Recent Progress for Single-Molecule Magnets Based on Rare Earth Elements
Abstract
1. Introduction
2. Phthalocyanine Single-Molecule Magnets
2.1. Structure and Category
2.2. Double-Decker Pc of Tb/Dy
2.3. Multi-Decker Pc of Tb/Dy
3. Other Single-Molecule Magnets
3.1. Acetylacetone-Based SMMs
3.2. Polyacid-Based SMMs
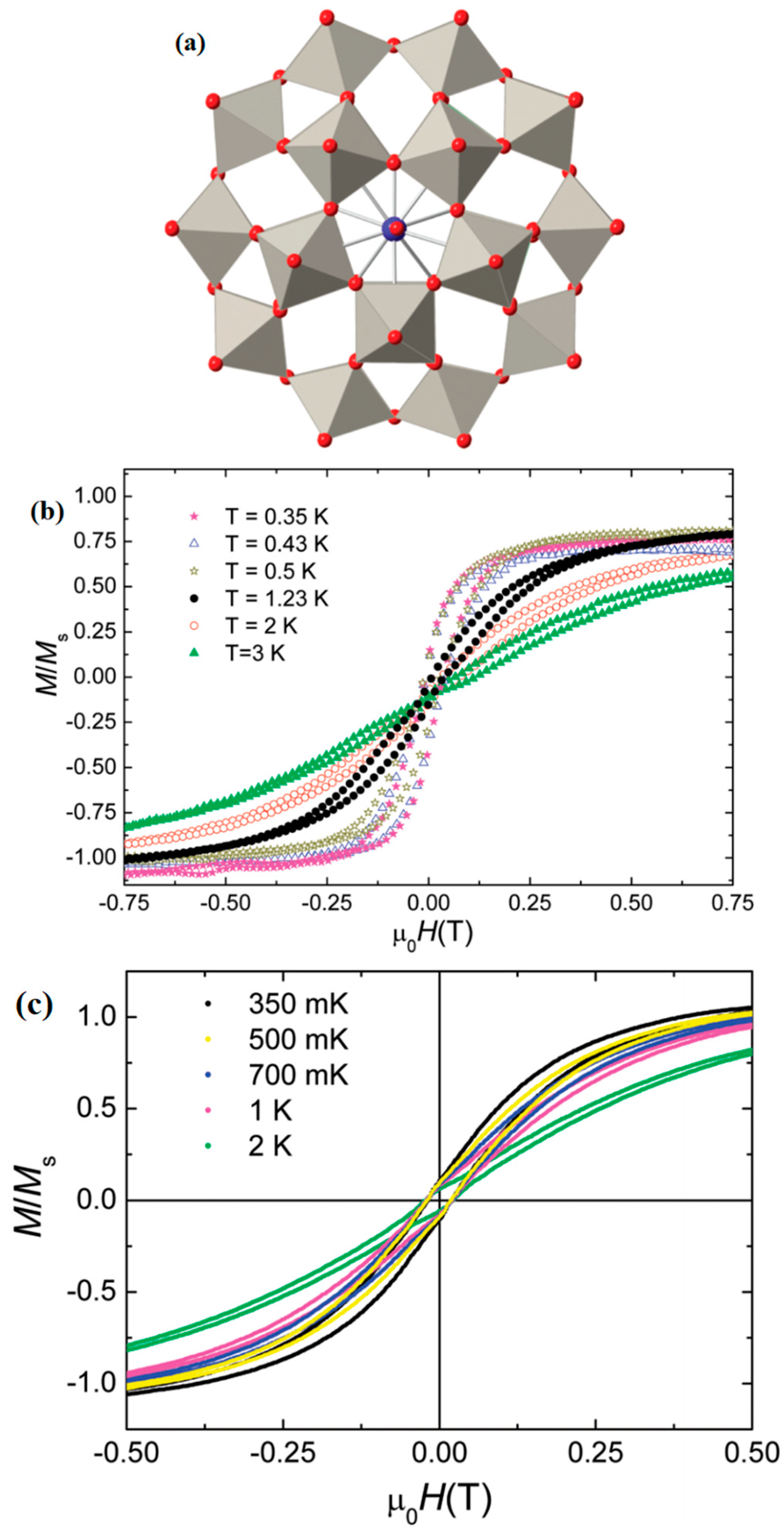
3.3. SMMs in the Pentagonal Biconical Configuration
4. Preparation Technology
5. Performance of Single-Molecule Magnets
5.1. Magnetic Origin
5.2. Magnetic Properties of SMMs
6. Conclusions and Outlook
- (1)
- Specific and detailed theoretical studies for further new straight forward synthetic strategies in production ambient conditions. One can continue the axial strong crystal modulation of the bulk field, combined with symmetry strategies to improve the rigidity of molecules and enhance intermolecular forces and magnetic exchange to synthesize higher performance SMMs with higher performance.
- (2)
- Experimental and theoretical calculations were performed to explore more efficient methods to modulate the relaxation process to increase the TB of SMMs.
- (3)
- The synthesis of SMMs with significant anisotropy, together with a wide range of bridging ligands, has been used in the search for effective exchange interactions, and more non-centrosymmetric multinuclear SMMs with a special arrangement of metal-centered magnetic anisotropy can be designed in the synthesis work.
- (4)
- Spintronic devices based on SMMs are an important direction of effort. It is more challenging to detect the magnetic properties of single molecule layers quickly.
