Thermodynamic Simulation Calculations of Phase Transformations in Low-Aluminum Zn-Al-Mg Coatings
Abstract
1. Introduction
2. Experimental Materials and Methods
2.1. Materials Preparation
2.2. Characterization
3. Results and Analysis
3.1. Construction of the CALPHAD Theoretical Model
3.2. Simulation Calculation Results
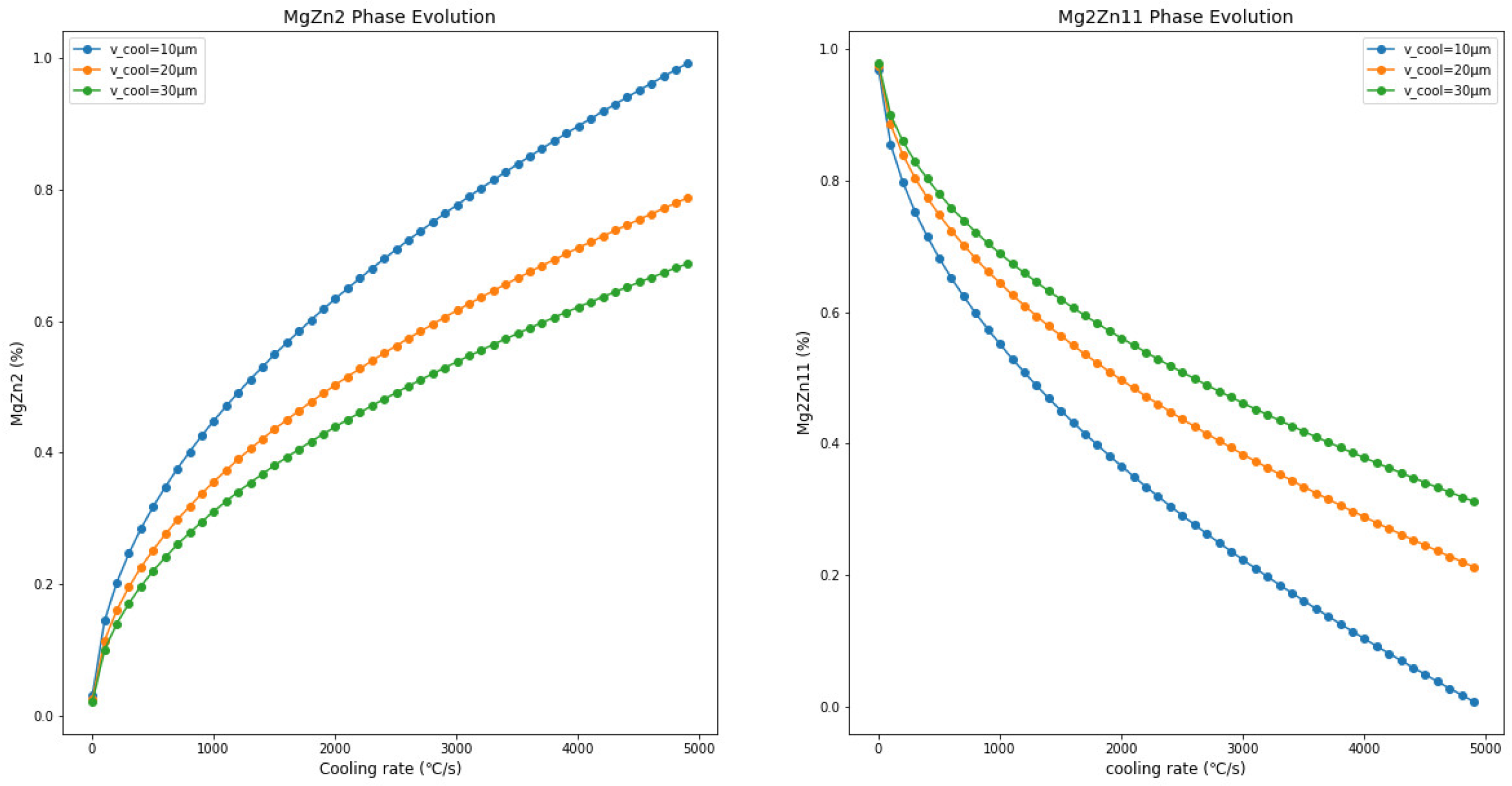
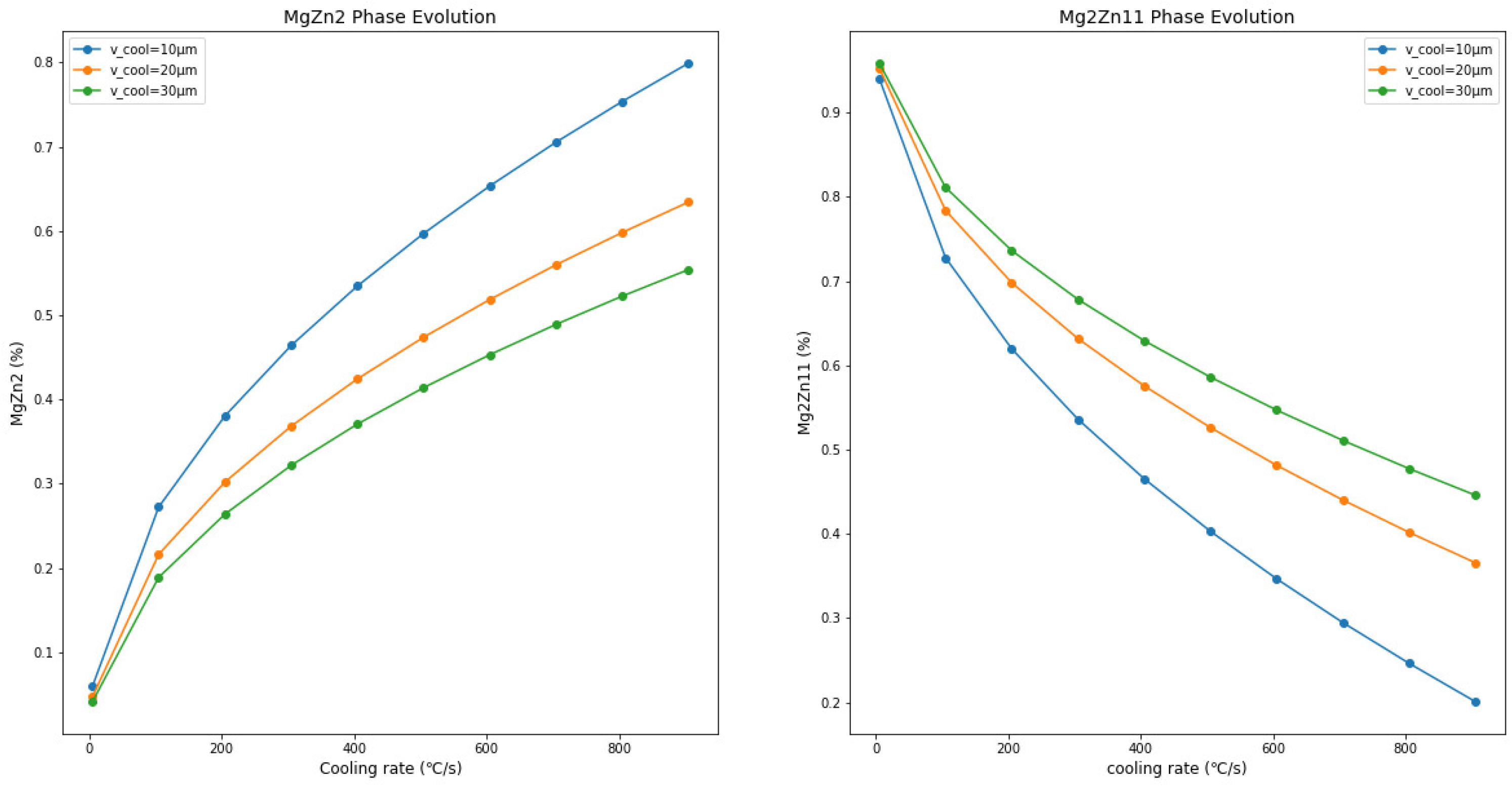
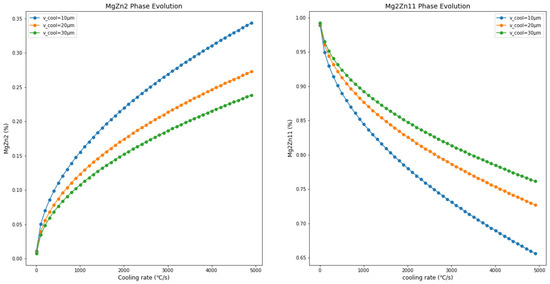
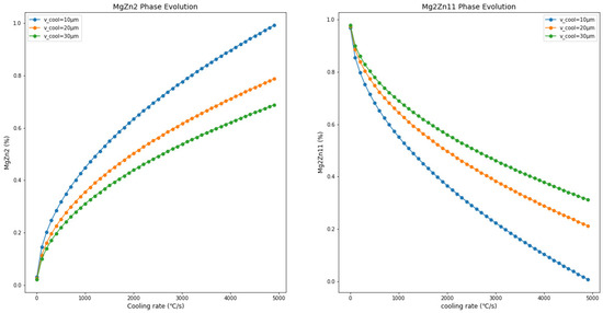
3.3. The Impact of Cooling Rate and Thickness on Coatings
4. Conclusions
- The dominant factors influencing the presence of Mg2Zn11 and MgZn2 phases in the coating: Although the initial simulation results suggested the potential predominance of the Mg2Zn11 phase under Scheil model conditions, experimental detection revealed the MgZn2 phase to be the main existing phase. This discrepancy indicates that under actual cooling conditions, the rapid cooling and micro segregation of alloy components might lead to the preferential formation of the MgZn2 phase, highlighting the complexity and dynamic nature of the non-equilibrium solidification process under experimental conditions.
- The complex impact of cooling rate and coating thickness on phase composition: Variations in cooling rate and coating thickness significantly determine the proportions of the MgZn2 and Mg2Zn11 phases in the coating. Faster cooling rates and thinner coatings tend to promote the formation of the metastable MgZn2 phase, while slower cooling rates facilitate the stability of the Mg2Zn11 phase, as confirmed by experimentally prepared coating samples and XRD analysis. Higher cooling rates will promote the refinement of the coating’s microstructure.
