Rapid and Comprehensive Analysis of 41 Harmful Substances in Multi-Matrix Products by Gas Chromatography–Mass Spectrometry Using Matrix-Matching Calibration Strategy
Abstract
1. Introduction
2. Materials and Methods
2.1. Chemicals and Reagents
2.2. Instrument and Analysis Conditions
2.3. Preparation of Standard Solution
2.4. Sample Pretreatment
3. Results
3.1. Chromatographic Mass Spectrometry
3.2. Optimization of Extraction Solvent and Precipitator
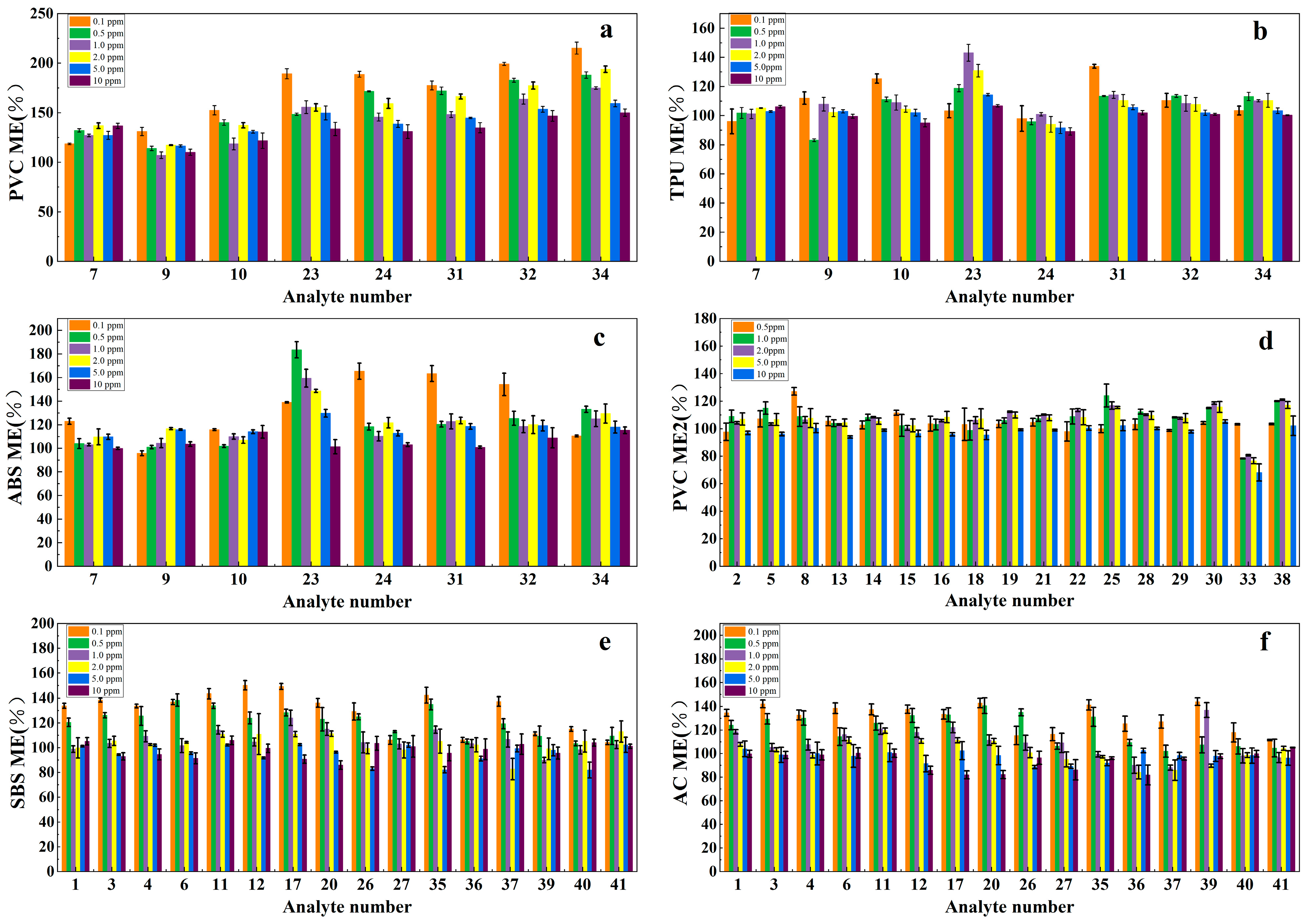
3.3. Investigation of Matrix Effect
3.4. Method Validation
3.5. Analysis of Commercial Products
4. Conclusions
Author Contributions
Funding
Institutional Review Board Statement
Informed Consent Statement
Data Availability Statement
Conflicts of Interest
References
- Yang, Y.; Sun, Z.; Liu, X.; Jia, W.; Wu, J. Optimal Decisions on Harmful Chemical Limits in Consumer Goods within an Acceptable Risk Level. Processes 2022, 10, 2259. [Google Scholar] [CrossRef]
- Greaves, A.K.; Letcher, R.J. A Review of Organophosphate Esters in the Environment from Biological Effects to Distribution and Fate. Bull. Environ. Contam. Toxicol. 2017, 98, 2–7. [Google Scholar] [CrossRef]
- Wang, Y.; Zhang, Z.; Xu, Y.; Rodgers, T.F.M.; Ablimit, M.; Li, J.; Tan, F. Identifying the Contributions of Root and Foliage Gaseous/Particle Uptakes to Indoor Plants for Phthalates, Opfrs and Pahs. Sci. Total Environ. 2023, 883, 163644. [Google Scholar] [CrossRef]
- Zhang, Q.; Wang, Y.; Zhang, C.; Yao, Y.; Wang, L.; Sun, H. A Review of Organophosphate Esters in Soil: Implications for the Potential Source, Transfer, and Transformation Mechanism. Environ. Res. 2022, 204, 112122. [Google Scholar] [CrossRef]
- Sun, J.; Pan, L.; Tsang, D.C.W.; Zhan, Y.; Zhu, L.; Li, X. Organic Contamination and Remediation in the Agricultural Soils of China: A Critical Review. Sci. Total Environ. 2018, 615, 724–740. [Google Scholar] [CrossRef]
- Orecchio, S.; Indelicato, R.; Barreca, S. Determination of Selected Phthalates by Gas Chromatography-Mass Spectrometry in Personal Perfumes. J. Toxicol. Environ. Health Part A 2015, 78, 1008–1018. [Google Scholar] [CrossRef]
- Huang, P.; Liao, K.; Chang, J.; Chan, S.; Lee, C. Characterization of Phthalates Exposure and Risk for Cosmetics and Perfume Sales Clerks. Environ. Pollut. 2018, 233, 577–587. [Google Scholar] [CrossRef]
- Al-Saleh, I.; Elkhatib, R. Screening of Phthalate Esters in 47 Branded Perfumes. Environ. Sci. Pollut. Res. 2016, 23, 455–468. [Google Scholar] [CrossRef] [PubMed]
- Al-Saleh, I.; Al-Rajudi, T.; Al-Qudaihi, G.; Manogaran, P. Evaluating the Potential Genotoxicity of Phthalates Esters (Paes) in Perfumes Using in Vitro Assays. Environ. Sci. Pollut. Res. 2017, 24, 23903–23914. [Google Scholar] [CrossRef] [PubMed]