Funding
Institutional Review Board Statement
Informed Consent Statement
Data Availability Statement
Conflicts of Interest
References
- Sessoli, R.; Gatteschi, D.; Caneschi, A. Magnetic bistability in a metal-ion cluster. Nature 1993, 365, 141–143. [Google Scholar] [CrossRef]
- Wasielewski, M.R.; Forbes, M.D.E.; Frank, N.L.; Kowalski, K.; Scholes, G.D.; Yuen-Zhou, J.; Baldo, M.A.; Freedman, D.E.; Goldsmith, R.H.; Goodson, T., III; et al. Whaley. Exploiting chemistry and molecular systems for quantum information science. Nat. Rev. Chem. 2020, 4, 490–504. [Google Scholar] [CrossRef] [PubMed]
- Bayliss, S.L.; Laorenza, D.W.; Mintun, P.J.; Kovos, B.D.; Freedman, D.E.; Awschalom, D.D. Optically addressable molecular spins for quantum information processing. Science 2020, 370, 1309–1312. [Google Scholar] [CrossRef] [PubMed]
- Christou, G.; Gatteschi, D.; Hendrickson, D.N.; Sessoli, R. Single-Molecule Magnet. MRS Bull. 2000, 25, 66–71. [Google Scholar] [CrossRef]
- Wang, H.S.; Zhang, K.; Song, Y.; Pan, Z.Q. Recent advances in 3d-4f magnetic complexes with several types of non-carboxylate organic ligand. Inorg. Chim. Acta 2021, 521, 120318. [Google Scholar] [CrossRef]
- Wang, H.L.; Liu, T.; Zhu, Z.H.; Peng, J.M.; Zou, H.H.; Liang, F.P. A series of dysprosium clusters assembled by a substitution effect-driven out-to-in growth mechanism. Inorg. Chem. Front. 2021, 8, 2136–2143. [Google Scholar] [CrossRef]
- Rinehart, J.D.; Fang, M.; Evans, W.J.; Long, J.R. Strong exchange and magnetic blocking in N23−-radical-bridged lanthanide complexes. Nat. Chem. 2011, 3, 538–542. [Google Scholar] [CrossRef]
- Bogani, L.; Wernsdorfer, W. Molecular spintronics using single-molecule magnets. Nat. Mater. 2008, 7, 179–186. [Google Scholar] [CrossRef]
- Mannini, M.; Pineider, F.; Danieli, C.; Totti, F.; Sorace, L.; Sainctavit, P.; Arrio, M.A.; Otero, E.; Joly, L.; Cezar, J.C.; et al. Quantum tunnelling of the magnetization in a monolayer of oriented single-molecule magnets. Nature 2010, 468, 417–421. [Google Scholar] [CrossRef]
- Sangregorio, C.; Ohm, T.; Paulsen, C.; Sesso, R.; Gatteschi, D. Quantum Tunneling of the Magnetization in an Iron Cluster Nanomagnet. Phys. Rev. Lett. 1997, 78, 4645–4648. [Google Scholar] [CrossRef]
- Ishikawa, N.; Sugita, M.; Ishikawa, T.; Koshihara, S.; Kaizu, Y. Lanthanide Double-Decker Complexes Functioning as Magnets at the Single-Molecular Level. J. Am. Chem. Soc. 2003, 125, 8694–8695. [Google Scholar] [CrossRef] [PubMed]
- Tang, J.K.; Hewitt, I.; Madhu, N.T.; Chastanet, G.; Wernsdorfer, W.; Anson, C.E.; Benelli, C.; Sessoli, R.; Powell, A.K. Dysprosium Triangles Showing Single-Molecule Magnet Behavior of Thermally Excited Spin States. Angew. Chem. Int. Edit. 2006, 45, 1729–1733. [Google Scholar] [CrossRef] [PubMed]
- Rinehart, D.J.; Fang, M.; Evans, W.J.; Long, J.R. A N23− Radical-Bridged Terbium Complex Exhibiting Magnetic Hysteresis at 14 K. J. Am. Chem. Soc. 2011, 133, 14236–14239. [Google Scholar] [CrossRef] [PubMed]
- Gatteschi, D.; Sessoli, R. Molecular Nanomagnets; Oxford University: Oxford, UK, 2006. [Google Scholar]
- Hussain, B.; Savard, D.; Burchell, T.J.; Wernsdorfer, W.; Murugesu, M. Linking high anisotropy Dy3 triangles to create a Dy6 single molecule magnet. Chem. Commun. 2009, 9, 1100–1102. [Google Scholar] [CrossRef] [PubMed]
- Katoh, K.; Yoshida, Y.; Yamashita, M.; Miyasaka, H.; Breedlove, B.K.; Kajiwara, T.; Takaishi, S.; Ishikawa, N.; Isshiki, H.; Zhang, Y.F.; et al. Direct Observation of Lanthanide(III)-Phthalocyanine Molecules on Au(111) by Using Scanning Tunneling Microscopy and Scanning Tunneling Spectroscopy and Thin-Film Field-Effect Transistor Properties of Tb(III)- and Dy(III)-Phthalocyanine Molecules. J. Am. Chem. Soc. 2009, 131, 9967–9976. [Google Scholar] [CrossRef]
- Zhang, Y.J.; Wang, Y.F.; Liao, P.L.; Wang, K.; Huang, Z.C.; Liu, J.; Chen, Q.W.; Jiang, J.Z.; Wu, K. Detection and Manipulation of Charge States for Double-Decker DyPc2 Molecules on Ultrathin CuO Films. ACS Nano 2018, 12, 2991–2997. [Google Scholar] [CrossRef]
- Avvisati, G.; Cardoso, C.; Varsano, D.; Ferretti, A.; Gargiani, P.; Betti, M.G. Ferromagnetic and antiferromagnetic coupling of spin molecular interfaces with high thermal stability. Nano Lett. 2018, 18, 2268–2273. [Google Scholar] [CrossRef]
- Gruber, M.; Ibrahim, F.; Boukari, S.; Joly, L.; Costa, V.D.; Studniarek, M.; Peter, M.; Isshiki, H.; Jabbar, H.; Davesne, V. Spin-dependent hybridization between molecule and metal at room temperature through interlayer exchange coupling. Nano Lett. 2015, 15, 7921–7926. [Google Scholar] [CrossRef]
