Combustion Synthesis of Functionalized Carbonated Boron Nitride Nanoparticles and Their Potential Application in Boron Neutron Capture Therapy
Abstract
1. Introduction
2. Materials and Methods
2.1. Synthesis and Characterization of Boron Nitride Nanoparticles
2.2. Cell Cultures
2.3. MTT Cell Proliferation Assay
2.4. Preparation of FITC-Labeled BN-17
2.5. Flow Cytometry Analysis
2.6. Fluorescence Microscopy
2.7. Statistical Analysis
3. Results
3.1. Synthesis and Purification of CBNs
3.2. Characterization of CBN Samples
3.3. Physicochemical Characteristics of BN-14 and BN-17 Nanoparticles
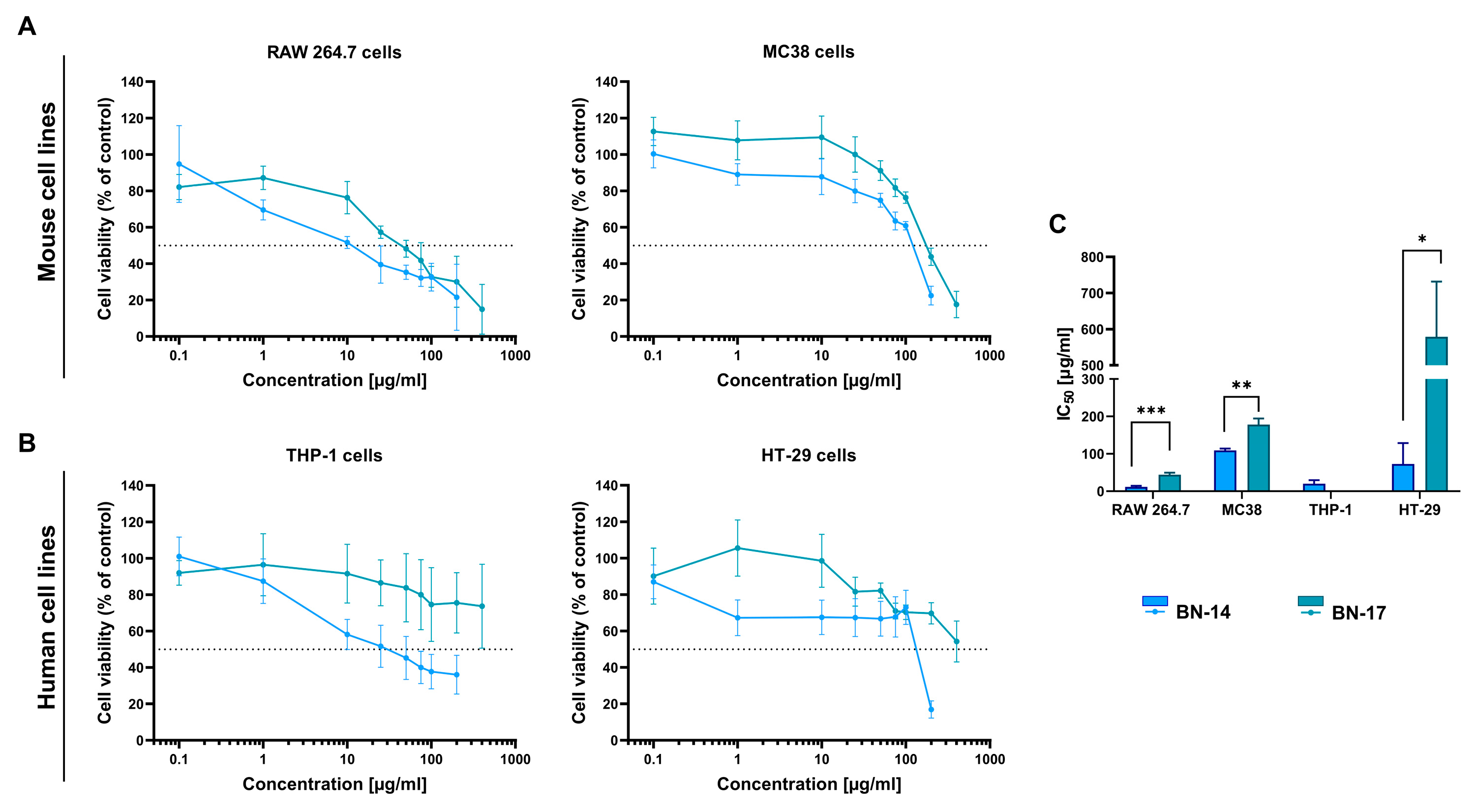
3.4. Effect of CBN Preparations on the Viability of Normal and Cancer Cells
3.5. Interaction of the FITC-Labeled Boron Nitride Compound with Normal and Cancer Cells
4. Discussion
Supplementary Materials
Author Contributions
Funding
Institutional Review Board Statement
Informed Consent Statement
Data Availability Statement
Conflicts of Interest
References
- Batsanov, S.S. Features of phase transformations in boron nitride. Diam. Relat. Mater. 2011, 20, 660–664. [Google Scholar] [CrossRef]
- Gonzalez-Ortiz, D.; Salameh, C.; Bechelany, M.; Miele, P. Nanostructured boron nitride-based materials: Synthesis and applications. Mater. Today Adv. 2020, 8, 100107. [Google Scholar] [CrossRef]
- Kaur, M.; Singh, P.; Singh, K.; Gaharwar, U.S.; Meena, R.; Kumar, M.; Nakagawa, F.; Wu, S.; Suzuki, M.; Nakamura, H.; et al. Boron nitride (10BN) a prospective material for treatment of cancer by boron neutron capture therapy (BNCT). Mater. Lett. 2020, 259, 126832. [Google Scholar] [CrossRef]
- Zhi, C.; Hanagata, N.; Bando, Y.; Golberg, D. Dispersible shortened boron nitride nanotubes with improved molecule-loading capacity. Chem. Asian J. 2011, 6, 2530–2535. [Google Scholar] [CrossRef]
- Li, L.; Li, L.H.; Ramakrishnan, S.; Dai, X.J.; Nicholas, K.; Chen, Y.; Chen, Z.; Liu, X. Controlling wettability of boron nitride nanotube films and improved cell proliferation. J. Phys. Chem. C 2012, 116, 18334–18339. [Google Scholar] [CrossRef]
- Lee, C.H.; Drelich, J.; Yap, Y.K. Super-hydrophobicity of boron nitride nanotubes grown on silicon substrates. Langmuir 2009, 25, 4853–4860. [Google Scholar] [CrossRef]
- Xie, S.-Y.; Wang, W.; Shiral Fernando, K.A.; Wang, X.; Lin, Y.; Sun, Y.-P. Solubilization of boron nitride nanotubes. Chem. Commun. 2005, 29, 3670–3672. [Google Scholar] [CrossRef]
- Chen, X.; Wu, P.; Rousseas, M.; Okawa, D.; Gartner, Z.; Zettl, A.; Bertozzi, C.R. Boron nitride nanotubes are non-cytotoxic and can be functionalized for interaction with proteins and cells. J. Am. Chem. Soc. 2009, 131, 890–891. [Google Scholar] [CrossRef]
- Maguer, A.; Leroy, E.; Bresson, L.; Doris, E.; Loiseau, A.; Mioskowski, C. A versatile strategy for the functionalization of boron nitride nanotubes. J. Mater. Chem. 2009, 19, 1271–1275. [Google Scholar] [CrossRef]