- Consistency and differences between experimental and simulation results: By comparing the experimental and simulation results, we recognize that although thermodynamic simulation provides valuable theoretical predictions, the failure to consider the effects of molecular dynamics resulted in a lack of understanding of the phase transformation principles of Mg2Zn11 and MgZn2 in the simulation results. This should be further explored in future research.
Author Contributions
Funding
Institutional Review Board Statement
Informed Consent Statement
Data Availability Statement
Conflicts of Interest
References
- LeBozec, N.; Thierry, D.; Peltola, A.; Luxem, L.; Luckeneder, G.; Marchiaro, G.; Rohwerder, M. Corrosion performance of Zn-Mg-Al coated steel in accelerated corrosion tests used in the automotive industry and field exposures. Mater. Corros. 2013, 64, 969–978. [Google Scholar] [CrossRef]
- LeBozec, N.; Thierry, D.; Persson, D.; Riener, C.K.; Luckeneder, G. Influence of microstructure of zinc-aluminium-magnesium alloy coated steel on the corrosion behavior in outdoor marine atmosphere. Surf. Coat. Technol. 2019, 374, 897–909. [Google Scholar] [CrossRef]
- Lee, J.-W.; Park, B.R.; Oh, S.-Y.; Yun, D.W.; Hwang, J.K.; Oh, M.-S.; Kim, S.J. Mechanistic study on the cut-edge corrosion behaviors of Zn-Al-Mg alloy coated steel sheets in chloride containing environments. Corros. Sci. 2019, 160, 108170. [Google Scholar] [CrossRef]
- Chen, Z.; Jiang, G.-R.; Chen, L.-F.; Wang, H.-Q.; Liu, G.-H.; Pasang, T.; Lau, K.T.; Zhu, M. Microstructure and Corrosion Resistance Property of a Zn-AI-Mg Alloy with Different Solidification Processes. MATEC Web Conf. 2017, 109, 01004. [Google Scholar] [CrossRef]
- Prosek, T.; Larché, N.; Vlot, M.; Goodwin, F.; Thierry, D. Corrosion performance of Zn-Al-Mg coatings in open and confined zones in conditions simulating automotive applications. Mater. Corros. 2010, 61, 412–420. [Google Scholar] [CrossRef]