- Javaid, S.; Bowen, M.; Boukari, S.; Joly, L.; Beaufrand, J.B.; Chen, X.; Dappe, Y.; Scheurer, F.; Kappler, J.P.; Arabski, J. Impact on Interface Spin Polarization of Molecular Bonding to Metallic Surfaces. Phys. Rev. Lett. 2010, 105, 077201. [Google Scholar] [CrossRef]
- Ng, D.K.P.; Jiang, J. Sandwich-type heteroleptic phthalocyaninato and porphyrinato metal complexes. Chem. Soc. Rev. 1997, 26, 433–442. [Google Scholar] [CrossRef]
- Kharisov, B.I.; Mendes-Rokhas, M.A.; Ganich, E.A. Traditional and electrochemical methods of synthesizing phthalocyanines and metal complexes on their base. Solvent effect. Russ. J. Coord. Chem. 2000, 26, 301–310. [Google Scholar] [CrossRef]
- Nemykin, V.N.; Volkov, S.V. Mixed-ligand complexes of lanthanides with phthalocyanine and its analogues: Synthesis, structure, and spectroscopic properties. Russ. J. Coord. Chem. 2000, 26, 436–450. [Google Scholar]
- Buchler, J.W.; Ng, D.K.P.; Kadish, K.M.; Smith, K.M.; Guilard, R. (Eds.) The Porphyrin Handbook; Elsevier: Amsterdam, The Netherlands, 2000; pp. 245–294. [Google Scholar]
- Weiss, R.; Fischer, J.; Kadish, K.M.; Smith, K.M.; Guilard, R. (Eds.) The Porphyrin Handbook; Academic Press: New York, NY, USA, 2003; pp. 171–246. [Google Scholar]
- Kobayashi, N. Dimers, trimers and oligomers of phthalocyanines and related compounds. Coord. Chem. Rev. 2002, 227, 129–152. [Google Scholar] [CrossRef]
- Jiang, J.; Liu, W.; Arnold, D.P. Sandwich complexes of naphthalocyanine with the rare earth metals. J. Porphyrins. Phthalocyanines 2003, 7, 459–473. [Google Scholar] [CrossRef]
- Pushkarev, V.E.; Tomilova, L.G.; Tomilov, Y.V. Synthetic approaches to lanthanide complexes with tetrapyrrole type ligands. Russ. Chem. Rev. 2008, 77, 875–907. [Google Scholar] [CrossRef]
- Jiang, J.Z.; Ng, D.K.P. A Decade Journey in the Chemistry of Sandwich-Type Tetrapyrrolato-Rare Earth Complexes. Acc. Chem. Res. 2009, 42, 79–88. [Google Scholar] [CrossRef]
- Rizzini, A.L.; Krull, C.; Mugarza, A.; Balashov, T.; Nistor, C.; Piquerel, R.; Klyatskaya, S.; Ruben, M.; Sheverdyaeva, P.M.; Moras, P.; et al. Coupling of single, double, and triple-decker metal-phthalocyanine complexes to ferromagnetic and antiferromagnetic substrates. Surf. Sci. 2014, 630, 361–374. [Google Scholar] [CrossRef]
- Christou, G. Single-molecule magnets: A molecular approach to nanoscale magnetic materials. Polyhedron 2005, 24, 2065–2075. [Google Scholar] [CrossRef]
- Zhang, X.H.; Wang, S.P. 3d-4f Single Molecule-Magnets. Prog. Chem. 2010, 22, 1709–1719. [Google Scholar]
- Gonidec, M.; Davies, E.S.; McMaster, J.; Amabilino, D.B.; Veciana, J. Probing the Magnetic Properties of Three Interconvertible Redox States of a Single-Molecule Magnet with Magnetic Circular Dichroism Spectroscopy. J. Am. Chem. Soc. 2010, 132, 1756–1757. [Google Scholar] [CrossRef]
- Hellerstedt, J.; Cahlik, A.; Svec, M.; de la Torre, B.; Moro-Lagares, M.; Chutora, T.; Papouskova, B.; Zoppellaro, G.; Mutombo, P.; Ruben, M.; et al. On-surface structural and electronic properties of spontaneously formed Tb2Pc3 single-molecule magnets. Nanoscale 2018, 10, 15553–15563. [Google Scholar] [CrossRef] [PubMed]
- Ruan, L.X.; Tong, J.W.; Li, L.R.; Luo, F.F.; Zhang, R.; Qin, G.W.; Zhang, X.M. Magnetic relaxation dependences on the central ions for Ln (Ln = Tb, Dy, Er) phthalocyanines. Appl. Phys. Lett. 2020, 117, 072406. [Google Scholar] [CrossRef]
- Thomas, A.L. Phthalocyanine Research and Application; CRC Press: Boca Raton, FL, USA, 1990. [Google Scholar]
- Herchel, R.; Zoufaly, P.; Nemec, I. The effect of the second coordination sphere on the magnetism of [Ln(NO3)3(H2O)3]·(18-crown-6) (Ln = Dy and Er). RSC Adv. 2019, 9, 569–575. [Google Scholar] [CrossRef] [PubMed]
- Zhang, P.; Guo, Y.N.; Tang, J.K. Recent advances in dysprosium-based single-molecule magnets: Structural overview and synthetic strategies. Coord. Chem. Rev. 2013, 257, 1728–1763. [Google Scholar] [CrossRef]
- Ishikawa, N.; Sugita, M.; Tanaka, N.; Ishikawa, T.; Koshihara, S.Y.; Kaizu, Y. Upward Temperature Shift of the Intrinsic Phase Lag of the Magnetization of Bis (phthalocyaninato) terbiumby Ligand Oxidation Creating an S = 1/2 Spin. Inorg. Chem. 2004, 43, 5498–5500. [Google Scholar] [CrossRef]
- Kirin, I.S.; Moskalev, P.N.; Makashev, Y.A. Formation of Unusual Phthalocyanines of The Rare-Earth Elements. Russ. J. Inorg. Chem. 1965, 10, 1065–1066. [Google Scholar]
- Kirin, I.S.; Moskalev, P.N.; Makashev, Y.A. Production of unusual rare earth phthalocyanines. Russ. J. Inorg. Chem. 1965, 10, 369–372. [Google Scholar]