- Oliveira, M.; Slezakova, K.; Delerue-Matos, C.; Pereira, M.C.; Morais, S. Children Environmental Exposure to Particulate Matter and Polycyclic Aromatic Hydrocarbons and Biomonitoring in School Environments: A Review on Indoor and Outdoor Exposure Levels, Major Sources and Health Impacts. Environ. Int. 2019, 124, 180–204. [Google Scholar] [CrossRef] [PubMed]
- Dat, N.; Chang, M.B. Review on Characteristics of Pahs in Atmosphere, Anthropogenic Sources and Control Technologies. Sci. Total Environ. 2017, 609, 682–693. [Google Scholar] [CrossRef] [PubMed]
- Abdel-Shafy, H.I.; Mansour, M.S.M. A Review on Polycyclic Aromatic Hydrocarbons: Source, Environmental Impact, Effect On Human Health and Remediation. Egypt. J. Pet. 2016, 25, 107–123. [Google Scholar] [CrossRef]
- Niino, T.; Ishibashi, T.; Itho, T.; Sakai, S.; Ishiwata, H.; Yamada, T.; Onodera, S. Simultaneous Determination of Phthalate Di- And Monoesters in Poly(Vinylchloride) Products and Human Saliva by Gas Chromatography-Mass Spectrometry. J. Chromatogr. B 2002, 780, 35–44. [Google Scholar] [CrossRef] [PubMed]
- Ashworth, M.; Chappell, A.; Ashmore, E.; Fowles, J. Analysis and Assessment of Exposure to Selected Phthalates Found in Children’S Toys in Christchurch, New Zealand. Int. J. Environ. Res. Public Health 2018, 15, 200. [Google Scholar] [CrossRef]
- Chen, B.; Zhang, L. An Easy and Sensitive Analytical Method of Determination of Phthalate Esters in Children’s Toys by Uplcms/Ms. Polym. Test. 2013, 32, 681–685. [Google Scholar] [CrossRef]
- Korfali, S.I.; Sabra, R.; Jurdi, M.; Taleb, R.I. Assessment of Toxic Metals and Phthalates in Children’S Toys and Clays. Arch. Environ. Contam. Toxicol. 2013, 65, 368–381. [Google Scholar] [CrossRef]
- Wittassek, M.; Koch, H.M.; Angerer, J.; Brüning, T. Assessing Exposure to Phthalates–the Human Biomonitoring Approach. Mol. Nutr. Food Res. 2011, 55, 7–31. [Google Scholar] [CrossRef] [PubMed]
- Al-Natsheh, M.; Alawi, M.; Fayyad, M.; Tarawneh, I. Simultaneous Gc–Ms Determination of Eight Phthalates in Total and Migrated Portions of Plasticized Polymeric Toys and Childcare Articles. J. Chromatogr. B 2015, 985, 103–109. [Google Scholar] [CrossRef] [PubMed]
- Stringer, R.; Labunska, I.; Santillo, D.; Johnston, P.; Siddorn, J.; Stephenson, A. Concentrations of Phthalate Esters and Identification of Other Additives in Pvc Children’s Toys. Environ. Sci. Pollut. Res. 2000, 7, 27–36. [Google Scholar] [CrossRef]
- Ionas, A.C.; Dirtu, A.C.; Anthonissen, T.; Neels, H.; Covaci, A. Downsides of the Recycling Process: Harmful Organic Chemicals in Children’s Toys. Environ. Int. 2014, 65, 54–62. [Google Scholar] [CrossRef]
- Negev, M.; Berman, T.; Reicher, S.; Sadeh, M.; Ardi, R.; Shammai, Y. Concentrations of Trace Metals, Phthalates, Bisphenol a and Flame-Retardants in Toys and Other Children’s Products in Israel. Chemosphere 2018, 192, 217–224. [Google Scholar] [CrossRef] [PubMed]
- Jo, S.; Lee, M.; Kim, K.; Kumar, P. Characterization and Flux Assessment of Airborne Phthalates Released from Polyvinyl Chloride Consumer Goods. Environ. Res. 2018, 165, 81–90. [Google Scholar] [CrossRef] [PubMed]