- Prosek, T.; Persson, D.; Stoulil, J.; Thierry, D. Composition of corrosion products formed on Zn-Mg, Zn-Al and Zn-Al-Mg coatings in model atmospheric conditions. Corros. Sci. 2014, 86, 231–238. [Google Scholar] [CrossRef]
- Kim, J.N.; Lee, C.S.; Jin, Y.S. Structure and Stoichiometry of MgxZny in Hot-Dipped Zn-Mg-Al Coating Layer on Interstitial-Free Steel. Met. Mater. Int. 2018, 24, 1090–1098. [Google Scholar] [CrossRef]
- Meng, Y.; Jiang, G.; Ju, X.; Hao, J. TEM study on the microstructure of the Zn-Al-Mg alloy. Mater. Charact. 2017, 129, 336–343. [Google Scholar] [CrossRef]
- Prosek, T.; Hagström, J.; Persson, D.; Fuertes, N.; Lindberg, F.; Chocholatý, O.; Taxén, C.; Šerák, J.; Thierry, D. Effect of the microstructure of Zn-Al and Zn-Al-Mg model alloys on corrosion stability. Corros. Sci. 2016, 110, 71–81. [Google Scholar] [CrossRef]
- Yu, K.-c.; Li, J.; Liu, X.; Li, J.-g.; Xue, X.-h. Microstructure of hot-dip galvanized Zn-Al-Mg alloy coating. J. Shanghai Jiaotong Univ. 2012, 17, 663–667. [Google Scholar] [CrossRef]
- Zhang, Z.; Yue, Z.; Li, X.; Jiang, B.; Wang, F.; Fan, Z.; Yan, F.; Li, W.; Wu, Y.; Mi, C.; et al. Microstructure and Corrosion Resistance of Zn-Al-Mg Alloy Diffusion Coating developed on Carbon Steel by Hot Dipping. Int. J. Electrochem. Sci. 2020, 15, 5512–5519. [Google Scholar] [CrossRef]
- Saternus, M.; Kania, H. Effect of Mg on the Formation of Periodic Layered Structure during Double Batch Hot Dip Process in Zn-Al Bath. Materials 2021, 14, 1259. [Google Scholar] [CrossRef]
- Dutta, M.; Halder, A.K.; Singh, S.B. Morphology and properties of hot dip Zn-Mg and Zn-Mg-Al alloy coatings on steel sheet. Surf. Coat. Technol. 2010, 205, 2578–2584. [Google Scholar] [CrossRef]
- Truglas, T.; Duchoslav, J.; Riener, C.; Arndt, M.; Commenda, C.; Stifter, D.; Angeli, G.; Groiss, H. Correlative characterization of Zn-Al-Mg coatings by electron microscopy and FIB tomography. Mater. Charact. 2020, 166, 110407. [Google Scholar] [CrossRef]