- Das, G.K.; Zhang, Y.; D’Silva, L.; Padmanabhan, P.; Heng, B.C.; Loo, J.S.C.; Selvan, S.T.; Bhakoo, K.K.; Tan, T.T.Y. Single-Phase Dy2O3:Tb3+ Nanocrystals as Dual-Modal Contrast Agent for High Field Magnetic Resonance and Optical Imaging. Chem. Mater. 2011, 23, 2439–2446. [Google Scholar] [CrossRef]
- Eliseeva, S.V.; Bunzli, J.C.G. Rare earths: Jewels for functional materials of the future. New J. Chem. 2011, 35, 1165–1176. [Google Scholar] [CrossRef]
- Norek, M.; Kampert, E.; Zeitler, U.; Peters, J.A. Tuning of the size of Dy2O3 nanoparticles for optimal performance as an MRI contrast agent. J. Am. Chem. Soc. 2008, 130, 5335–5340. [Google Scholar] [CrossRef]
- Müller, M.; Montbrun, R.; Marz, M.; Fritsch, V.; Sürgers, C.; Löhneysen, H.V. Switching the Conductance of Dy Nanocontacts by Magnetostr. Nano Lett. 2011, 11, 574–578. [Google Scholar] [CrossRef] [PubMed]
- Wernsdorfer, W.; Aliaga-Alcalde, N.; Hendrickson, D.N.; Christou, G. Exchange-biased quantum tunnelling in a supramolecular dimer of single-molecule magnets. Nature 2002, 416, 406–409. [Google Scholar] [CrossRef] [PubMed]
- Hill, S.; Edwards, R.; Aliaga-Alcalde, N.; Christou, G. Quantum coherence in an exchange-coupled dimer of single-molecule magnets. Science 2003, 302, 1015–1018. [Google Scholar] [CrossRef] [PubMed]
- Martínez-Flores, C.; Bolívar-Pineda, L.M.; Basiuk, V.A. Lanthanide bisphthalocyanine single-molecule magnets: A DFT survey of their geometries and electronic properties from lanthanum to lutetium. Mater. Chem. Phys. 2022, 287, 126271. [Google Scholar] [CrossRef]
- Corradini, V.; Candini, A.; Klar, D.; Biagi, R.; De Renzi, V.; Rizzini, A.L.; Cavani, N.; del Pennino, U.; Klyatskaya, S.; Ruben, M.; et al. Probing magnetic coupling between LnPc2 (Ln = Tb, Er) molecules and the graphene/Ni (111) substrate with and without Au-intercalation: Role of the dipolar field. Nanoscale 2018, 10, 277–283. [Google Scholar] [CrossRef] [PubMed]
- Li, Z.G.; Gao, F.; Xiao, Z.G.; Wu, X.Z.; Zuo, J.L.; Song, Y.L. Nonlinear optical properties and excited state dynamics of sandwich-type mixed (phthalocyaninato) (Schiff-base) triple-decker complexes: Effect of rare earth atom. Opt. Laser. Technol. 2018, 103, 42–47. [Google Scholar] [CrossRef]
- Wang, B.; Wei, C.Y. Structures fluorescent properties and single-molecule-magnet behavior of two Ln4 (LnIII = Tb and Dy) clusters. J. Mol. Struct. 2020, 1216, 128241. [Google Scholar] [CrossRef]
- Wang, H.T.; Pu, J.R.; Li, X.; Zhang, Y.; Zhang, Y.; Li, L.; Fang, M. A novel Dy4 cluster constructed by an 8 hydroxyquinoline Schiff base showing remarkable single molecule magnet behavior. Polyhedron 2021, 200, 115117. [Google Scholar] [CrossRef]
- Shi, X.H.; Wang, W.M.; Yan, L.L.; Fan, C.J.; Pang, J.L.; Wu, Z.L. Crystal structure and single-molecule magnet behavior of a novel tetranuclear Dy(III)-based cluster. J. Mol. Struct. 2021, 1226, 129373. [Google Scholar] [CrossRef]
- Wu, J.J.; Li, X.L.; Droitte, L.L.; Cador, O.; Guennic, B.L.; Tang, J.K. Coordination anion effects on the geometry and magnetic interaction of binuclear Dy2 single-molecule magnets. Dalton. Trans. 2021, 50, 15027–15035. [Google Scholar] [CrossRef]
- Canaj, A.B.; Dey, S.; Wilson, C.; Céspedes, O.; Rajaraman, G.; Murrie, M. Engineering macrocyclic high performance pentagonal bipyramidal Dy(iii) single-ion magnets. Chem. Commun. 2020, 56, 12037–12040. [Google Scholar] [CrossRef] [PubMed]
- Zhu, Z.H.; Guo, M.; Li, X.L.; Tang, J.K. Molecular magnetism of lanthanide: Advances and perspectives. Coord. Chem. Rev. 2019, 378, 350–364. [Google Scholar] [CrossRef]
- Yang, C.; Lei, W.T.; Xin, X.Y.; Qiao, N.; Hao, F.F.; Zhang, Q.F.; Zhou, Y.; Fang, M.; Wang, W.M. Construction of two Ln(III)2 (Ln = Dy and Er) compounds by a polydentate Schiff-based ligand: Structure and remarkable single-molecule magnet behavior. J. Mol. Struct. 2022, 1263, 133072. [Google Scholar] [CrossRef]
- Wang, H.T.; Niu, X.Y.; Zhang, G.X.; Jiao, Y.H.; Wu, J.Y.; Zhang, Y.; Hou, Y.L. Two butterfly-shaped LnIII2 compounds constructed by a multidentate Schiff base ligand: Structures, fluorescence properties and SMMs behaviors. Inorg. Chem. Commun. 2022, 142, 109713. [Google Scholar] [CrossRef]
- Qiao, N.; Li, X.X.; Chen, Y.; Xin, X.Y.; Yang, C.; Dong, S.S.; Wang, Y.Z.; Li, X.J.; Hua, Y.P.; Wang, W.M. Three Ln2 compounds (Gd2, Tb2 and Dy2) with a Ln2O2 center showing magnetic refrigeration property and single-molecular magnet behavior. Polyhedron 2022, 215, 115675. [Google Scholar] [CrossRef]
- Borah, A.; Murugavel, R. Magnetic relaxation in single-ion magnets formed by less-studied lanthanide ions Ce(III), Nd(III), Gd(III), Ho(III), Tm(II/III) and Yb(III). Coordin. Chem. Rev. 2022, 453, 214288. [Google Scholar] [CrossRef]
