Effects of Alumina Bubble Addition on the Properties of Corundum–Spinel Castables Containing Cr2O3
Abstract
1. Introduction
2. Experimental
2.1. Material Preparation and Characterization
2.2. Fractal Method
3. Results and Discussion
3.1. Characterization of Alumina Bubbles
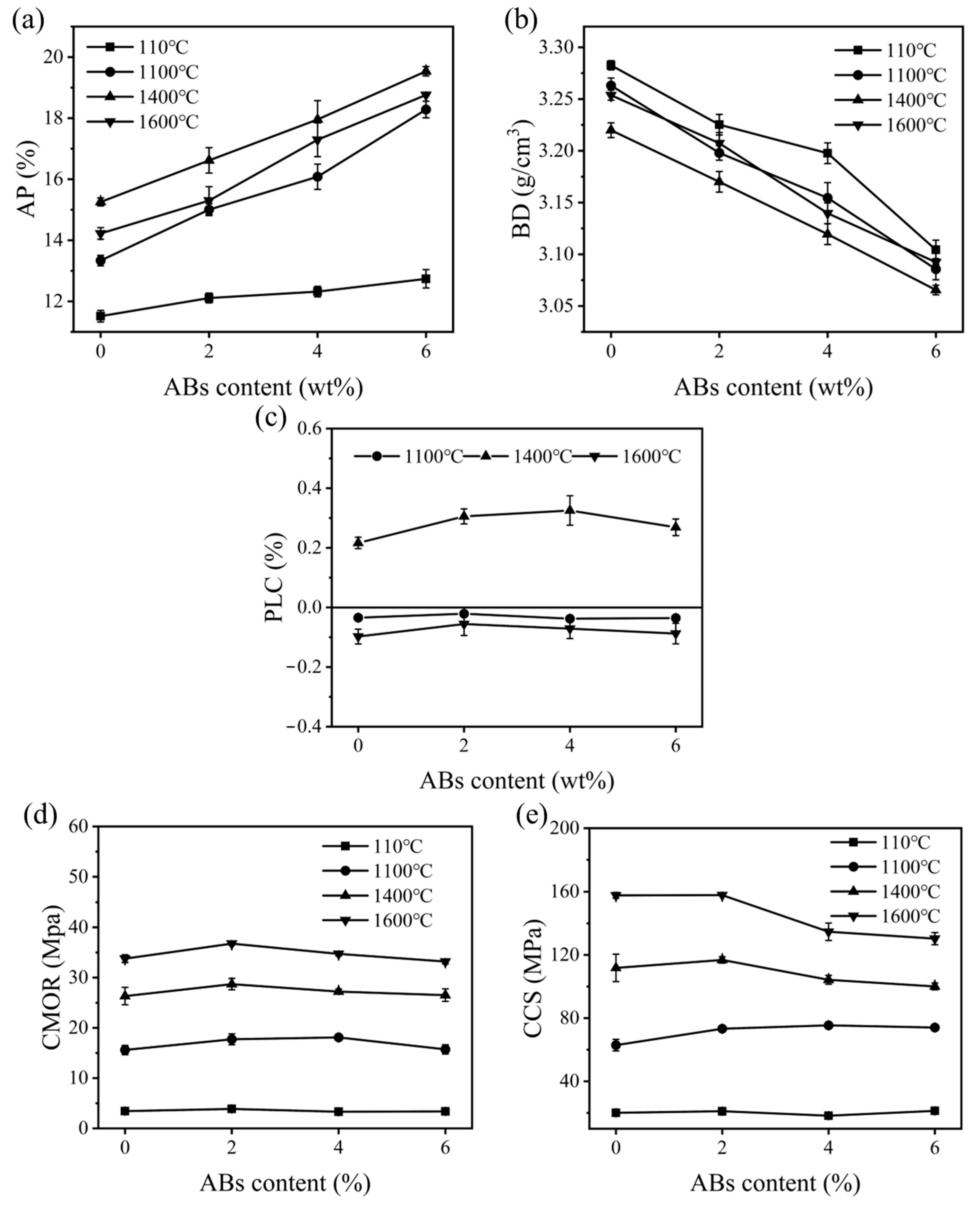
3.2. Physical Properties of the Castables
3.3. Thermo-Mechanical Properties of the Castables
3.4. Aggregate Distribution of the Castables
3.5. Discussion
4. Conclusions
Author Contributions
Funding
Institutional Review Board Statement
Informed Consent Statement
Data Availability Statement
Conflicts of Interest
References
- Nag, M.; Agrawal, T.; Nag, B.; Singh, B.; Biswas, S. Study and Post Mortem Analysis of Steel Ladle Porous Plug to Improve Bottom Purging Efficiency for Cleaner Steel. Eng. Fail. Anal. 2019, 101, 447–455. [Google Scholar] [CrossRef]
- Tripathi, P.K.; Kumar, D.S.; Sarkar, A.; Vishwanath, S.C. Optimization of Bath Mixing and Steel Cleanliness during Steel Refining through Physical and Mathematical Modeling. Sadhana-Acad. Proc. Eng. Sci. 2021, 46, 146. [Google Scholar] [CrossRef]
- Tan, F.; He, Z.; Jin, S.; Cai, H.; Li, B.; Li, Y.; Harmuth, H. Thermomechanical Analysis of Purging Plugs by Applying Fluid–Solid Conjugate Heat Transfer Modeling. Steel Res. Int. 2019, 90, 1900213. [Google Scholar] [CrossRef]
- Long, B.; Xu, G.; Buhr, A.; Jin, S.; Harmuth, H. Fracture Behaviour and Microstructure of Refractory Materials for Steel Ladle Purging Plugs in the System Al2O3-MgO-CaO. Ceram. Int. 2017, 43, 9679–9685. [Google Scholar] [CrossRef]
- Tan, F.; Jin, S.; He, Z.; Li, Y. Numerical Analysis of the Irreversible Behavior of Corundum Castable Purging Plugs during Service. JOM 2021, 73, 2911–2919. [Google Scholar] [CrossRef]
- Kumar, S.; Sarkar, R. Alumina-Spinel Castable for Steel Ladles: An Overview. Int. J. Appl. Ceram. Technol. 2023, 20, 410–423. [Google Scholar] [CrossRef]
- Khalil, N.M. Heat Resistance and Thermomechanical Behaviour of Ultralow and Zero Cement Castables. Adv. Appl. Ceram. 2004, 103, 37–41. [Google Scholar] [CrossRef]
- Zhao, F.; Ge, T.; Zhang, L.; Xu, E.; Gao, J.; Liu, X. A Novel Method for the Fabrication of Porous Calcium Hexaluminate (CA6) Ceramics Using Pre-Fired CaO/Al2O3 Pellets as Calcia Source. Ceram. Int. 2020, 46, 4762–4770. [Google Scholar] [CrossRef]
