Effects of Curing Temperature on Expansion of Concrete Due to ASR
Abstract
1. Introduction
2. Materials and Methods
2.1. Materials
2.2. Sample Preparation and Curing Conditions
2.3. Expansion Measurement
2.4. Internal Moisture Content and Open Porosity of Concrete
2.5. Ion Concentration of Pore Solution
3. Results and Discussion
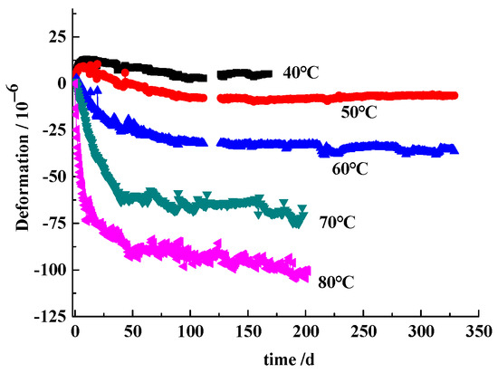
3.1. Deformation of the Reference Concrete
3.2. ASR Expansion
3.3. Internal Moisture Content and Porosity
3.4. Alkali Content in Pore Solution
3.5. Discussion
3.5.1. Contradiction to the Alkali Leaching
3.5.2. The [OH−] Influenced by Temperature
3.5.3. The Effective [OH−] Influenced by Temperature
3.5.4. Temperature Dependency of ASR Expansion
4. Conclusions
- ASR expansion of concrete shows a strong temperature dependency. Increasing the curing temperature accelerates the expansion rate of ASR in the early ages, which exhibits a positive temperature dependency, while increasing the temperature also accelerates the [OH−] reduction, decreases the effective [OH−], and boosts the exudation of ASR gels from aggregates, which shows a reduced, negative temperature dependency.
- The ASR expansion is significantly influenced by the [OH−] in the pore solution of concrete. Increasing the curing temperature may accelerate the decrease in [OH−] and shorten the duration of the rapid expansion stage of concrete. Specimens cured at 50 °C or 60 °C showed the highest expansion during the experimental period. The ASR expansion of specimens cured at higher temperatures was not necessarily greater.
- For the 300 mm × 300 mm × 500 mm specimens, the OH− within concrete for ASR cannot be compensated effectively from the outside alkali solution.
- The temperature dependency of ASR expansion in the large cross-section concrete prisms should be considered when correlating concrete performance at high and low temperatures. In the accelerated test to evaluate ASR for large cross-section specimens, a curing temperature of less than 60 °C is suggested.
Author Contributions
Funding
Institutional Review Board Statement
Informed Consent Statement
Data Availability Statement
Conflicts of Interest
References
- Wang, H.; Gillott, J. Mechanism of alkali-silica reaction and the significance of calcium hydroxide. Cem. Concr. Res. 1991, 21, 647–654. [Google Scholar] [CrossRef]
- Deng, M.; Lan, X.; Xu, Z.; Tang, M. Petrographic characteristic and distribution of reactive aggregates in China. In Proceedings of the 12th International Conference on Alkali-Aggregate Reaction in Concrete, Beijing, China, 15–19 October 2004. [Google Scholar]
- Fournier, B.; Chevrier, R.; Grosbois, M.; Lisella, R.; Folliard, K.; Ideker, J.; Shehata, M.; Thomas, M.; Baxter, S. The accelerated concrete prism test (60 °C): Variability of the test method and proposed expansion limits. In Proceedings of the 12th International Conference on Alkali-Aggregate Reaction in Concrete, Beijing, China, 15–19 October 2004. [Google Scholar]
- Lindgård, J.; Nixon, P.; Borchers, I.; Schouenborg, B.; Wigum, B.J.; Haugen, M.; Åkesson, U. The EU “PARTNER” Project—European standard tests to prevent alkali reactions in aggregate: Final results and recommendations. Cem. Concr. Res. 2010, 40, 611–635. [Google Scholar] [CrossRef]
- Kawabata, Y.; Dunant, C.; Yamada, K.; Scrivener, K. Impact of temperature on expansive behavior of concrete with a highly reactive andesite due to the alkali–silica reaction. Cem. Concr. Res. 2019, 125, 105888. [Google Scholar] [CrossRef]
- Tang, M.; Han, S. Kinetics of alkali-silica reaction. In Proceedings of the 6th International Congress on Alkalis in Concrete, Copenhagen, Denmark, 22–25 June 1983. [Google Scholar]
- Poole, T.; Wong, G. Service life prediction, ASR deterioration. In Proceedings of the Materials Engineering Conference, Infrastructure: New Materials and Methods of Repair, San Diego, CA, USA, 13–16 November 1994. [Google Scholar]
- Larive, C. Apports Combinés de l’expérimentation et de la Modélisation à la Compréhension de l’alcali-réaction et de ses Effets Mécaniques; Ecole Nationale des Ponts et Chaussées: Paris, France, 1997. [Google Scholar]