- Sun, H.; Guo, Y.; Cui, Y.F.; Li, D.W.; Yang, G.C.; She, Y.Y.; Zhang, Q.; Li, Y.H.; Zhang, Y.Q.; Yao, J.L. Dy3 and Gd3 Complexes with Dy3 Exhibiting Field-Induced Single-Molecule Magnet Behaviour. J. Mol. Struct. 2023, 1271, 134111. [Google Scholar] [CrossRef]
- Blagg, R.J.; Muryn, C.A.; McInnes, E.J.; Tuna, F.; Winpenny, R.E. Single Pyramid Magnets: Dy5 Pyramids with Slow Magnetic Relaxation to 40 K. Angew. Chem. Int. Ed. 2011, 50, 6530–6533. [Google Scholar] [CrossRef]
- Blagg, R.J.; Ungur, L.; Tuna, F.; Speak, J.; Comar, P.; Collison, D.; Wernsdorfer, W.; McInnes, E.J.L.; Chibotaru, L.F.; Winpenny, R.E.P. Magnetic Relaxation Pathways in Lanthanide Single-Molecule Magnets. Nat. Chem. 2013, 5, 673–678. [Google Scholar] [CrossRef]
- Langley, S.K.; Wielechowski, D.P.; Vieru, V.; Chilton, N.F.; Chibotaru, L.F.; Murray, K.S. The first 4d/4f single-molecule magnet containing a {RuIII2DyIII2} core. Chem. Commun. 2015, 51, 2044–2047. [Google Scholar] [CrossRef]
- Ibrahim, M.; Mereacre, V.; Leblanc, N.; Wernsdorfer, W.; Anson, C.E.; Powell, A.K. Self-Assembly of a Giant Tetrahedral 3d-4f Single-Molecule Magnet within a Polyoxometalate System. Angew. Chem. Int. Ed. 2015, 54, 15574–15578. [Google Scholar] [CrossRef] [PubMed]
- Rinehart, J.D.; Long, J.R. Exploiting single-ion anisotropy in the design of f-element single-molecule magnets. Chem. Sci. 2011, 2, 2078–2085. [Google Scholar] [CrossRef]
- Chilton, N.F.; Collison, D.; McInnes, E.J.L.; Winpenny, R.E.P.; Soncini, A. An electrostatic model for the determination of magnetic anisotropy in dysprosium complexes. Nat. Commun. 2013, 4, 2551–2557. [Google Scholar] [CrossRef] [PubMed]
- Jiang, S.D.; Qin, S.X. Prediction of the quantized axis of rare-earth ions: The electrostatic model with displaced point charges. Inorg. Chem. Front. 2015, 2, 613. [Google Scholar] [CrossRef]
- Jiang, S.D.; Wang, B.W.; Su, G.; Wang, Z.M.; Gao, S. A Mononuclear Dysprosium Complex Featuring Single-Molecule Magnet Behavior. Angew. Chem. 2010, 122, 7610–7613. [Google Scholar] [CrossRef]
- Gao, C.; Yang, Q.; Wang, B.W.; Wang, Z.M.; Gao, S. Evaporable lanthanide single-ion magnet. CrystEngComm 2016, 18, 4165–4171. [Google Scholar] [CrossRef]
- AlDamen, M.A.; Clemente-Juan, J.M.; Coronado, E.; Martı, C.; Gaita-Arinõ, A. Mononuclear Lanthanide Single-Molecule Magnets Based on Polyoxometalates. J. Am. Chem. Soc. 2008, 130, 8874–8875. [Google Scholar] [CrossRef]
- AlDamen, M.A.; Cardona-Serra, S.; Clemente-Juan, J.M.; Coronado, E.; Gaita-Arin, A.; Martı, C.; Luis, F.; Montero, O. Mononuclear Lanthanide Single-Molecule Magnets Based on the Polyoxometalates [Ln(W5O18)2]9− and [Ln(β2-SiW11O39)2]13− (LnIII = Tb, Dy, Ho, Er, Tm, and Yb). Inorg. Chem. 2009, 48, 3467–3469. [Google Scholar] [CrossRef]
- Cardona-Serra, S.; Clemente-Juan, J.M.; Coronado, E.; Gaita-Arino, A.; Camon, A.; Evangelisti, M.; Luis, F.; Martinez-Perez, M.J.; Sese, J. Lanthanoid Single-Ion Magnets Based on Polyoxometalates with a 5-fold Symmetry: The Series [LnP5W30O110]12−(Ln3+ = Tb, Dy, Ho, Er, Tm, and Yb). J. Am. Chem. Soc. 2012, 134, 14982–14990. [Google Scholar] [CrossRef]
- Dey, A.; Kalita, P.; Chandrasekhar, V. Lanthanide(III)-Based Single-Ion Magnets. ACS Omega 2018, 3, 9462–9475. [Google Scholar] [CrossRef]
- Ding, Y.S.; Han, T.; Zhai, Y.Q.; Reta, D.; Chilton, N.F.; Winpenny, R.E.P.; Zheng, Y.Z. A Study of Magnetic Relaxation in Dysprosium(III) Single-Molecule Magnets. Chem. Eur. J. 2020, 26, 5893–5902. [Google Scholar] [CrossRef] [PubMed]
- Ma, Y.; Zhai, Y.Q.; Ding, Y.S.; Han, T.; Zheng, Y.Z. Understanding a Pentagonal-Bipyramidal Holmium(III) Complex with Record Energy Barrier for Magnetisation Reversal. Chem. Commun. 2020, 56, 3979–3982. [Google Scholar] [CrossRef] [PubMed]
- Huang, G.Z.; Ruan, Z.Y.; Zheng, J.Y.; Chen, Y.C.; Wu, S.G.; Liu, J.L.; Tong, M.L. Seeking magneto-structural correlations in easily tailored pentagonal bipyramid Dy(III) single-ion magnets. Sci. China Chem. 2020, 63, 1066–1074. [Google Scholar] [CrossRef]
- Yu, K.X.; Kragskow, J.G.C.; Ding, Y.S.; Zhai, Y.Q.; Reta, D.; Chilton, N.F.; Zheng, Y.Z. Enhancing Magnetic Hysteresis in Single-Molecule Magnets by Ligand Functionalization. Chem 2020, 6, 1777–1793. [Google Scholar] [CrossRef]
- Ding, Y.S.; Chilton, N.F.; Winpenny, R.E.P.; Zheng, Y.Z. On approaching the limit of molecular magnetic anisotropy: A near-perfect pentagonal bipyramidal Dysprosium(III) single-molecule magnet. Angew. Chem. Int. Ed. 2016, 55, 16071–16074. [Google Scholar] [CrossRef]