- Lahiri, D.; Rouzaud, F.; Richard, T.; Keshri, A.K.; Bakshi, S.R.; Kos, L.; Agarwal, A. Boron nitride nanotube reinforced polylactide-polycaprolactone copolymer composite: Mechanical properties and cytocompatibility with osteoblasts and macrophages in vitro. Acta Biomater. 2010, 6, 3524–3533. [Google Scholar] [CrossRef]
- Zhi, C.; Bando, Y.; Tang, C.; Xie, R.; Sekiguchi, T.; Golberg, D. Perfectly dissolved boron nitride nanotubes due to polymer wrapping. J. Am. Chem. Soc. 2005, 127, 15996–15997. [Google Scholar] [CrossRef]
- Marchesini, S.; McGilvery, C.M.; Bailey, J.; Petit, C. Template-free synthesis of highly porous boron nitride: Insight into pore network design and impact on gas sorption. ACS Nano 2017, 11, 10003–10011. [Google Scholar] [CrossRef]
- Weng, Q.; Wang, B.; Wang, X.; Hanagata, N.; Li, X.; Liu, D.; Wang, X.; Jiang, X.; Bando, Y.; Golberg, D. Highly water-soluble, porous and biocompatible boron nitrides for anticancer drug delivery. ASC Nano 2014, 8, 6123–6130. [Google Scholar] [CrossRef]
- Sainsbury, T.; Satti, A.; May, P.; Wang, Z.; McGovern, I.; Gun’ko, Y.K.; Coleman, J. Oxygen radical functionalization of boron nitride nanosheets. J. Am. Chem. Soc. 2012, 134, 18758–18771. [Google Scholar] [CrossRef]
- Pakdel, A.; Zhi, C.; Bando, Y.; Nakayama, T.; Golberg, D. Boron nitride nanosheet coatings with controllable water repellency. ACS Nano 2011, 5, 6507–6515. [Google Scholar] [CrossRef]
- Lin, Y.; Williams, T.V.; Connell, J.W. Soluble exfoliated hexagonal boron nitride nanosheets. J. Phys. Chem. Lett. 2010, 1, 277–283. [Google Scholar] [CrossRef]
- Xiong, C.; Tu, W. Synthesis of water-dispersible boron nitride nanoparticles. Eur. J. Inorg. Chem. 2014, 2014, 3010–3015. [Google Scholar] [CrossRef]
- Salles, V.; Bernard, S. A review on the preparation of borazine-derived boron-nitride nanoparticles and nanopolyhedrons by spray-pyrolysis and annealing process. Nanomater. Nanotechnol. 2016, 6. [Google Scholar] [CrossRef]
- Tang, C.; Bando, Y.; Huang, Y.; Zhi, C.; Golberg, D. Synthetic routs and formation mechanisms of spherical boron nitride nanoparticles. Adv. Funct. Mater. 2008, 18, 3653–3661. [Google Scholar] [CrossRef]
- Wood, G.L.; Janik, J.F.; Pruss, E.A.; Dreissig, D.; Kroenke, W.J.; Habereder, T.; Nöth, H.; Paine, R.T. Aerosol synthesis of spherical morphology boron nitride powders from organoborate precursors. Chem. Mater. 2006, 18, 1434–1442. [Google Scholar] [CrossRef]
- Merlo, A.; Mokkapati, V.R.S.S.; Pandit, S.; Mijakovic, I. Boron nitride nanomaterials: Biocompatibility and bio-applications. Biomater. Sci. 2018, 6, 2298–2311. [Google Scholar] [CrossRef] [PubMed]
- Zhi, C.; Bando, Y.; Tang, C.; Kuwahara, H.; Goldberg, D. Large-scale fabrication of boron nitride nanosheets and their utilization in polymeric composites with improved thermal and mechanical properties. Adv. Mater. 2009, 21, 2889–2893. [Google Scholar] [CrossRef]