- Qiu, W.; Ruan, G.; Ouyang, J.; Zhao, Y.; Xu, G. Effect of Spinel Kinds on Properties of Alumina—Spinel Castables. Int. J. Appl. Ceram. Technol. 2014, 11, 993–1000. [Google Scholar] [CrossRef]
- Qu, J.; Ding, D.; Xiao, G.; Lei, C.; Chen, J.; Luo, J.; Zang, Y. Preparation of CaCO3 Coated Corundum Aggregates by Dip-Coating and Heat Treatment and Its Effects on the Properties and Microstructures of Al2O3–MgO Castables. Ceram. Int. 2022, 48, 5174–5186. [Google Scholar] [CrossRef]
- Liu, Y.; Han, B.; Zhang, T.; Yu, H.; Yan, W.; Wei, Y.; Li, N. Effect of Zirconia Particle Size on the Properties of Alumina-Spinel Castables. Ceram. Int. 2016, 42, 16961–16968. [Google Scholar] [CrossRef]
- Tang, H.; Li, C.; Gao, J.; Touzo, B.; Liu, C.; Yuan, W. Optimization of Properties for Alumina-Spinel Refractory Castables by CMA (CaO-MgO-Al2O3) Aggregates. Materials 2021, 14, 3050. [Google Scholar] [CrossRef]
- Chen, H.; Zhao, L.; He, X.; Fang, W.; Lei, Z.X.; Chen, H. The Fabrication of Porous Corundum Spheres with Core-Shell Structure for Corundum-Spinel Castables. Mater. Des. 2015, 85, 574–581. [Google Scholar] [CrossRef]
- Liu, G.; Jin, X.; Qiu, W.; Ruan, G.; Li, Y. The Impact of Bonite Aggregate on the Properties of Lightweight Cement-Bonded Bonite-Alumina-Spinel Refractory Castables. Ceram. Int. 2016, 42, 4941–4951. [Google Scholar] [CrossRef]
- Liu, J.; Zhao, L.; Jia, G.; Wang, S.; Cui, J.; Guo, H.; Liu, X.; Zhang, S.; Jia, Q. Preparation of Resin Coated Alumina Aggregate and Its Effect on the Properties of Alumina-Spinel Castables for Purging Plugs. Ceram. Int. 2022, 48, 35398–35405. [Google Scholar] [CrossRef]
- Geng, H.; Hu, X.; Zhou, J.; Xu, X.; Wang, M.; Guo, A.; Du, H.; Liu, J. Fabrication and Compressive Properties of Closed-Cell Alumina Ceramics by Binding Hollow Alumina Spheres with High-Temperature Binder. Ceram. Int. 2016, 42, 16071–16076. [Google Scholar] [CrossRef]
- Xin, Y.; Jian, Y.; Yin, H.; Tang, Y.; Yuan, H.; Liu, Y. The Influence of Alumina Bubbles on the Properties of Lightweight Corundum–Spinel Refractory. Materials 2023, 16, 5908. [Google Scholar] [CrossRef]