- Ting, K.; Gill, M.; Garbin, O. Gc/Ms Screening Method for Phthalate Esters in Children’s Toys. J. Aoac Int. 2009, 92, 951–958. [Google Scholar] [CrossRef] [PubMed]
- Xie, Z.; Selzer, J.; Ebinghaus, R.; Caba, A.; Ruck, W. Development and Validation of a Method for the Determination of Trace Alkylphenols and Phthalates in the Atmosphere. Anal. Chim. Acta 2006, 565, 198–207. [Google Scholar] [CrossRef]
- Gao, D.; Li, Z.; Wen, Z.; Ren, N. Occurrence and Fate of Phthalate Esters in Full-Scale Domestic Wastewater Treatment Plants and their Impact on Receiving Waters Along the Songhua River in China. Chemosphere 2014, 95, 24–32. [Google Scholar] [CrossRef]
- Gao, D.; Li, Z.; Wang, H.; Liang, H. An Overview of Phthalate Acid Ester Pollution in China Over the Last Decade: Environmental Occurrence and Human Exposure. Sci. Total Environ. 2018, 645, 1400–1409. [Google Scholar] [CrossRef] [PubMed]
- McGee, S.P.; Konstantinov, A.; Stapleton, H.M.; Volz, D.C. Aryl Phosphate Esters within a Major Pentabde Replacement Product Induce Cardiotoxicity in Developing Zebrafish Embryos: Potential Role of the Aryl Hydrocarbon Receptor. Toxicol. Sci. 2013, 133, 144–156. [Google Scholar] [CrossRef] [PubMed]
- Han, Z.; Wang, Q.; Fu, J.; Chen, H.; Zhao, Y.; Zhou, B.; Gong, Z.; Wei, S.; Li, J.; Liu, H.; et al. Multiple Bio-Analytical Methods to Reveal Possible Molecular Mechanisms of Developmental Toxicity in Zebrafish Embryos/Larvae Exposed to Tris(2-Butoxyethyl) Phosphate. Aquat. Toxicol. 2014, 150, 175–181. [Google Scholar] [CrossRef] [PubMed]
- Schang, G.; Robaire, B.; Hales, B.F. Organophosphate Flame Retardants Act as Endocrine-Disrupting Chemicals in Ma-10 Mouse Tumor Leydig Cells. Toxicol. Sci. 2016, 150, 499–509. [Google Scholar] [CrossRef]
- Blum, A.; Behl, M.; Birnbaum, L.S.; Diamond, M.L.; Phillips, A.; Singla, V.; Sipes, N.S.; Stapleton, H.M.; Venier, M. Organophosphate Ester Flame Retardants: Are they a Regrettable Substitution for Polybrominated Diphenyl Ethers? Environ. Sci. Technol. Lett. 2019, 6, 638–649. [Google Scholar] [CrossRef]
- Wiersielis, K.R.; Adams, S.; Yasrebi, A.; Conde, K.; Roepke, T.A. Maternal Exposure to Organophosphate Flame Retardants Alters Locomotor and Anxiety-Like Behavior in Male and Female Adult Offspring. Horm. Behav. 2020, 122, 104759. [Google Scholar] [CrossRef] [PubMed]
- Goyak, K.O.; Kung, M.H.; Chen, M.; Aldous, K.K.; Freeman, J.J. Development of a Screening Tool to Prioritize Testing for the Carcinogenic Hazard of Residual Aromatic Extracts and Related Petroleum Streams. Toxicol. Lett. 2016, 264, 99–105. [Google Scholar] [CrossRef] [PubMed]
- Huang, L.; Liu, Z.; Yi, L.; Liu, C.; Yang, D. Determination of the Banned Phthalates in Pvc Plastic of Toys by the Soxhlet Extraction-Gas Chromatography/Mass Spectrometry Method. Int. J. Chem. 2011, 3, 169–173. [Google Scholar] [CrossRef]