- Chen, Y.C.; Liu, J.L.; Ungur, L.; Liu, J.; Li, Q.W.; Wang, L.F.; Ni, Z.P.; Chen, X.M.; Tong, M.L. Symmetry-supported magnetic blocking at 20 K in pentagonal bipyramidal Dy(III) single-ion magnets. J. Am. Chem. Soc. 2016, 138, 2829–2837. [Google Scholar] [CrossRef]
- Yuan, Z.D.; Qin, Y.R.; Sha, J.Q.; Wang, Y.Y.; Zhang, H.F. Two single-molecule magnets {Dy4O8} based on mixed ligand strategy. Inorg. Chem. Commun. 2022, 137, 109183. [Google Scholar] [CrossRef]
- Pushkarev, V.E.; Tomilova, L.G.; Nemykin, V.N. Historic overview and new developments in synthetic methods for preparation of the rare earth tetrapyrrolic complexes, Coordin. Chem. Rev. 2016, 319, 110–179. [Google Scholar]
- Dubinina, T.V.; Paramonova, K.V.; Trashin, S.A.; Borisova, N.E.; Tomilova, L.G.; Zefirov, N.S. Novel near-IR absorbing phenyl-substituted phthalo- and naphthalocyanine complexes of lanthanide(III): Synthesis and spectral and electrochemical properties. Dalton. Trans. 2014, 43, 2799–2809. [Google Scholar] [CrossRef]
- Kirin, I.S.; Moskalev, P.N.; Ivannikova, N.V. Preparation and Properties of Neodymium Phthalocyanine. Russ. J. Inorg. Chem. 1967, 12, 497–498. [Google Scholar]
- Kasuga, K.; Ando, M.; Morimoto, H.; Isa, K. Preparation of new phthalocyanine complexes of yttrium (iii) and some lanthanoid (iii) ions. Chem. Lett. 1986, 15, 1095–1098. [Google Scholar] [CrossRef]
- Gonidec, M.; Biagi, R.; Corradini, V.; Moro, F.; Renzi, V.D.; Pennino, U.D.; Summa, D.; Muccioli, L.; Zannoni, C.; Amabilino, D.B.; et al. Surface Supramolecular Organization of a Terbium(III) Double-Decker Complex on Graphite and its Single Molecule Magnet Behavior. J. Am. Chem. Soc. 2011, 133, 6603–6612. [Google Scholar] [CrossRef] [PubMed]
- Sokolova, T.N.; Lomova, T.N.; Morozov, V.V.; Berezin, B.D. Complex Compounds of Lanthanides with Phthalocyanine: Double Sandwich. Koord. Khim. 1994, 20, 637–640. [Google Scholar]
- Sadak, M.M.; Roncali, J.; Garnier, F. Lanthanides-Phthalocyanines complexes: From a diphthalocyanine Pc2Ln to a super complex Pc3Ln2. J. Chim. Phys. 1986, 83, 211–216. [Google Scholar] [CrossRef]
- Ruan, L.X.; Tong, J.W.; Qin, G.W.; Zhou, L.Q.; Jiao, X.C.; Zhang, X.M. Magnetic Modification and the Mechanism of Tb-Phthalocyanine Single-Molecule Magnets Prepared by a High Yield Method. Eur. J. Inorg. Chem. 2020, 21, 2112–2117. [Google Scholar] [CrossRef]
- Zhang, P.; Benner, F.; Chilton, N.F.; Demir, S. Organometallic lanthanide bismuth cluster single-molecule magnets. Chemistry 2022, 8, 717–730. [Google Scholar] [CrossRef]
- Lux, F.; Graw, F.; Graw, D. Diphthalocyaninato-thorium (Ⅳ) and-uranium(Ⅳ). Angew. Chem. Int. Ed. Eng. 1968, 7, 819–823. [Google Scholar] [CrossRef]
- Buchler, J.W.; Kappelmann, H.G.; Knoff, M.; Lay, K.L.; Pfeifer, S. Metallkomplexe mit Tetrapyrrol-Liganden, XXXI[1] Neutral and anionoid Bisporphinates des Cers und Praseodyms. Z. Nat. B 1983, 38, 1339–1345. [Google Scholar]
- Li, Z.H.; Luo, Q.C.; Zheng, Y.Z. Recent Progress of Rare-Earth Single-Molecule Magnets. J. Chin. Soc. Rare Earths 2021, 39, 391–424. [Google Scholar]
- Ungur, L. Introduction to the electronic structure, luminescence, and magnetism of lanthanides. In Lanthanide-Based Multifunctional Materials; Elsevier: Amsterdam, The Netherlands, 2018; pp. 1–58. [Google Scholar]
- Meng, Y.S.; Jiang, S.D.; Wang, B.W.; Gao, S. Understanding the Magnetic Anisotropy toward Single-Ion Magnets. Acc. Chem. Res. 2016, 49, 2381–2389. [Google Scholar] [CrossRef]
- Wernsdorfer, W.; Sessoli, R. Quantum phase interference and parity effects in magnetic molecula culsters. Science 1999, 284, 133–135. [Google Scholar] [CrossRef] [PubMed]
- Cinchetti, M.; Dediu, V.A.; Hueso, L.E. Activating the molecular spinterface. Nat. Mater. 2017, 16, 507–515. [Google Scholar] [CrossRef] [PubMed]
- Sun, M.; Mi, W. Progress in organic molecular/ferromagnet spinterfaces: Towards molecular spintronics. J. Mater. Chem C 2018, 6, 6619–6636. [Google Scholar] [CrossRef]
- Tran, T.L.A.; Çakır, D.; Wong, P.K.J.; Preobrajenski, A.B.; Brocks, G.; van der Wiel, W.G.; de Jong, M.P. Magnetic Properties of bcc-Fe(001)/C60 Interfaces for Organic Spintronic. ACS Appl. Mater. Interfaces 2013, 5, 837–841. [Google Scholar] [CrossRef]
- Sanvito, S. Molecular spintronics: The rise of spinterface science. Nat. Phys. 2010, 6, 562–564. [Google Scholar] [CrossRef]
- Atodiresei, N.; Brede, J.; Lazi, P.; Caciuc, V.; Hoffmann, G.; Wiesendanger, R.; Blügel, S. Design of the Local Spin Polarization at the Organic-Ferromagnetic Interface. Phys. Rev. Lett. 2010, 105, 066601. [Google Scholar] [CrossRef]