- Li, M.; Li, Y.; Ouyang, D.; Chen, R.; Li, S. The Impact of Alumina Bubble Particle Size on the Microstructure and Physical Properties of Mullite Castables. Ceram. Int. 2019, 45, 1928–1939. [Google Scholar] [CrossRef]
- Pentland, A.P. Fractal-Based Description of Natural Scenes. IEEE Trans. Pattern Anal. Mach. Intell. 1984, PAMI-6, 661–674. [Google Scholar] [CrossRef]
- Benoit, B.M. Self-Affine Fractals and Fractal Dimension. Phys. Scr. 1985, 32, 257. [Google Scholar]
- Tang, H.P.; Wang, J.Z.; Zhu, J.L.; Ao, Q.B.; Wang, J.Y.; Yang, B.J.; Li, Y.N. Fractal Dimension of Pore-Structure of Porous Metal Materials Made by Stainless Steel Powder. Powder Technol. 2012, 217, 383–387. [Google Scholar] [CrossRef]
- Wang, L.; Jin, M.; Wu, Y.; Zhou, Y.; Tang, S. Hydration, Shrinkage, Pore Structure and Fractal Dimension of Silica Fume Modified Low Heat Portland Cement-Based Materials. Constr. Build. Mater. 2021, 272, 121952. [Google Scholar] [CrossRef]
- Zeng, Q.; Luo, M.; Pang, X.; Li, L.; Li, K. Surface Fractal Dimension: An Indicator to Characterize the Microstructure of Cement-Based Porous Materials. Appl. Surf. Sci. 2013, 282, 302–307. [Google Scholar] [CrossRef]
- Fang, J.B.; Cao, Y.Q.; Chang, S.Z.; Teng, F.R.; Wu, D.; Li, A.D. Dual-Design of Nanoporous to Compact Interface via Atomic/Molecular Layer Deposition Enabling a Long-Life Silicon Anode. Adv. Funct. Mater. 2022, 32, 2109682. [Google Scholar] [CrossRef]
- Matsuoka, S. Fractal Character of Fracture Surfaces on Metals. Zairyo-to-Kankyo 1991, 40, 498–505. [Google Scholar] [CrossRef][Green Version]
- Foroutan-pour, K.; Dutilleul, P.; Smith, D.L. Advances in the Implementation of the Box-Counting Method of Fractal Dimension Estimation. Appl. Math. Comput. 1999, 105, 195–210. [Google Scholar] [CrossRef]
- Fan, L.W.; Hu, Y.C.; Tian, T.; Yu, Z.T. The Prediction of Effective Thermal Conductivities Perpendicular to the Fibres of Wood Using a Fractal Model and an Improved Transient Measurement Technique. Int. J. Heat Mass Transf. 2006, 49, 4116–4123. [Google Scholar] [CrossRef]
- Xin, Y.L.; Yin, H.F.; Tang, Y.; Yuan, H.D.; Ren, X.H.; Gao, K.; Wan, Q.F.; Liu, Y.C. Effect of Alumina Bubbles with and without Al2O3 Coatings on the Performance of Lightweight Al2O3-MgAl2O4 Refractories. Int. J. Appl. Ceram. Technol. 2020, 17, 2622–2628. [Google Scholar] [CrossRef]