- Vázquez-Loureiro, P.; Lestido-Cardama, A.; Sendón, R.; López-Hernández, J.; Paseiro-Losada, P.; Rodríguez-Bernaldo De Quirós, A. Identification of Volatile and Semi-Volatile Compounds in Polymeric Coatings Used in Metal Cans by Gc-Ms and Spme. Materials 2021, 14, 3704. [Google Scholar] [CrossRef] [PubMed]
- Geiss, O.; Senaldi, C.; Bianchi, I.; Lucena, A.; Tirendi, S.; Barrero-Moreno, J. A Fast and Selective Method for the Determination of 8 Carcinogenic Polycyclic Aromatic Hydrocarbons in Rubber and Plastic Materials. J. Chromatogr. A 2018, 1566, 13–22. [Google Scholar] [CrossRef] [PubMed]
- Arce, M.M.; Sanllorente, S.; Ortiz, M.C.; Sarabia, L.A. Easy-to-Use Procedure to Optimise a Chromatographic Method. Application in the Determination of Bisphenol-a and Phenol in Toys by Means of Liquid Chromatography with Fluorescence Detection. J. Chromatogr. A 2018, 1534, 93–100. [Google Scholar] [CrossRef] [PubMed]
- Sung, J.H.; Kwak, I.S.; Park, S.K.; Kim, H.I.; Lim, H.S.; Park, H.J.; Kim, S.H. Liquid Chromatography-Tandem Mass Spectrometry Determination of N-Nitrosamines Released from Rubber or Elastomer Teats and Soothers. Food Addit. Contam. Part A Chem. Anal. Control Expo. Risk Assess. 2010, 27, 1745–1754. [Google Scholar] [CrossRef] [PubMed]
- Sternbauer, L.; Dieplinger, J.; Buchberger, W.; Marosits, E. Determination of Nucleating Agents in Plastic Materials by Gc/Ms After Microwave-Assisted Extraction within Situ Microwave-Assisted Derivatization. Talanta 2014, 128, 63–68. [Google Scholar] [CrossRef] [PubMed]
- Gimeno, P.; Thomas, S.; Bousquet, C.; Maggio, A.; Civade, C.; Brenier, C.; Bonnet, P. Identification and Quantification of 14 Phthalates and 5 Non-Phthalate Plasticizers in Pvc Medical Devices by Gc–Ms. J. Chromatogr. B 2014, 949–950, 99–108. [Google Scholar] [CrossRef]
- Garrigós, M.C.; Marín, M.L.; Cantó, A.; Sánchez, A. Determination of Residual Styrene Monomer in Polystyrene Granules by Gas Chromatography–Mass Spectrometry. J. Chromatogr. A 2004, 1061, 211–216. [Google Scholar] [CrossRef]
- Dong, C.; Liu, Y.; Yang, W.; Sun, X.; Wang, G. Simultaneous Determination of Phthalate Plasticizers in Pvc Packaging Materials Using Homogeneous-Ultrasonic Extraction-Gc-Ms Assisted with Continuous Wavelet Transform. Anal. Methods 2013, 5, 4513–4517. [Google Scholar] [CrossRef]
- Liang, Z.H.; Luo, Q.; Fan, H.B.; Lv, S.H.; Zeng, Y.Y. Determination of Phthalate Esters in the Children’s Products Using Ultrasonic Extraction and Gas Chromatography. Adv. Mater. Res. 2013, 807–809, 124–129. [Google Scholar] [CrossRef]
- Gawlik-Jędrysiak, M. Determination of Phthalate Esters Content in Plastic Articles: Comparison of Extraction Methods. J. Anal. Chem. 2013, 68, 959–960. [Google Scholar] [CrossRef]
- Pöhlein, M.; Bertran, R.U.; Wolf, M.; van Eldik, R. Versatile and Fast Gas Chromatographic Determination of Frequently Used Brominated Flame Retardants in Styrenic Polymers. J. Chromatogr. A 2008, 1203, 217–228. [Google Scholar] [CrossRef] [PubMed]