- Han, X.; Mi, W.; Wang, X. Spin polarization and magnetic properties at the C60/Fe4N(001) spinterface. J. Mater. Chem. C 2019, 7, 8325–8334. [Google Scholar] [CrossRef]
- Han, X.; Mi, W.; Wang, D. Tunneling magnetoresistance and light modulation in Fe4N(La2/3Sr1/3MnO3)/C60/Fe4N single-molecule magnetic tunnel junctions. J. Mater. Chem. C 2020, 8, 3137–3146. [Google Scholar] [CrossRef]
- Liu, J.L.; Chen, Y.C.; Tong, M.L. Symmetry strategies for high performance lanthanide-based single-molecule magnets. Chem. Soc. Rev. 2018, 47, 2431–2453. [Google Scholar] [CrossRef]
- Bernot, K.; Luzon, J.; Bogani, L.; Etienne, M.; Sangregorio, C.; Shanmugam, M.; Caneschi, A.; Sessoli, R.; Gatteschi, D. Magnetic Anisotropy of Dysprosium(III) in a Low-Symmetry Environment: A Theoretical and Experimental Investigation. J. Am. Chem. Soc. 2009, 131, 5573–5579. [Google Scholar] [CrossRef]
- Zhu, M.M.; Pan, H.D.; Teng, Q.H.; Liang, F.P.; Wang, K. Slow magnetic relaxation behavior of a {Dy2} complex based on a large π-conjugated bridging ligand. Polyhedron 2023, 232, 116271. [Google Scholar] [CrossRef]
- Wang, M.M.; Meng, X.X.; Song, F.; He, Y.F.; Shi, W.; Gao, H.L.; Tang, J.K.; Peng, C. Reversible structural transformation induced switchable single-molecule magnet behavior in lanthanide metal-organic frameworks. Chem. Commun. 2018, 54, 10183–10186. [Google Scholar] [CrossRef] [PubMed]
- Cen, P.P.; Liu, X.Y.; Soria, J.F.; Zhang, Y.Q.; Xie, G.; Chen, S.P.; Pardo, E. Capping Ndonor ligands modulate the magnetic dynamics of DyIII β-diketonate single-ion magnets with D4d symmetry. Chem. Eur. J. 2019, 25, 3884–3892. [Google Scholar] [CrossRef] [PubMed]
- Luzon, J.; Bernot, K.; Hewitt, I.J.; Anson, C.E.; Powell, A.K.; Sessoli, R. Spin Chirality in a Molecular Dysprosium Triangle: The Archetype of the Noncollinear Ising Model. Phys. Rev. Lett. 2008, 100, 247205. [Google Scholar] [CrossRef]
- Lin, P.H.; Burchell, T.J.; Ungur, L.; Chibotaru, L.F.; Wernsdorfer, W.; Murugesu, M. A Polynuclear Lanthanide Single-Molecule Magnet with a Record Anisotropic Barrier. Angew. Chem. 2009, 121, 9653–9656. [Google Scholar] [CrossRef]
- Ruan, L.X.; Tong, J.W.; Luo, F.F.; Wu, Y.Z.; Qin, G.W.; Jiao, X.C.; Zhang, X.M. The magnetic anisotropy of Tb-phthalocyanine films effected by molecular orientation. Appl. Surf. Sci. 2022, 585, 152445. [Google Scholar] [CrossRef]
- Zhang, W.B.; Muhtadi, A.; Iwahara, N.; Ungur, L.; Chibotar, L.F. Magnetic anisotropy in divalent lanthanide compounds. Angew. Chem. Int. Ed. 2020, 59, 12720–12724. [Google Scholar] [CrossRef]
- Guo, Y.N.; Xu, G.F.; Gamez, P.; Zhao, L.; Lin, S.Y.; Deng, R.; Tang, J.; Zhang, H.J. Two-Step Relaxation in a Linear Tetranuclear Dysprosium(III) Aggregate Showing Single-Molecule Magnet Behavior. J. Am. Chem. Soc. 2010, 132, 8538–8539. [Google Scholar] [CrossRef]
- Chen, C.P.; Wang, Y.F.; Qin, P.; Zou, H.H.; Liang, F.P. A DyIII single-ion magnet with D5h configuration. Inorg. Chim. Acta 2023, 547, 121343. [Google Scholar] [CrossRef]
- Hu, J.; Wu, R.Q. Control of the Magnetism and Magnetic Anisotropy of a Single-Molecule Magnet with an Electric Field. Phys. Rev. Lett. 2013, 110, 097202. [Google Scholar] [CrossRef]
- Tsukahara, N.; Noto, K.I.; Ohara, M.; Shiraki, S.; Takagi, N.; Takata, Y.; Miyawaki, J.; Taguchi, M.; Chainani, A.; Shin, S.; et al. Adsorption-Induced Switching of Magnetic Anisotropy in a Single Iron(II) Phthalocyanine Molecule on an Oxidized Cu(110) Surface. Phys. Rev. Lett. 2009, 102, 167203. [Google Scholar] [CrossRef] [PubMed]
- Goodwin, C.A.P.; Ortu, F.; Reta, D.; Chilton, N.F.; Mills, D.P. Molecular magnetic hysteresis at 60 kelvin in dysprosocenium. Nature 2017, 548, 439–442. [Google Scholar] [CrossRef] [PubMed]
- Guo, F.S.; Day, B.M.; Chen, Y.C.; Tong, M.L.; Mansikkamaki, A.; Layfield, R.A. Magnetic hysteresis up to 80 kelvin in a dysprosium metallocene single-molecule magnet. Science 2018, 362, 1400–1403. [Google Scholar] [CrossRef] [PubMed]
- Leuenberger, M.N.; Loss, D. Quantum computing in molecular magnets. Nature 2001, 410, 789–793. [Google Scholar] [CrossRef]
- Kilpatrick, A.F.R.; Guo, F.S.; Day, B.M.; Mansikkamaki, A.; Layfield, R.A.; Cloke, F.G.N. Single-molecule magnet properties of a monometallic dysprosium pentalene complex. Chem. Commun. 2018, 54, 7085–7088. [Google Scholar] [CrossRef]
- Luo, Q.C.; Ge, N.; Zhai, Y.Q.; Wang, T.B.; Sun, L.; Sun, Q.; Li, F.N.; Fu, Z.D.; Zheng, Y.Z. Switching the coordination geometry to enhance erbium(III) single-molecule magnets Chinese. Chem. Lett. 2023, 34, 107547. [Google Scholar]
- Miao, Y.L.; Jiang, F.; Kong, X.; Yuan, D.; Long, L.; Al-Thabaiti, S.A.; Hong, M. Two polymeric 36-metal pure lanthanide nanosize clusters. Chem. Sci. 2013, 4, 3104–3109. [Google Scholar]