- Zhenjuan, H.; Luquan, W.; Xiaomng, P.; Zhengwei, Y.; Maolin, L.; Tianhua, Y. Research on Relationship between Value of Box Dimension in Fractal Theory and Phase Volume of the Second Phase Particles. Powder Metall. Technol. 2016, 34, 16–20. [Google Scholar]
- Yin, Y.; Ren, Q.; Shen, L. Study on the Effect of Aggregate Distribution on Mechanical Properties and Damage Cracks of Concrete Based on Multifractal Theory. Constr. Build. Mater. 2020, 262, 120086. [Google Scholar] [CrossRef]








Disclaimer/Publisher’s Note: The statements, opinions and data contained in all publications are solely those of the individual author(s) and contributor(s) and not of MDPI and/or the editor(s). MDPI and/or the editor(s) disclaim responsibility for any injury to people or property resulting from any ideas, methods, instructions or products referred to in the content. |
© 2024 by the authors. Licensee MDPI, Basel, Switzerland. This article is an open access article distributed under the terms and conditions of the Creative Commons Attribution (CC BY) license (https://creativecommons.org/licenses/by/4.0/).
Share and Cite
Chen, H.; Shi, X.; Chen, J.; Sang, M.; Ma, H.; Liu, X.; Jia, Q. Effects of Alumina Bubble Addition on the Properties of Corundum–Spinel Castables Containing Cr2O3. Materials 2024, 17, 3139. https://doi.org/10.3390/ma17133139
Chen H, Shi X, Chen J, Sang M, Ma H, Liu X, Jia Q. Effects of Alumina Bubble Addition on the Properties of Corundum–Spinel Castables Containing Cr2O3. Materials. 2024; 17(13):3139. https://doi.org/10.3390/ma17133139
Chicago/Turabian StyleChen, Haonan, Xingfu Shi, Jing Chen, Mengyang Sang, Haoxuan Ma, Xinhong Liu, and Quanli Jia. 2024. "Effects of Alumina Bubble Addition on the Properties of Corundum–Spinel Castables Containing Cr2O3" Materials 17, no. 13: 3139. https://doi.org/10.3390/ma17133139
APA StyleChen, H., Shi, X., Chen, J., Sang, M., Ma, H., Liu, X., & Jia, Q. (2024). Effects of Alumina Bubble Addition on the Properties of Corundum–Spinel Castables Containing Cr2O3. Materials, 17(13), 3139. https://doi.org/10.3390/ma17133139