- Wang, Q.; Storm, B.K. Separation and Analysis of Low Molecular Weight Plasticizers in Poly(Vinyl Chloride) Tubes. Polym. Test. 2005, 24, 290–300. [Google Scholar] [CrossRef]
- Shen, H. Simultaneous Screening and Determination Eight Phthalates in Plastic Products for Food Use by Sonication-Assisted Extraction/Gc–Ms Methods. Talanta 2005, 66, 734–739. [Google Scholar] [CrossRef] [PubMed]
- Lv, Q.; Zhang, Q.; Li, W.; Li, H.; Li, P.; Ma, Q.; Meng, X.; Qi, M.; Bai, H. Determination of 48 Fragrance Allergens in Toys Using Gc with Ion Trap Ms/Ms. J. Sep. Sci. 2013, 36, 3534–3549. [Google Scholar] [CrossRef]
- Meng, X.; Zhang, N.; Sun, X.; Niu, Z.; Deng, Y.; Xu, J.; Bai, H.; Ma, Q. Suspect Screening of 200 Hazardous Substances in Plastic Toys Using Ultra-High-Performance Liquid Chromatography-Hybrid Quadrupole Time-of-Flight Mass Spectrometry. J. Chromatogr. A 2020, 1617, 460830. [Google Scholar] [CrossRef]
- Hajšlová, J.; Holadová, K.; Kocourek, V.; Poustka, J.; Godula, M.; Cuhra, P.; Kempný, M. Matrix-Induced Effects: A Critical Point in the Gas Chromatographic Analysis of Pesticide Residues. J. Chromatogr. A 1998, 800, 283–295. [Google Scholar] [CrossRef]
- Rahman, M.M.; Abd El-Aty, A.M.; Shim, J. Matrix Enhancement Effect: A Blessing Or a Curse for Gas Chromatography?—A Review. Anal. Chim. Acta 2013, 801, 14–21. [Google Scholar] [CrossRef]
- Williams, M.L.; Olomukoro, A.A.; Emmons, R.V.; Godage, N.H.; Gionfriddo, E. Matrix Effects Demystified: Strategies for Resolving Challenges in Analytical Separations of Complex Samples. J. Sep. Sci. 2023, 46, e2300571. [Google Scholar] [CrossRef] [PubMed]







| Class | Compound Name | Abbreviations | Chemical Formula | CAS | Purity or Concentration |
|---|---|---|---|---|---|
| Organophosphate flame retardants (OPFRs) | Tributylphosphate | TBP | C12H27O4P | 126-73-8 | 99.3% |
| Tris(2-chloroethyl) phosphate | TCEP | C6H12Cl3O4P | 115-96-8 | 96.3% | |
| Tris(2-chloroisopropyl) phosphate | TCPP | C9H18Cl3O4P | 13674-84-5 | 98.2% | |
| Tris(2-butoxyethyl) phosphate | TBEP | C18H39O7P | 78-51-3 | 95.2% | |
| Triphenyl phosphate | TPP | C18H15O4P | 115-86-6 | 99.9% | |
| Tri-o-cresyl phosphate | / | C21H21O4P | 78-30-8 | 99.1% | |
| Tris-m-cresyl phosphate | / | C21H21O4P | 563-04-2 | 97.7% | |
| Tri-p-cresyl phosphate | / | C21H21O4P | 78-32-0 | 99.4% | |
| Polycyclic aromatic hydrocarbon (PAH) mix 16 standard solution | Naphthalene | NAP | C10H8 | 91-20-3 | 2000 mg/L in benzene/dichloromethane (1:1) |
| Acenaphthylene | ACY | C12H8 | 208-96-8 | ||
| Acenaphthen | ACE | C12H10 | 83-32-9 | ||
| Fluorene | FLU | C13H10 | 86-73-7 | ||
| Phenanthrene | PHE | C14H10 | 85-01-8 | ||
| Anthracene | ANT | C14H10 | 120-12-7 | ||
| Fluoranthene | FLA | C16H10 | 206-44-0 | ||
| Pyrene | PYR | C16H10 | 129-00-0 | ||