- Miao, Y.L.; Li, J.Y.; Leng, J.D.; Ou, Y.C.; Tong, M.L. Two novel Dy8 and Dy11 clusters with cubane [Dy4(μ3-OH)4]8+ units exhibiting slow magnetic relaxation behaviour. Dalton. Trans. 2011, 40, 10229–10236. [Google Scholar] [CrossRef]
- Miao, Y.L.; Liu, J.L.; Leng, J.D.; Lin, Z.J.; Tong, M.L. Chloride templated formation of {Dy12(OH)16}20+ cluster core incorporating 1,10-phenanthroline-2,9-dicarboxylate. CrystEngComm 2011, 13, 3345–3348. [Google Scholar] [CrossRef]
- Coronado, E. Molecular magnetism: From chemical design to spin control in molecules, materials and devices. Nat. Rev. Mater. 2020, 5, 87–104. [Google Scholar] [CrossRef]




























| TbPc2 | DyPc2 | |
|---|---|---|
| Formula | C64H32N16Tb | C64H32N16Dy |
| Formula weight | 1183.99 | 1113.97 |
| Crystal system | Orthorhombic | Orthorhombic |
| Space group | P212121(#19) | P212121(#19) |
| a (nm) | 0.88 | 0.89 |
| b (nm) | 1.06 | 1.06 |
| c (nm) | 5.08 | 5.08 |
| V (nm3) | 4.76 | 4.76 |
| Z | 4.00 | 4.00 |
| F(000) | 2372.00 | 2268.00 |
| Number | Molecular Chemical Formula | Rare Earth Element Category | Main Structure | Properties | Reference |
|---|---|---|---|---|---|
| 1 | MPc2 Dy, Tb | Dy, Tb | ![]() | The shape of eight lobes and large magnetic anisotropy. | Refs. [15,16,17] Refs. [35,36,37,38,39] Refs. [48,49] |
| 2 | M2Pc3 (M = Dy, Tb) | Dy, Tb | ![]() | A rare earth element ion sandwiched between two Pc ligands. Large magnetic anisotropy. | Refs. [34,50] |
| 3 | [Ln4(acac)4(μ2-L)6(μ3-OH)2]·2C2H5OH (Ln = Tb and Dy) | Dy, Tb | ![]() | An anisotropic barrier of 82.1 K | Ref. [51] |
| 4 | [Dy30Co8Ge12W108O408(OH)42(OH2)30]56− | Dy | ![]() | A very beautiful topology. A significant magnetic anisotropy | Ref. [65] |
| 5 | [Dy(acac)3(H2O)2] | Dy | ![]() | The magnetic anisotropy can be enhanced under the crystal field. | Ref. [69] |
| 6 | [LnW10O36]9− | Tb, Dy, Ho, Er | ![]() | - | Ref. [71] |
| 7 | [Ln(β2-SiW11O39)2]13− | Tb, Dy, Ho, Er, Tm, Yb | ![]() | - | Ref. [72] |
| 8 | [LnP5W30O110]12− | Dy, Ho | ![]() | Showing magnetic hysteresis at low temper-ature and obviously big offdiagonal anisotropy parameters | Ref. [73] |
| 9 | [Dy(Cy3PO)2(H2O)5]Cl3·(Cy3PO)·H2O·EtOH | Dy | ![]() | the magnetic TB is 20 K | Ref. [80] |
| Number | Performance | Definition | Typical Model | Reference |
|---|---|---|---|---|
| 1 | magnetic anisotropy | The phenomenon that the magnetism of a substance varies with the direction of the applied magnetic field is called magnetic anisotropy. | ![]() | Refs. [106,111,112] |
| 2 | The effective energy barrier (Ueff) | Ueff is the potential energy required for molecular magnetization (or magnetic moment) reversal). | ![]() | Refs. [52,55,114] |
| 3 | The blocking temperature (TB) | TB is a key performance parameter of an SMM, one description of which refers the maximum temperature at which it is possible to observe hysteresis in the field-dependence of the magnetization, subject to the field sweep rate. | ![]() | Refs. [80,96,118] |
Disclaimer/Publisher’s Note: The statements, opinions and data contained in all publications are solely those of the individual author(s) and contributor(s) and not of MDPI and/or the editor(s). MDPI and/or the editor(s) disclaim responsibility for any injury to people or property resulting from any ideas, methods, instructions or products referred to in the content. |
© 2023 by the authors. Licensee MDPI, Basel, Switzerland. This article is an open access article distributed under the terms and conditions of the Creative Commons Attribution (CC BY) license (https://creativecommons.org/licenses/by/4.0/).
Share and Cite
Yin, X.; Deng, L.; Ruan, L.; Wu, Y.; Luo, F.; Qin, G.; Han, X.; Zhang, X. Recent Progress for Single-Molecule Magnets Based on Rare Earth Elements. Materials 2023, 16, 3568. https://doi.org/10.3390/ma16093568
Yin X, Deng L, Ruan L, Wu Y, Luo F, Qin G, Han X, Zhang X. Recent Progress for Single-Molecule Magnets Based on Rare Earth Elements. Materials. 2023; 16(9):3568. https://doi.org/10.3390/ma16093568
Chicago/Turabian StyleYin, Xiang, Li Deng, Liuxia Ruan, Yanzhao Wu, Feifei Luo, Gaowu Qin, Xiaoli Han, and Xianmin Zhang. 2023. "Recent Progress for Single-Molecule Magnets Based on Rare Earth Elements" Materials 16, no. 9: 3568. https://doi.org/10.3390/ma16093568
APA StyleYin, X., Deng, L., Ruan, L., Wu, Y., Luo, F., Qin, G., Han, X., & Zhang, X. (2023). Recent Progress for Single-Molecule Magnets Based on Rare Earth Elements. Materials, 16(9), 3568. https://doi.org/10.3390/ma16093568