- Xu, M.; Han, D.; Zheng, Z.; Ma, R.; Du, A.; Fan, Y.; Zhao, X.; Cao, X. Effects of cooling rate on the microstructure and properties of hot-dipped Zn-Al-Mg coatings. Surf. Coat. Technol. 2022, 444, 128665. [Google Scholar] [CrossRef]
- Hai Tat, L.; Bakhsheshi-Rad, H.R.; Hamzah, E.; Cho, M.H.; Mostafa, A.; Farahany, S. Microstructure, phase evolution and corrosion behaviour of the Zn-Al-Mg-Sb alloy coating on steel. Mater. Sci. Technol. 2020, 36, 353–366. [Google Scholar] [CrossRef]
- Gogola, P.; Gabalcová, Z.; Kusý, M.; Suchánek, H. The Effect of Sn Addition on Zn-Al-Mg Alloy; Part I: Microstructure and Phase Composition. Materials 2021, 14, 5404. [Google Scholar] [CrossRef]
- Mezbahul-Islam, M.; Mostafa, A.O.; Medraj, M. Essential Magnesium Alloys Binary Phase Diagrams and Their Thermochemical Data. J. Mater. 2014, 2014, 704283. [Google Scholar] [CrossRef]
- Aljarrah, M.; Alnahas, J.; Alhartomi, M. Thermodynamic Modeling and Mechanical Properties of Mg-Zn-{Y, Ce} Alloys: Review. Crystals 2021, 11, 1592. [Google Scholar] [CrossRef]
- Dinsdale, A.; Zobac, O.; Kroupa, A.; Khvan, A. Use of third generation data for the elements to model the thermodynamics of binary alloy systems: Part 1—The critical assessment of data for the Al-Zn system. Calphad 2020, 68, 101723. [Google Scholar] [CrossRef]
- Liang, P.; Tarfa, T.; Robinson, J.A.; Wagner, S.; Ochin, P.; Harmelin, M.G.; Seifert, H.J.; Lukas, H.L.; Aldinger, F. Experimental investigation and thermodynamic calculation of the Al-Mg-Zn system. Thermochim. Acta 1998, 314, 87–110. [Google Scholar] [CrossRef]













| Sample No. | Component | Mg (wt.%) (±0.1) | Al (wt.%) (±0.1) | Zn (wt.) (±0.1) |
|---|---|---|---|---|
| ZAM1 | Zn-1Al-1Mg | 1.1 | 1.2 | 97.7 |
| ZAM2 | Zn-2Al-2Mg | 2.2 | 1.9 | 95.9 |
| ZAM3 | Zn-3Al-3Mg | 3.2 | 3.1 | 93.7 |