| 1,2-Benzanthracene | BaA | C18H12 | 56-55-3 | ||
| Chrysene | CHR | C18H12 | 218-01-9 | ||
| Benzo[b]fluoranthene | BbF | C20H12 | 205-99-2 | ||
| Benzo[k]fluoranthrene | BkF | C20H12 | 207-08-9 | ||
| Benzo[a]pyrene | BaP | C20H12 | 50-32-8 | ||
| Indeno(1,2,3-cd)pyrene | IcdP | C22H12 | 193-39-5 | ||
| Dibenz[a,h]anthracene | DahA | C22H14 | 53-70-3 | ||
| Benzo[ghi]perylene | BghiP | C22H12 | 191-24-2 | ||
| Phthalate (PAE) mix 17 standard solution | Dimethyl phthalate | DMP | C10H10O4 | 131-11-3 | 1000 mg/L in n-hexane |
| Diethyl phthalate | DEP | C12H14O4 | 84-66-2 | ||
| Diallyl phthalate | DAP | C14H14O4 | 131-17-9 | ||
| Diisobutyl phthalate | DIBP | C16H22O4 | 84-69-5 | ||
| Dibutyl phthalate | DBP | C16H22O4 | 84-74-2 | ||
| Bis(2-methoxyethyl) phthalate | DMEP | C14H18O6 | 117-82-8 | ||
| phthalic,biis-4-methyl-2-pentylester | / | C20H30O4 | 84-63-9 | ||
| Bis(2-ethoxyethyl) phthalate | DEEP | C16H22O6 | 605-54-9 | ||
| Dipentyl phthalate | DPP | C18H26O4 | 131-18-0 | ||
| Di-n-hexyl phthalate | DHXP | C20H30O4 | 84-75-3 | ||
| Butyl benzyl phthalate | BBP | C19H20O4 | 85-68-7 | ||
| Bis(2-nbutoxyethyl)phthalate | DBEP | C20H30O6 | 117-83-9 | ||
| Dicyclohexyl phthalate | DCHP | C20H26O4 | 84-61-7 | ||
| Bis(2-ethylhexyl) phthalate | DEHP | C24H38O4 | 117-81-7 | ||
| Diphenyl phthalate | DPhP | C20H14O4 | 84-62-8 | ||
| Di-n-octyl phthalate | DNOP | C24H38O4 | 117-84-0 | ||
| Dinonyl phthalate | DNP | C26H42O4 | 84-76-4 |
| No. | Compounds | CAS | Retention Time /min | Characteristic Fragment Ion (m/z) | Linear Range (mg/kg) | ||||||
|---|---|---|---|---|---|---|---|---|---|---|---|
| PVC | ABS | TPU | SBS | Acrylate Coating | |||||||
| Organophosphate flame retardants (OPFRs) | |||||||||||
| 7 | Tributylphosphate (TBP) | 126-73-8 | 12.415 | 99 | 155 | 57 | 2.0–200 | 2.0–200 | 2.0–200 | 2.0–200 | 2.0–200 |
| 9 | Tris(2-chloroethyl) phosphate (TCEP) | 115-96-8 | 13.534 | 63 | 249 | 143 | 2.0–200 | 2.0–200 | 2.0–200 | 2.0–200 | 2.0–200 |
| 10 | Tris(2-chloroisopropyl) phosphate (TCPP) | 13674-84-5 | 13.823 | 125 | 99 | 157 | 2.0–200 | 2.0–200 | 2.0–200 | 2.0–200 | 2.0–200 |
| 23 | Tris(2-butoxyethyl) phosphate (TBEP) | 78-51-3 | 19.748 | 57 | 56 | 85 | 2.0–200 | 2.0–200 | 2.0–200 | 2.0–200 | 2.0–200 |
| 24 | Triphenyl phosphate (TPP) | 115-86-6 | 19.829 | 326 | 325 | 77 | 2.0–200 | 2.0–200 | 2.0–200 | 2.0–200 | 2.0–200 |
| 31 | Tri-2-cresyl phosphate | 78-30-8 | 22.251 | 165 | 91 | 179 | 2.0–200 | 2.0–200 | 2.0–200 | 2.0–200 | 2.0–200 |
| 32 | Tris-3-cresyl phosphate | 563-04-2 | 22.867 | 368 | 367 | 91 | 2.0–200 | 2.0–200 | 2.0–200 | 2.0–200 | 2.0–200 |
| 34 | Tri-4-cresyl phosphate | 78-32-0 | 23.564 | 368 | 367 | 107 | 2.0–200 | 2.0–200 | 2.0–200 | 2.0–200 | 2.0–200 |
| Polycyclic aromatic hydrocarbons (PAHs) | |||||||||||
| 1 | Naphthalene (NAP) | 91-20-3 | 7.619 | 128 | 129 | 127 | 0.4–200 | 0.4–200 | 0.4–200 | 0.4–200 | 0.4–200 |