- Lin, Y.; Williams, T.V.; Cao, W.; Elsayed-Ali, H.; Connell, J. Defect functionalization of hexagonal boron nitride nanosheet. J. Phys. Chem. C 2010, 114, 17434–17439. [Google Scholar] [CrossRef]
- Lin, Y.; Williams, T.V.; Xu, T.-B.; Cao, W.; Elsayed-Ali, H.E.; Connell, J.W. Aqueous dispersions of few-layered and monolayered hexagonal boron nitride nanosheets from sonication-assisted hydrolysis: Critical role of water. J. Phys. Chem. C 2011, 115, 2679–2685. [Google Scholar] [CrossRef]
- Joni, I.M.; Balgis, R.; Ogi, T.; Iwaki, T.; Okuyama, K. Surface functionalization for dispersing and stabilizing hexagonal boron nitride by bead milling. Colloids Surf. A Physicochem. Eng. Asp. 2011, 388, 49–58. [Google Scholar] [CrossRef]
- Damm, C.; Körner, J.; Peukert, W. Delamination of hexagonal boron nitride in a stirred media mill. J. Nanopart. Res. 2013, 15, 1561. [Google Scholar] [CrossRef]
- Lei, W.; Mochalin, V.N.; Liu, D.; Qin, S.; Gogotsi, Y.; Chen, Y. Boron nitride colloidal solutions, ultralight aerogels and freestanding membranes through one step exfoliation and functionalization. Nat. Commun. 2015, 6, 8849. [Google Scholar] [CrossRef] [PubMed]
- Lipp, A.; Schwetz, K.A.; Hunold, K. Hexagonal boron nitride: Fabrications, properties and applications. J. Eur. Ceram. Soc. 1989, 5, 3–9. [Google Scholar] [CrossRef]
- Chopra, N.G.; Luyken, R.J.; Cherrey, K.; Crespi, V.H.; Cohen, M.L.; Louie, S.G.; Zettl, A. Boron nitride nanotubes. Science 1995, 269, 966. [Google Scholar] [CrossRef]
- Deepak, F.L.; Vinod, C.P.; Mukhopadhyay, K.; Govindaraj, A.; Rao, C.N.R. Boron nitride nanotubes and nanowires. Chem. Phys. Lett. 2002, 353, 345–352. [Google Scholar] [CrossRef]
- Wang, J.; Gu, Y.; Zhang, L.; Zhao, G.; Zhang, Z. Synthesis of boron nitride nanotubes by self-propagation high-temperature synthesis and annealing method. J. Nanomater. 2010, 2010, 540456. [Google Scholar] [CrossRef]
- Malouff, T.D.; Seneviratne, D.S.; Ebner, D.K.; Stross, W.C.; Waddle, M.R.; Trifiletti, D.M.; Krishnan, S. Boron Neutron Capture Therapy: A Review of Clinical Applications. Front. Oncol. 2021, 26, 601820. [Google Scholar] [CrossRef] [PubMed]
- Nakamura, H.; Koganei, H.; Miyoshi, T.; Sakurai, Y.; Ono, K.; Suzuki, M. Antitumor effect of boron nitride nanotubes in combination with thermal neutron irradiation on BNCT. Bioorganic Med. Chem. Lett. 2015, 15, 172–174. [Google Scholar] [CrossRef] [PubMed]
- Mukasyan, A.S.; Manukyan, K.V. Combustion synthesis—An overview. In Nanomaterials Synthesis; Elsevier: Amsterdam, The Netherlands, 2019; ISBN 978-0-12-815751-0. [Google Scholar]
- Szala, M.; Szymańczyk, L. Synthesis and properties of high energetic azotetrazolate salts. Biul. WAT 2011, 60, 97–106. (In Polish) [Google Scholar]
