min, S.; Mao, Z.; Zhou, M.; Liu, B.; Liu, D.; Song, F.; Wen, P.; Tian, Y.; Zheng, Y. Influence of high temperature oxidation on mechanical properties and in vitro biocompatibility of WE43 magnesium alloy fabricated by laser powder bed fusion. J. Mater. Sci. Technol. 2024, 179, 26–39. [Google Scholar] [CrossRef]














| Composition/wt.% | Ignition Point/K |
|---|---|
| Mg | 933 |
| AZ31 | 892 |
| Mg-1.5Y | 977 |
| Mg-3Y | 1091 |
| Mg-6Y | 1133 |
| Mg-10Y | 1169 |
| Mg-5Y-0.1Ca | 1153 |
| Mg-5Y-0.3Ca | 1213 |
| Mg-5Y-0.6Ca | No ignition |
| Mg-4Y-0.1Ca | 1109 |
| Mg-4Y-0.5Ca | No ignition |
| Mg-4Y-0.9Ca | No ignition |
| Mg-3Y-0.6Ca | No ignition |
| Mg-3Y-0.4Ca-0.2Ce | 977 |
| Mg-3Y-0.5Ca-0.2Ce | 1091 |
| Mg-3Y-0.8Ca-0.2Ce | 1133 |
| Mg-3Y-1.2Ca-0.2Ce | 1169 |
Disclaimer/Publisher’s Note: The statements, opinions and data contained in all publications are solely those of the individual author(s) and contributor(s) and not of MDPI and/or the editor(s). MDPI and/or the editor(s) disclaim responsibility for any injury to people or property resulting from any ideas, methods, instructions or products referred to in the content. |
© 2024 by the authors. Licensee MDPI, Basel, Switzerland. This article is an open access article distributed under the terms and conditions of the Creative Commons Attribution (CC BY) license (https://creativecommons.org/licenses/by/4.0/).
Share and Cite
Zuo, D.; Ding, H.; Zhi, M.; Xu, Y.; Zhang, Z.; Zhang, M. Research Progress on the Oxidation Behavior of Ignition-Proof Magnesium Alloy and Its Effect on Flame Retardancy with Multi-Element Rare Earth Additions: A Review. Materials 2024, 17, 3183. https://doi.org/10.3390/ma17133183
Zuo D, Ding H, Zhi M, Xu Y, Zhang Z, Zhang M. Research Progress on the Oxidation Behavior of Ignition-Proof Magnesium Alloy and Its Effect on Flame Retardancy with Multi-Element Rare Earth Additions: A Review. Materials. 2024; 17(13):3183. https://doi.org/10.3390/ma17133183
Chicago/Turabian StyleZuo, Duquan, Haolin Ding, Maoyong Zhi, Yi Xu, Zhongbo Zhang, and Minghao Zhang. 2024. "Research Progress on the Oxidation Behavior of Ignition-Proof Magnesium Alloy and Its Effect on Flame Retardancy with Multi-Element Rare Earth Additions: A Review" Materials 17, no. 13: 3183. https://doi.org/10.3390/ma17133183
APA StyleZuo, D., Ding, H., Zhi, M., Xu, Y., Zhang, Z., & Zhang, M. (2024). Research Progress on the Oxidation Behavior of Ignition-Proof Magnesium Alloy and Its Effect on Flame Retardancy with Multi-Element Rare Earth Additions: A Review. Materials, 17(13), 3183. https://doi.org/10.3390/ma17133183