| 3 | Acenaphthylene (ACY) | 208-96-8 | 10.697 | 152 | 153 | 151 | 0.4–200 | 0.4–200 | 0.4–200 | 0.4–200 | 0.4–200 |
| 4 | Acenaphthene (ACE) | 83-32-9 | 11.051 | 154 | 153 | 152 | 0.4–200 | 0.4–200 | 0.4–200 | 0.4–200 | 0.4–200 |
| 6 | Fluorene (FLU) | 86-73-7 | 12.078 | 166 | 165 | 167 | 0.4–200 | 0.4–200 | 0.4–200 | 0.4–200 | 0.4–200 |
| 11 | Phenanthrene (PHE) | 85-01-8 | 13.976 | 178 | 179 | 176 | 0.4–200 | 0.4–200 | 0.4–200 | 0.4–200 | 0.4–200 |
| 12 | Anthracene (ANT) | 120-12-7 | 14.075 | 178 | 179 | 176 | 0.4–200 | 0.4–200 | 0.4–200 | 0.4–200 | 0.4–200 |
| 17 | Fluoranthene (FLA) | 206-44-0 | 16.394 | 202 | 203 | 200 | 0.4–200 | 0.4–200 | 0.4–200 | 0.4–200 | 0.4–200 |
| 20 | Pyrene (PYR) | 129-00-0 | 16.935 | 202 | 203 | 200 | 0.4–200 | 0.4–200 | 0.4–200 | 0.4–200 | 0.4–200 |
| 26 | 1,2-Benzanthracene (BaA) | 56-55-3 | 20.914 | 228 | 229 | 226 | 2.0–200 | 2.0–200 | 2.0–200 | 2.0–200 | 2.0–200 |
| 27 | Chrysene (CHR) | 218-01-9 | 21.054 | 228 | 226 | 113 | 2.0–200 | 2.0–200 | 2.0–200 | 2.0–200 | 2.0–200 |
| 35 | Benzo[b]fluoranthene (BbF) | 205-99-2 | 23.938 | 252 | 253 | 250 | 2.0–200 | 2.0–200 | 2.0–200 | 2.0–200 | 2.0–200 |
| 36 | Benzo[k]fluoranthrene (BkF) | 207-08-9 | 23.992 | 252 | 253 | 250 | 2.0–200 | 2.0–200 | 2.0–200 | 2.0–200 | 2.0–200 |
| 37 | Benzo[a]pyrene (BaP) | 50-32-8 | 24.598 | 252 | 253 | 250 | 2.0–200 | 2.0–200 | 2.0–200 | 2.0–200 | 2.0–200 |
| 39 | Indeno(1,2,3-cd)pyrene (IcdP) | 193-39-5 | 27.332 | 276 | 138 | 277 | 2.0–200 | 2.0–200 | 2.0–200 | 2.0–200 | 2.0–200 |
| 40 | Dibenz[a,h]anthracene (DahA) | 53-70-3 | 27.438 | 278 | 279 | 276 | 2.0–200 | 2.0–200 | 2.0–200 | 2.0–200 | 2.0–200 |
| 41 | Benzo[ghi]perylene (BghiP) | 191-24-2 | 28.060 | 276 | 277 | 138 | 2.0–200 | 2.0–200 | 2.0–200 | 2.0–200 | 2.0–200 |
| Phthalates (PAEs) | |||||||||||
| 2 | Dimethyl phthalate (DMP) | 131-11-3 | 10.541 | 163 | 77 | 76 | 10–400 | 10–400 | 10–400 | 10–400 | 10–400 |
| 5 | Diethyl phthalate (DEP) | 84-66-2 | 11.963 | 149 | 177 | 150 | 10–400 | 10–400 | 10–400 | 10–400 | 10–400 |
| 8 | Diallyl phthalate (DAP) | 131-17-9 | 13.408 | 41 | 149 | 189 | 10–400 | 10–400 | 10–400 | 10–400 | 10–400 |
| 13 | Diisobutyl phthalate (DIBP) | 84-69-5 | 14.435 | 149 | 57 | 150 | 10–400 | 10–400 | 10–400 | 10–400 | 10–400 |
| 14 | Dibutyl phthalate (DBP) | 84-74-2 | 15.201 | 149 | 150 | 41 | 10–400 | 10–400 | 10–400 | 10–400 | 10–400 |
| 15 | Bis(2-methoxyethyl) phthalate (DMEP) | 117-82-8 | 15.486 | 59 | 58 | 149 | 10–400 | 10–400 | 10–400 | 10–400 | 10–400 |
| 16 | phthalic,biis-4-methyl-2-pentylester | 84-63-9 | 16.153 | 149 | 167 | 85 | 10–400 | 10–400 | 10–400 | 10–400 | 10–400 |
| 18 | Bis(2-ethoxyethyl) phthalate (DEEP) | 605-54-9 | 16.490 | 72 | 73 | 45 | 10–400 | 10–400 | 10–400 | 10–400 | 10–400 |
| 19 | Dipentyl phthalate (DPP) | 131-18-0 | 16.898 | 149 | 150 | 237 | 10–400 | 10–400 | 10–400 | 10–400 | 10–400 |