- Pajtasz-Piasecka, E.; Szyda, A.; Rossowska, J.; Krawczenko, A.; Indrová, M.; Grabarczyk, P.; Wysocki, P.; Mackiewicz, A.; Duś, D. Loss of tumorigenicity of murine colon carcinoma MC38/0 cell line after transduction with a retroviral vector carrying murine IL-12 genes. Folia Biol. 2004, 50, 7–14. [Google Scholar]
- Duong, N.M.H.; Glushkov, E.; Chernev, A.; Navikas, V.; Comtet, J.; Nguyen, M.A.P.; Toth, M.; Radenovic, A.; Tran, T.T.; Aharonovich, I. Facile production of hexagonal boron nitride nanoparticles by cryogenic exfoliation. Nano Lett. 2019, 19, 5417–5422. [Google Scholar] [CrossRef] [PubMed]
- Liu, C.; Fu, K.; Wang, Z.; Cao, C.; Yang, J.; Zhai, Q.; Wang, B.; Zhou, Z.; Ji, J.; Li, M.; et al. Cavitating inside spherical boron nitride nanoparticles dependent on controllable follow-up treated atmospheres. J. Nanopart. Res. 2020, 22, 302. [Google Scholar] [CrossRef]
- Xiong, Y.H.; Xiong, C.S.; Wei, S.Q.; Yang, H.W.; Mai, Y.T.; Xu, W.; Yang, S.; Dai, G.H.; Song, S.J.; Xiong, J.; et al. Study on the bonding state for carbon-boron nitrogen with different ball milling time. Appl. Surf. Sci. 2006, 253, 2515–2521. [Google Scholar] [CrossRef]
- Wen, G.; Zhong, B.; Huang, X.; Yu, H.; Zhang, X.; Zhang, T.; Bai, H. Novel BN hollow microspheres with open mouths–facile synthesis, growth mechanism, resonant Raman scattering effect, and cathodoluminescence performance. Eur. J. Inorg. Chem. 2010, 2010, 5538–5544. [Google Scholar] [CrossRef]
- Blyth, R.I.R.; Buqa, H.; Netzer, F.P.; Ramsey, M.G.; Besenhard, J.O.; Glob, P.; Winter, M. XPS studies of graphite electrode materials for lithium ion batteries. Appl. Surf. Sci. 2000, 167, 99–106. [Google Scholar] [CrossRef]
- Shirasaki, T.; Derré, A.; Menétriér, M.; Tressaud, A.; Flandrois, S. Synthesis and characterization of boron-substituted carbons. Carbon 2000, 38, 1461–1467. [Google Scholar] [CrossRef]
- Jiang, X.-F.; Weng, Q.; Wang, X.B.; Li, X.; Zhang, J.; Golberg, D.; Bando, Y. Recent progress on fabrications and applications of boron nitride materials: A review. J. Mater. Sci. Technol. 2015, 31, 589–598. [Google Scholar] [CrossRef]
- Sing, K.S.W.; Everett, D.H.; Haul, R.A.W.; Moscou, L.; Pierotti, R.A.; Rouquerol, J.; Siemeeniewska, T. Reporting physisorption data for gas/solid systems with special reference to the determination of surface area and porosity. Pure Appl. Chem. 1985, 57, 603–619. [Google Scholar] [CrossRef]
- Kakarla, A.B.; Kong, I.; Baji, A.; Kong, C.; Irving, H. Interaction of boron nitride nanotubes with human embryonic kidney and monocytic cells: In vitro analysis. Mater. Today Commun. 2022, 33, 104694. [Google Scholar] [CrossRef]
- Weng, Q.; Wang, X.; Wang, X.; Bando, Y.; Golberg, D. Functionalized hexagonal boron nitride nanomaterials: Emerging properties and applications. Chem. Soc. Rev. 2016, 45, 3989–4012. [Google Scholar] [CrossRef]