- Kim, T.; Olek, J.; Jeong, H. Alkali-silica reaction: Kinetics of chemistry of pore solution and calcium hydroxide content in cementitious system. Cem. Concr. Res. 2015, 71, 36–45. [Google Scholar] [CrossRef]
- Ulm, F.; Coussy, O.; Li, K.; Larive, C. Thermo-chemo-mechanics of ASR expansion in concrete structures. J. Eng. Mech. 2000, 126, 233–242. [Google Scholar] [CrossRef]
- Farage, M.; Alves, J.; Fairbairn, E. Macroscopic model of concrete subjected to alkali-aggregate Reaction. Cem. Concr. Res. 2004, 34, 495–505. [Google Scholar] [CrossRef]
- Comi, C.; Fedele, R.; Perego, U. A chemo-thermo-damage model for the analysis of concrete dams affected by alkali-silica reaction. Mech. Mater. 2009, 41, 210–230. [Google Scholar] [CrossRef]
- Diamond, S.; Barneyback, R.; Struble, L. Physics and chemistry of alkali-silica reactions. In Proceedings of the 5th International Conference on Alkali-Aggregate Reaction in Concrete, Cape Town, South Africa, 30 March–3 April 1981. [Google Scholar]
- Kawabata, Y.; Yamada, K.; Sagawa, Y.; Ogawa, S. Alkali-Wrapped Concrete Prism Test (AW-CPT)—New testing protocol toward a performance test against alkali-silica reaction. J. Adv. Concr. Technol. 2018, 16, 441–460. [Google Scholar] [CrossRef]
- Chatterji, S.; Christensen, P. Studies of alkali-silica reaction. Part 7. Modelling of expansion. Cem. Concr. Res. 1990, 20, 285–290. [Google Scholar] [CrossRef]
- Lindgård, J.; Thomas, M.; Sellevold, E.; Pedersen, B.; Andiç-Çakır, Ö.; Justnes, H.; Rønning, T.F. Alkali-silica reaction (ASR)—Performance testing: Influence of specimen pre-treatment, exposure conditions and prism size on alkali leaching and prism expansion. Cem. Concr. Res. 2013, 53, 68–90. [Google Scholar] [CrossRef]
- Ideker, J.; East, B.; Folliard, K.; Thomas, M.D.; Fournier, B. The current state of the accelerated concrete prism test. Cem. Concr. Res. 2010, 40, 550–555. [Google Scholar] [CrossRef]
- Dunant, C.; Scrivener, K. Micro-mechanical modelling of alkali-silica-reaction-induced degradation using the AMIE framework. Cem. Concr. Res. 2010, 40, 517–525. [Google Scholar] [CrossRef]
- Putatatsananon, W.; Saouma, V. Chemo-mechanical micromodel for alkali-silica reaction. ACI Mater. J. 2013, 110, 67–77. [Google Scholar]
- Multon, S.; Sellier, A. Multi-scale analysis of alkali–silica reaction (ASR): Impact of alkali leaching on scale effects affecting expansion tests. Cem. Concr. Res. 2016, 81, 122–123. [Google Scholar] [CrossRef]
- Takahashi, Y.; Ogawa, S.; Tanaka, Y.; Maekawa, K. Scale-dependent ASR expansion of concrete and its prediction coupled with silica gel generation and migration. J. Adv. Concr. Technol. 2016, 14, 444–463. [Google Scholar] [CrossRef]
- Miura, T.; Multon, S.; Kawabata, Y. Influence of the distribution of expansive sites in aggregates on the microscopic damage due to alkali-silica reaction (ASR)—Insights into the mechanical origin of expansion. Cem. Concr. Res. 2021, 142, 1–18. [Google Scholar] [CrossRef]
- Sanchez, L.; Fournier, B.; Jolin, M.; Duchesne, J. Reliable quantification of AAR damage through assessment of the Damage Rating Index (DRI). Cem. Concr. Res. 2015, 67, 74–92. [Google Scholar] [CrossRef]
- Dunant, C.; Scrivener, K. Effects of aggregate size on alkali-silica reaction induced expansion. Cem. Concr. Res. 2012, 42, 745–751. [Google Scholar] [CrossRef]
- Thomas, M.; Fournier, B.; Folliard, K.; Ideker, J.; Shehata, M. Tests methods for evaluating preventive measures for controlling expansion due to alkali-silica reaction in concrete. Cem. Concr. Res. 2006, 36, 1842–1856. [Google Scholar] [CrossRef]
- Hobbs, D. Alkali-Silica Reaction in Concrete; Thomas Telford Ltd.: London, UK, 1988. [Google Scholar]
- Glasser, F. Chemistry of the alkali-aggregate reaction. In The Alkali Silica Reaction in Concrete; Swamy, R., Ed.; Van Nostrand Reinhold: New York, NY, USA, 1992. [Google Scholar]
- ASTM C1260; Standard Test Method for Potential Alkali Reactivity of Aggregates (Mortar-Bar Method). ASTM International: West Conshohocken, PA, USA, 1994.