| 21 | Di-n-hexyl phthalate (DHXP) | 84-75-3 | 19.037 | 149 | 150 | 251 | 10–400 | 10–400 | 10–400 | 10–400 | 10–400 |
| 22 | Butyl benzyl phthalate (BBP) | 85-68-7 | 19.177 | 149 | 91 | 206 | 10–400 | 10–400 | 10–400 | 10–400 | 10–400 |
| 25 | Bis(2-nbutoxyethyl)phthalate (DBEP) | 117-83-9 | 20.724 | 149 | 57 | 101 | 10–400 | 10–400 | 10–400 | 10–400 | 10–400 |
| 28 | Dicyclohexyl phthalate (DCHP) | 84-61-7 | 21.510 | 149 | 167 | 150 | 10–400 | 10–400 | 10–400 | 10–400 | 10–400 |
| 29 | Bis(2-ethylhexyl) phthalate (DEHP) | 117-81-7 | 21.707 | 149 | 167 | 57 | 10–400 | 10–400 | 10–400 | 10–400 | 10–400 |
| 30 | Diphenyl phthalate (DPhP) | 84-62-8 | 21.857 | 225 | 77 | 226 | 10–400 | 10–400 | 10–400 | 10–400 | 10–400 |
| 33 | Di-n-octyl phthalate (DNOP) | 117-84-0 | 23.493 | 149 | 279 | 43 | 10–400 | 10–400 | 10–400 | 10–400 | 10–400 |
| 38 | Dinonyl phthalate (DNP) | 84-76-4 | 24.833 | 149 | 293 | 150 | 10–400 | 10–400 | 10–400 | 10–400 | 10–400 |
Disclaimer/Publisher’s Note: The statements, opinions and data contained in all publications are solely those of the individual author(s) and contributor(s) and not of MDPI and/or the editor(s). MDPI and/or the editor(s) disclaim responsibility for any injury to people or property resulting from any ideas, methods, instructions or products referred to in the content. |
© 2024 by the authors. Licensee MDPI, Basel, Switzerland. This article is an open access article distributed under the terms and conditions of the Creative Commons Attribution (CC BY) license (https://creativecommons.org/licenses/by/4.0/).
Share and Cite
Wang, Y.; Xiong, D.; He, X.; Yu, L.; Li, G.; Wang, T.; Liu, C.; Liu, Z.; Li, Z.; Gao, C. Rapid and Comprehensive Analysis of 41 Harmful Substances in Multi-Matrix Products by Gas Chromatography–Mass Spectrometry Using Matrix-Matching Calibration Strategy. Materials 2024, 17, 2281. https://doi.org/10.3390/ma17102281
Wang Y, Xiong D, He X, Yu L, Li G, Wang T, Liu C, Liu Z, Li Z, Gao C. Rapid and Comprehensive Analysis of 41 Harmful Substances in Multi-Matrix Products by Gas Chromatography–Mass Spectrometry Using Matrix-Matching Calibration Strategy. Materials. 2024; 17(10):2281. https://doi.org/10.3390/ma17102281
Chicago/Turabian StyleWang, Yue, Dawei Xiong, Xiangke He, Lihua Yu, Guixiao Li, Tian Wang, Chongshu Liu, Zhongxian Liu, Zhi Li, and Cuiling Gao. 2024. "Rapid and Comprehensive Analysis of 41 Harmful Substances in Multi-Matrix Products by Gas Chromatography–Mass Spectrometry Using Matrix-Matching Calibration Strategy" Materials 17, no. 10: 2281. https://doi.org/10.3390/ma17102281
APA StyleWang, Y., Xiong, D., He, X., Yu, L., Li, G., Wang, T., Liu, C., Liu, Z., Li, Z., & Gao, C. (2024). Rapid and Comprehensive Analysis of 41 Harmful Substances in Multi-Matrix Products by Gas Chromatography–Mass Spectrometry Using Matrix-Matching Calibration Strategy. Materials, 17(10), 2281. https://doi.org/10.3390/ma17102281