- Mateti, S.; Wong, C.S.; Liu, Z.; Yang, W.; Li, Y.; Li, L.H.; Chen, Y. Biocompatibility of boron nitride nanosheets. Nano Res. 2018, 11, 334–342. [Google Scholar] [CrossRef]






) and BN-17 (
) on pH at a NaCl concentration of 0.0001 M. The dashed line shows the zero value of the zeta potential.
) and BN-17 (
) on pH at a NaCl concentration of 0.0001 M. The dashed line shows the zero value of the zeta potential.
), RPMI supplemented with 5% FBS (
), and RPMI supplemented with 10% FBS (
). The BN bulk concentration was 200 mg L−1.
), RPMI supplemented with 5% FBS (
), and RPMI supplemented with 10% FBS (
). The BN bulk concentration was 200 mg L−1.




Disclaimer/Publisher’s Note: The statements, opinions and data contained in all publications are solely those of the individual author(s) and contributor(s) and not of MDPI and/or the editor(s). MDPI and/or the editor(s) disclaim responsibility for any injury to people or property resulting from any ideas, methods, instructions or products referred to in the content. |
© 2024 by the authors. Licensee MDPI, Basel, Switzerland. This article is an open access article distributed under the terms and conditions of the Creative Commons Attribution (CC BY) license (https://creativecommons.org/licenses/by/4.0/).
Share and Cite
Cudziło, S.; Szermer-Olearnik, B.; Dyjak, S.; Gratzke, M.; Sobczak, K.; Wróblewska, A.; Szczygieł, A.; Mierzejewska, J.; Węgierek-Ciura, K.; Rapak, A.; et al. Combustion Synthesis of Functionalized Carbonated Boron Nitride Nanoparticles and Their Potential Application in Boron Neutron Capture Therapy. Materials 2024, 17, 2438. https://doi.org/10.3390/ma17102438
Cudziło S, Szermer-Olearnik B, Dyjak S, Gratzke M, Sobczak K, Wróblewska A, Szczygieł A, Mierzejewska J, Węgierek-Ciura K, Rapak A, et al. Combustion Synthesis of Functionalized Carbonated Boron Nitride Nanoparticles and Their Potential Application in Boron Neutron Capture Therapy. Materials. 2024; 17(10):2438. https://doi.org/10.3390/ma17102438
Chicago/Turabian StyleCudziło, Stanisław, Bożena Szermer-Olearnik, Sławomir Dyjak, Mateusz Gratzke, Kamil Sobczak, Anna Wróblewska, Agnieszka Szczygieł, Jagoda Mierzejewska, Katarzyna Węgierek-Ciura, Andrzej Rapak, and et al. 2024. "Combustion Synthesis of Functionalized Carbonated Boron Nitride Nanoparticles and Their Potential Application in Boron Neutron Capture Therapy" Materials 17, no. 10: 2438. https://doi.org/10.3390/ma17102438
APA StyleCudziło, S., Szermer-Olearnik, B., Dyjak, S., Gratzke, M., Sobczak, K., Wróblewska, A., Szczygieł, A., Mierzejewska, J., Węgierek-Ciura, K., Rapak, A., Żeliszewska, P., Kozień, D., Pędzich, Z., & Pajtasz-Piasecka, E. (2024). Combustion Synthesis of Functionalized Carbonated Boron Nitride Nanoparticles and Their Potential Application in Boron Neutron Capture Therapy. Materials, 17(10), 2438. https://doi.org/10.3390/ma17102438