- ASTM C1293; Standard Test Method for Determination of Length Change of Concrete Due to AlkaliSilica Reaction. ASTM International: West Conshohocken, PA, USA, 2009.
- Barneyback, R.; Diamond, S. Expression and analysis of pore fluids from hardened cement paste and mortars. Cem. Concr. Res. 1981, 11, 279–285. [Google Scholar] [CrossRef]
- Liu, C. Experimental Investigation on Suppression and Expansion Prediction of Alkali-Silica Reaction in Concrete. Master’s Thesis, China Institute of Water Resources and Hydropower Research, Beijing, China, 2006. (In Chinese). [Google Scholar]
- Ke, J. Kinetics of Expansion due to Alkali-Aggregate Reaction and Expansion Prediction. Master’s Thesis, Nanjing Tech University, Nanjing, China, 2008. (In Chinese). [Google Scholar]
- Rogers, C.; Hooton, R. Reduction in mortar and concrete expansion with reactive aggregates due to alkali leaching. Cem. Concr. Aggreg. 1991, 13, 42–49. [Google Scholar] [CrossRef]
- Lothenbach, B.; Winnefeld, F.; Alder, C.; Wieland, E.; Lunk, P. Effect of temperature on the pore solution microstructure and hydration products of Portland cement pastes. Cem. Concr. Res. 2007, 37, 483–491. [Google Scholar] [CrossRef]
- Durand, B.; Bérand, J.; Roux, R.; Soles, J. Alkali-silica reaction: The relation between pore solution characteristics and expansion test results. Cem. Concr. Res. 1990, 20, 419–428. [Google Scholar] [CrossRef]
- Diamond, S. Alkali reactions in concrete—Pore solution effects. In Proceedings of the Sixth International Conference, Copenhagen, Denmark, 22–25 June 1983. [Google Scholar]
- Yang, Y.; Deng, M.; Mo, L.; Li, W. Kinetics of alkali-silica reaction: Application to the sandstone. Materials 2024, 17, 2956. [Google Scholar] [CrossRef]
- Pabalan, R.; Pitzer, K. Thermodynamics of NaOH(aq) in hydrothermal solutions. Geochim. Cosmochim. Ac. 1987, 51, 829–837. [Google Scholar] [CrossRef]
- Lindgård, J.; Sellevold, E.; Thomas, M.; Pedersen, B.; Justnes, H.; Rønning, T.F. Alkali–silica reaction (ASR)-performance testing: Influence of specimen pre-treatment, exposure conditions and prism size on concrete porosity, moisture state and transport properties. Cem. Concr. Res. 2013, 53, 145–167. [Google Scholar] [CrossRef]






| Sample | Chemical Composition/wt.% | |||||||||
|---|---|---|---|---|---|---|---|---|---|---|
| SiO2 | Al2O3 | Fe2O3 | CaO | MgO | SO3 | K2O | Na2O | L.O.I | Total | |
| Cement LA | 19.56 | 4.28 | 4.17 | 63.61 | 1.27 | 2.05 | 0.53 | 0.21 | 3.19 | 98.87 |
| Concrete Type | Na2Oe /(kg/m3) | Mix Proportions/(kg/m3) | ||||||
|---|---|---|---|---|---|---|---|---|
| Cement | Water | Fine Aggregate | Coarse Aggregate | SP | ||||
| 5–20 mm | 20–40 mm | 40–80 mm | ||||||
| 3-graded | 5.25 | 204 | 102 | 605 | 468 | 468 | 624 | 1.8 |
| 2-graded | 5.25 | 280 | 140 | 614 | 715 | 715 | - | 1.8 |
| Reference | 1.60 | 280 | 140 | 614 | 715 | 715 | - | 1.1 |
| Samples Cured at | Internal Moisture Content/% | Porosity/% |
|---|---|---|
| 40 °C | 6.41 | 7.81 |
| 60 °C | 6.47 | 9.30 |