| Sample No. | Component | Mg (wt.%) (±0.1) | Al (wt.%) (±0.1) | Zn (wt.%) (±0.1) | MgZn2 (wt.%) | Mg2Zn11 (wt.%) |
|---|---|---|---|---|---|---|
| ZAM1 | Zn-1Al-1Mg | 1 | 1 | 97.34 | 0.87 | 99.13 |
| ZAM2 | Zn-2Al-2Mg | 2 | 2 | 97.16 | 2.51 | 97.49 |
| ZAM3 | Zn-3Al-3Mg | 3 | 3 | 95.79 | 4.78 | 95.22 |
Disclaimer/Publisher’s Note: The statements, opinions and data contained in all publications are solely those of the individual author(s) and contributor(s) and not of MDPI and/or the editor(s). MDPI and/or the editor(s) disclaim responsibility for any injury to people or property resulting from any ideas, methods, instructions or products referred to in the content. |
© 2024 by the authors. Licensee MDPI, Basel, Switzerland. This article is an open access article distributed under the terms and conditions of the Creative Commons Attribution (CC BY) license (https://creativecommons.org/licenses/by/4.0/).
Share and Cite
Zhang, Z.; Zhang, J.; Zhao, X.; Cheng, X.; Liu, X.; Zhang, Q. Thermodynamic Simulation Calculations of Phase Transformations in Low-Aluminum Zn-Al-Mg Coatings. Materials 2024, 17, 2719. https://doi.org/10.3390/ma17112719
Zhang Z, Zhang J, Zhao X, Cheng X, Liu X, Zhang Q. Thermodynamic Simulation Calculations of Phase Transformations in Low-Aluminum Zn-Al-Mg Coatings. Materials. 2024; 17(11):2719. https://doi.org/10.3390/ma17112719
Chicago/Turabian StyleZhang, Ziyue, Jie Zhang, Xingyuan Zhao, Xuequn Cheng, Xin Liu, and Qifu Zhang. 2024. "Thermodynamic Simulation Calculations of Phase Transformations in Low-Aluminum Zn-Al-Mg Coatings" Materials 17, no. 11: 2719. https://doi.org/10.3390/ma17112719
APA StyleZhang, Z., Zhang, J., Zhao, X., Cheng, X., Liu, X., & Zhang, Q. (2024). Thermodynamic Simulation Calculations of Phase Transformations in Low-Aluminum Zn-Al-Mg Coatings. Materials, 17(11), 2719. https://doi.org/10.3390/ma17112719