| 80 °C | 6.55 | 9.72 |
| Curing Time/Days | 0 | 7 | 14 | 28 | 180 | 365 | |
|---|---|---|---|---|---|---|---|
| [K+]/(mmol/L) | 40 °C | 212.3 | 231.6 | 193.0 | 155.7 | 130.7 | 39.8 |
| 60 °C | 141.5 | 111.2 | 102.5 | 70.8 | 26.5 | ||
| 80 °C | 128.9 | 106.2 | 56.6 | 25.0 | 23.6 | ||
| [Na+]/(mmol/L) | 40 °C | 523.5 | 616.0 | 557.4 | 451.8 | 372.6 | 262.2 |
| 60 °C | 443.7 | 353.4 | 300.4 | 179.3 | 201.7 | ||
| 80 °C | 403.4 | 419.5 | 236.6 | 94.9 | 143.4 | ||
| ([K+] + [Na+])/(mmol/L) | 40 °C | 735.8 | 847.6 | 750.4 | 607.5 | 503.3 | 302.0 |
| 60 °C | 585.2 | 464.6 | 402.9 | 250.1 | 228.2 | ||
| 80 °C | 532.3 | 525.7 | 293.2 | 119.9 | 167.0 | ||
| [OH−]/(mmol/L) | 40 °C | 515.8 | 496.2 | 441.8 | 394.9 | 346.8 | 220.3 |
| 60 °C | 375.3 | 336.0 | 233.6 | 161.4 | - | ||
| 80 °C | 302.3 | 293.6 | 112.9 | 78.2 | - | ||
| Curing Time/Days | Ion Concentration of Pore Solution/(mmol/L) | |||||||||
|---|---|---|---|---|---|---|---|---|---|---|
| 40 °C | 60 °C | 80 °C | ||||||||
| [K+] | [Na+] | [OH−] | [K+] | [Na+] | [OH−] | [K+] | [Na+] | [OH−] | ||
| 0 | 331.5 | 786.7 | 658.4 | 331.5 | 786.7 | 658.4 | 331.5 | 786.7 | 658.4 | |
| 28 | Outer | 212.3 | 676.6 | 484.0 | 252.5 | 558.2 | 379.4 | 185.1 | 455.1 | 285.4 |
| Inner | 297.3 | 748.6 | 503.4 | 261.0 | 564.7 | 453.8 | 245.4 | 530.6 | 301.2 | |
| 60 | Outer | 225.6 | 595.0 | 378.1 | 177.9 | 505.8 | 287.8 | 109.2 | 451.8 | 165.9 |
| Inner | 253.2 | 608.1 | 409.5 | 160.7 | 427.3 | 268.2 | 148.6 | 441.0 | 153.3 | |
| 365 | Outer | 88.9 | 630.4 | 348.9 | 56.3 | 412.8 | 213.9 | 26.5 | 363.0 | 60.5 |
| Inner | 100.3 | 546.8 | 322.7 | 70.2 | 402.7 | 179.4 | 45.0 | 388.9 | 29.3 | |
Disclaimer/Publisher’s Note: The statements, opinions and data contained in all publications are solely those of the individual author(s) and contributor(s) and not of MDPI and/or the editor(s). MDPI and/or the editor(s) disclaim responsibility for any injury to people or property resulting from any ideas, methods, instructions or products referred to in the content. |
© 2024 by the authors. Licensee MDPI, Basel, Switzerland. This article is an open access article distributed under the terms and conditions of the Creative Commons Attribution (CC BY) license (https://creativecommons.org/licenses/by/4.0/).
Share and Cite
Yang, Y.; Deng, M.; Mo, L.; Li, W. Effects of Curing Temperature on Expansion of Concrete Due to ASR. Materials 2024, 17, 3140. https://doi.org/10.3390/ma17133140
Yang Y, Deng M, Mo L, Li W. Effects of Curing Temperature on Expansion of Concrete Due to ASR. Materials. 2024; 17(13):3140. https://doi.org/10.3390/ma17133140
Chicago/Turabian StyleYang, Yongfu, Min Deng, Liwu Mo, and Wei Li. 2024. "Effects of Curing Temperature on Expansion of Concrete Due to ASR" Materials 17, no. 13: 3140. https://doi.org/10.3390/ma17133140
APA StyleYang, Y., Deng, M., Mo, L., & Li, W. (2024). Effects of Curing Temperature on Expansion of Concrete Due to ASR. Materials, 17(13), 3140. https://doi.org/10.3390/ma17133140
